Product Images Prostin Vr Pediatric

View Photos of Packaging, Labels & Appearance

Product Label Images

The following 4 images provide visual information about the product associated with Prostin Vr Pediatric NDC 0009-0215 by Pharmacia & Upjohn Company Llc, such as packaging, labeling, and the appearance of the drug itself. This resource could be helpful for medical professionals, pharmacists, and patients seeking to verify medication information and ensure they have the correct product.

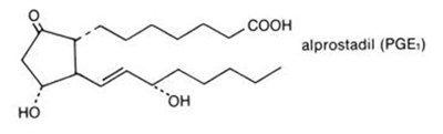
Chemical Structure - prostin 01

Chemical Structure - prostin 01

Logo - prostin 02

Logo - prostin 02

PRINCIPAL DISPLAY PANEL - 1 mL Ampoule Label - prostin 03

PRINCIPAL DISPLAY PANEL - 1 mL Ampoule Label - prostin 03

ProstinlIdPediatric® is an injection medication used only for Intravenous use that contains alprostadil (500 mcg/m). It is distributed by Pharmacia & Upjohn Co and needs to be refrigerated at 2° to 8°C (36° to 46°F). The medication needs to be diluted before use, and the LOT is indicated as NOVARNISH. The medicine is available only via a prescription.*

PRINCIPAL DISPLAY PANEL - 1 mL Ampoule Package - prostin 04

PRINCIPAL DISPLAY PANEL - 1 mL Ampoule Package - prostin 04

This appears to be a description of a medication called Prostin NI Pediatric IS5, which is an alprostadil injection available in 51 mL ampoules with a strength of 500mcg/mL. The GTIN for this product is 0030009021507 and the NDC code is 0009-0215-05. This information pertains to use by medical professionals only. The product is also referred to as Prostin W@ Pediatric, and it appears to be labeled or distributed by an entity called novaplus.*

* The product label images have been analyzed using a combination of traditional computing and machine learning techniques. It should be noted that the descriptions provided may not be entirely accurate as they are experimental in nature. Use the information in this page at your own discretion and risk.