Product Images Milrinone Lactate

View Photos of Packaging, Labels & Appearance

Product Label Images

The following 6 images provide visual information about the product associated with Milrinone Lactate NDC 0143-9373 by Hikma Pharmaceuticals Usa Inc., such as packaging, labeling, and the appearance of the drug itself. This resource could be helpful for medical professionals, pharmacists, and patients seeking to verify medication information and ensure they have the correct product.

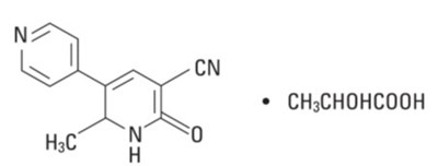
Milrinone structure - milrinone lactate injection usp for novaplus 1

Milrinone structure - milrinone lactate injection usp   for novaplus 1

444 - milrinone lactate injection usp for novaplus 2

444 - milrinone lactate injection usp   for novaplus 2

446 - milrinone lactate injection usp for novaplus 3

446 - milrinone lactate injection usp   for novaplus 3

This is a product description of MILRINONE LACTATE injection, a medication used for intravenous use only. The injection is contained in 10 x 10 mL single-dose vials and does not have a preservative. The usual dosage is indicated in the package insert, and any unused portion should be discarded. The medication should be stored at controlled room temperature (20° to 25°C or 68 to 77°F) and should be avoided freezing.*

445 - milrinone lactate injection usp for novaplus 4

445 - milrinone lactate injection usp   for novaplus 4

This is a description of a medication labeled as MILRINONE LACTATE. It comes in a 20 mL single dose vial and contains 20 mg/20mL (1 mg/mt) of the medication. The injection does not include preservatives. The medication details include that each mL contains milrinone lactate equal to 1 mg of milrinone as well as other substances such as dextrose anhydrous. The packaging includes a usual dosage and USP Control Room Temperature. No further details are provided.*

447 - milrinone lactate injection usp for novaplus 5

447 - milrinone lactate injection usp   for novaplus 5

This is a medication called Milrinone Lactate, which is used for intravenous administration only. It is presented as a single dose vial and is not preserved. The vials are sold in packages containing 10 units of 20mL each with a concentration of 20mg/20mL (1mg/mL). Milrinone lactate is mixed with Dextrose Anhydrous and Water for Injection, and it contains lactose acid or sodium hydroxide to adjust pH. The recommended usage of this medication is specified in the package insert. Store at a controlled room temperature between 20° and 25°C (68° to 77°F). This medication is distributed by Hikma Pharmaceuticals USA.*

layout 1 - milrinone lactate injection usp for novaplus 6

layout 1 - milrinone lactate injection usp   for novaplus 6

This is a product identification code consisting of a Global Trade Identification Number (GTIN) of 0301234567896, a Serial Number (SN) of 1234567890123, an expiration date code of MMMYYYY, and a lot number of ABCDE12345. These codes are commonly found on product packaging and are used for tracking and traceability purposes.*

* The product label images have been analyzed using a combination of traditional computing and machine learning techniques. It should be noted that the descriptions provided may not be entirely accurate as they are experimental in nature. Use the information in this page at your own discretion and risk.