Product Images Amoxicillin

View Photos of Packaging, Labels & Appearance

Product Label Images

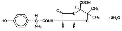
The following 6 images provide visual information about the product associated with Amoxicillin NDC 0093-3107 by Teva Pharmaceuticals Usa, Inc., such as packaging, labeling, and the appearance of the drug itself. This resource could be helpful for medical professionals, pharmacists, and patients seeking to verify medication information and ensure they have the correct product.

image 1

image 1

image 2

image 2

This text is a description of capsules USP containing amoxi trihydrate with a strength of 250 mg. The capsules are recommended to be taken by adults in the dosage of 1 or 2 capsules every 8 hours. The manufacturer is Teva Canada Limited based in Toronto, Canada; however, they are produced for Teva Pharmaceuticals USA, Inc. based in North Wales, PA. The medication should be kept in a tightly sealed container in a controlled environment. The text is accompanied by a lot number and an expiration date.*

image 3

image 3

This is a description for a medication called amoxicillin. Each capsule contains 500 mg of amoxicillin trihydrate as USP, and the recommended dosage for adults is one capsule every 8 hours. It is suggested to refer to the accompanying literature for a complete guide. The proper storage temperature is between 20° to 25°C (68° to 77°F), and it is required to keep it in a tightly closed container that is child-resistant. This medicine should be kept out of reach of children. The manufacturer of this medication is Teva Canada Limited, Toronto, Canada, and it is produced for Teva Pharmaceuticals USA, INC, North Wales, PA 19454.*

image 4

image 4

This is a medication label which includes instructions on how to store and use the medication, as well as cautionary advice to keep it out of the reach of children. The label includes various numbers and codes, but lacks any specific information on what the medication is or what it is used for.*

image 5

image 5

This is a description of Amoxicillin tablets USP which are chewable and come in a strength of 125mg. The tablets are from lot 100 and are labeled with NDC number 0093-2267-01. The other text on the label may contain manufacturing and expiration dates.*

image 6

image 6

This is a medication information for Amoxicillin Tablets USP. Each package contains 100 chewable tablets with 250 mg strength. The recommended dosage for adults is 500mg, taken every 8 hours, while dosage for children is based on age, weight and severity of infection. It is important to read the accompanying literature before use and store it in a controlled room temperature. The medication is manufactured by Teva Canada Limited in Toronto, Canada. Keep out of the reach of children. No further information is available due to incomplete .*

* The product label images have been analyzed using a combination of traditional computing and machine learning techniques. It should be noted that the descriptions provided may not be entirely accurate as they are experimental in nature. Use the information in this page at your own discretion and risk.