Product Images Inlyta

View Photos of Packaging, Labels & Appearance

Product Label Images

The following 9 images provide visual information about the product associated with Inlyta NDC 0069-0145 by Pfizer Laboratories Div Pfizer Inc, such as packaging, labeling, and the appearance of the drug itself. This resource could be helpful for medical professionals, pharmacists, and patients seeking to verify medication information and ensure they have the correct product.

Chemical Structure - inlyta 01

Chemical Structure - inlyta 01

Figure 1 - inlyta 02

Figure 1 - inlyta 02

This is a table describing the effect of various inhibitors and inducers on the pharmacokinetics of a drug called INLYTA. The inhibitors and inducers include Ketoconazole, Rifampin and Rabeprazole among others. The table also describes the effect of hepatic impairment on the Cmax and AUC of INLYTA. The recommendations for dose adjustment based on fold change and 90% confidence interval are also provided.*

Figure 2 - inlyta 03

Figure 2 - inlyta 03

Figure 3 - inlyta 04

Figure 3 - inlyta 04

The text represents a chart that shows the overall survival percentage for two treatment arms, INLYTA + pembrolizumab and Sunitinib. There are 432 patients in the INLYTA + pembrolizumab arm, and the number at risk is not available. The number of patients in the Sunitinib treatment is not available, and there is a decreasing graph with time in months on the X-axis and the overall survival percentage on the Y-axis. There are no other details available from the provided text.*

Figure 4 - inlyta 05

Figure 4 - inlyta 05

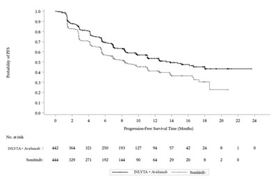
This is a comparison of the median progression-free survival for two drugs, INLYTA and Sorafenib, tested on two separate groups (N = 361 and N = 362). INLYTA had a median progression-free survival of 6.7 months and Sorafenib had a median progression-free survival of 4.7 months. The Hazard Ratio for INLYTA compared to Sorafenib was 0.67 (95% CI [0.54,0.81], P value < 0.0001). The graph shows the proportion of patients who were progression-free over time (months).*

Logo - inlyta 06

Logo - inlyta 06

This is a description of a product or medication that is distributed by Pfizer Labs, which is a division of Pfizer Inc located in New York City with the zip code 10017.*

Logo - inlyta 07

Logo - inlyta 07

This text is a label indicating the distributor of a product. It states that the product is distributed by Pfizer Labs, which is a division of Pfizer Inc located in New York, zip code 10017.*

PRINCIPAL DISPLAY PANEL - 1 mg Tablet Bottle Label - inlyta 08

PRINCIPAL DISPLAY PANEL - 1 mg Tablet Bottle Label - inlyta 08

This text provides instructions for storing and dispensing Inlyta axitinib tablets, which contain 1 mg of the drug. It should be stored in a tightly sealed, child-resistant container at temperatures between 20-25°C (68-77°F), with some permitted temperature fluctuations between 15-30°C (59-86°F). The text also includes information about distribution, lot number, and product code. Prescribing information is not available.*

PRINCIPAL DISPLAY PANEL - 5 mg Tablet Bottle Label - inlyta 09

PRINCIPAL DISPLAY PANEL - 5 mg Tablet Bottle Label - inlyta 09

This is a medication containing axitinib tablets that should be stored in a temperature range of 20°C to 25°C (68°F to 77°F). Excursions of 15°C to 30°C (59°F to 86°F) are permitted. Each tablet contains 5mg of axitinib and should be dispensed in tight (USP), child-resistant containers. The medication can only be obtained with a prescription. Further information can be found in the prescribing information accompanying the medication. The product is distributed by Pfizer Labs Exp. Division of Pfizer Inc.*

* The product label images have been analyzed using a combination of traditional computing and machine learning techniques. It should be noted that the descriptions provided may not be entirely accurate as they are experimental in nature. Use the information in this page at your own discretion and risk.