Product Images Cleocin Phosphate

View Photos of Packaging, Labels & Appearance

Product Label Images

The following 8 images provide visual information about the product associated with Cleocin Phosphate NDC 0009-5095 by Pharmacia & Upjohn Company Llc, such as packaging, labeling, and the appearance of the drug itself. This resource could be helpful for medical professionals, pharmacists, and patients seeking to verify medication information and ensure they have the correct product.

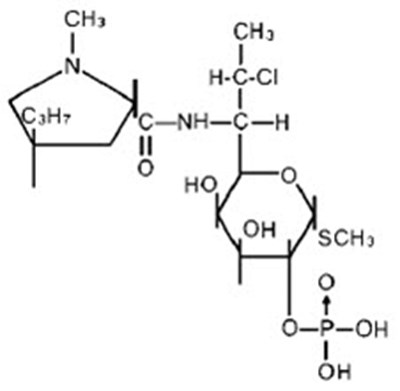
Chemical Structure - cleocin 01

Chemical Structure - cleocin 01

Logo - cleocin 02

Logo - cleocin 02

PRINCIPAL DISPLAY PANEL - 2 mL Vial Label - cleocin 03

PRINCIPAL DISPLAY PANEL - 2 mL Vial Label - cleocin 03

PRINCIPAL DISPLAY PANEL - 2 mL Vial Carton - cleocin 04

PRINCIPAL DISPLAY PANEL - 2 mL Vial Carton - cleocin 04

Cleocin Phosphate® is an injection medication containing clindamycin. It comes in a 2mL vial with a concentration of 150mg per ml or 50mg per ml. It is used for intramuscular or intravenous use and must be kept at room temperature. The medication is manufactured by Pfizer Inc, and the Novaplus trademark is owned by Vizient Inc. Dosage and usage information is available in the accompanying prescribing information.*

PRINCIPAL DISPLAY PANEL - 4 mL Vial Label - cleocin 05

PRINCIPAL DISPLAY PANEL - 4 mL Vial Label - cleocin 05

This is a prescription medication containing clindamycin phosphate for intravenous injection. The dosage and usage instructions are included in the prescribing information. Each 4 mL of the solution contains 600 mg of clindamycin. The medication is available in single-dose containers and should be stored at room temperature. Refrigeration is not recommended.*

PRINCIPAL DISPLAY PANEL - 4 mL Vial Carton - cleocin 06

PRINCIPAL DISPLAY PANEL - 4 mL Vial Carton - cleocin 06

Cleocin Phosphate is an injection of the antibiotic lincomycin. The product is contained in single-dose vials and should be stored at controlled room temperature. Dosage and usage instructions are provided in the accompanying package insert. A warning is included concerning potential allergic reactions, and the equivalent dosage of lincomycin and other ingredients in the product are listed.*

PRINCIPAL DISPLAY PANEL - 6 mL Vial Label - cleocin 07

PRINCIPAL DISPLAY PANEL - 6 mL Vial Label - cleocin 07

This text appears to be a description of a medication called Cleocin Phosphate. It is a single-dose container, with an NDC code of 0009-5095-05, and is only available with a prescription. It should be stored at a controlled room temperature between 68°F to 77°F (20°C to 25°C) and should not be refrigerated. The medication is packaged in a 6 mL vial, with a concentration of 150 mg/mL, making it equivalent to 900 mg of clindamycin phosphate for intravenous use. Full dosage and usage information can be found in the accompanying prescribing information.*

PRINCIPAL DISPLAY PANEL - 6 mL Vial Carton - cleocin 08

PRINCIPAL DISPLAY PANEL - 6 mL Vial Carton - cleocin 08

This appears to be a description of a medication called Cleocin Phosphate, which is an injection of the drug clindamycin. The medication comes in single dose vials and can be used intravenously or intramuscularly. The dosage information is not available in this text. The medication is only available with a prescription. The text also includes details about storing the medication at a controlled room temperature and a warning to use the medication before the expiration date.*

* The product label images have been analyzed using a combination of traditional computing and machine learning techniques. It should be noted that the descriptions provided may not be entirely accurate as they are experimental in nature. Use the information in this page at your own discretion and risk.