Product Images Doxycycline

View Photos of Packaging, Labels & Appearance

Product Label Images

The following 4 images provide visual information about the product associated with Doxycycline NDC 0143-9381 by Hikma Pharmaceuticals Usa Inc., such as packaging, labeling, and the appearance of the drug itself. This resource could be helpful for medical professionals, pharmacists, and patients seeking to verify medication information and ensure they have the correct product.

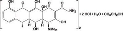
Doxycycline Structural Formula - doxycycline for injection usp 1

Doxycycline Structural Formula - doxycycline for injection usp 1

PLB426-WES.2 - doxycycline for injection usp 2

PLB426-WES.2 - doxycycline for injection usp 2

This is a pharmaceutical product with the National Drug Code NDC0143-938101 and it is only available with a prescription. The product contains Doxycycline in 10 and 40 mg concentrations in each vial of injection. The recommended usage of the injection is for intravenous infusion only, which must be diluted before use and kept protected from light at controlled room temperature until use. The product is manufactured and distributed by a company named By Heihs and the distribution code is given as (01)00301439381013.*

PLB462-WES.1 - doxycycline for injection usp 3

PLB462-WES.1 - doxycycline for injection usp 3

Doxycycline for injection is a prescription medication that comes in a pack of 10 single-dose vials. It is used for intravenous infusion only and must be diluted before use. Each vial contains doxycycline hyclate, ascorbic acid, and mannitol. The solution should be prepared containing 10mg per L using sterile water for injection or any other intravenous solution. The usual dosage is specified in the package insert. The solution must be protected from light and direct sunlight during use, and it must be discarded within the time specified in the insert after reconstitution.*

Representative serialization image - doxycycline for injection usp 4

Representative serialization image - doxycycline for injection usp 4

This is a product identification and tracking label with a GTIN (Global Trade Item Number), serial number (SN), expiration date (EXP), and a lot number (LOT). The specific values for each field are not provided.*

* The product label images have been analyzed using a combination of traditional computing and machine learning techniques. It should be noted that the descriptions provided may not be entirely accurate as they are experimental in nature. Use the information in this page at your own discretion and risk.