FDA Label for Cefuroxime
View Indications, Usage & Precautions
- DESCRIPTION
- CLINICAL PHARMACOLOGY
- MECHANISM OF ACTION:
- MECHANISM OF RESISTANCE:
- SUSCEPTIBILITY TEST METHODS:
- DILUTION TECHNIQUES
- DIFFUSION TECHNIQUES
- QUALITY CONTROL
- INDICATIONS AND USAGE
- PREVENTION:
- CONTRAINDICATIONS
- WARNINGS
- GENERAL:
- INFORMATION FOR PATIENTS:
- DRUG INTERACTIONS:
- DRUG/LABORATORY TEST INTERACTIONS:
- CARCINOGENESIS, MUTAGENESIS, IMPAIRMENT OF FERTILITY:
- TERATOGENIC EFFECTS:
- NURSING MOTHERS:
- PEDIATRIC USE:
- GERIATRIC USE:
- ADVERSE REACTIONS
- LOCAL REACTIONS:
- GASTROINTESTINAL:
- HYPERSENSITIVITY REACTIONS:
- BLOOD:
- HEPATIC:
- KIDNEY:
- POSTMARKETING EXPERIENCE WITH CEFUROXIME FOR INJECTION:
- IMMUNE SYSTEM DISORDERS:
- NEUROLOGIC:
- NON-SITE SPECIFIC:
- CEPHALOSPORIN-CLASS ADVERSE REACTIONS:
- ADVERSE REACTIONS:
- ALTERED LABORATORY TESTS
- OVERDOSAGE
- DOSAGE AND ADMINISTRATION
- ADULTS:
- IMPAIRED RENAL FUNCTION:
- PEDIATRIC PATIENTS ABOVE 3 MONTHS OF AGE:
- PREPARATION OF SOLUTION AND SUSPENSION:
- FOR INTRAVENOUS USE:
- ADMINISTRATION:
- INTRAVENOUS ADMINISTRATION:
- PREPARATION FOR ADMINISTRATION:
- INTRAVENOUS:
- FROZEN STABILITY:
- PHARMACY BULK PACKAGE—NOT FOR DIRECT INFUSION:
- HOW SUPPLIED
- REFERENCES
- PRINCIPAL DISPLAY PANEL
Cefuroxime Product Label
The following document was submitted to the FDA by the labeler of this product Hikma Pharmaceuticals Usa Inc.. The document includes published materials associated whith this product with the essential scientific information about this product as well as other prescribing information. Product labels may durg indications and usage, generic names, contraindications, active ingredients, strength dosage, routes of administration, appearance, warnings, inactive ingredients, etc.
Description
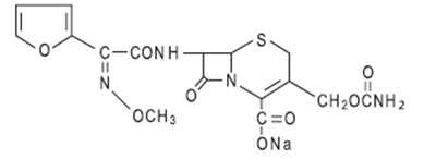
Cefuroxime is a sterile semisynthetic, broad-spectrum, cephalosporin antibiotic for parenteral administration. It is the sodium salt of (6R,7R)-3-carbamoyloxymethyl-7-[Z-2-methoxyimino-2-(fur-2-yl)acetamido]ceph-3-em-4-carboxylate, and it has the following structural formula:
The molecular formula is C16H15N4NaO8S, representing a molecular weight of 446.4.
Cefuroxime for Injection, USP contains approximately 54.2 mg (2.4 mEq) of sodium per gram of cefuroxime activity.
Cefuroxime for Injection, USP in sterile crystalline form is supplied as Pharmacy Bulk Package equivalent to 7.5 g of cefuroxime as cefuroxime sodium. Solutions of Cefuroxime for Injection, USP range in color from light yellow to amber, depending on the concentration and diluent used. The pH of freshly constituted solutions usually ranges from 6 to 8.5.
A Pharmacy Bulk Package is a container of a sterile preparation for parenteral use that contains many single doses. The contents are intended for use in a pharmacy admixture service and are restricted to the preparation of admixtures for intravenous infusion. FURTHER DILUTION IS REQUIRED BEFORE USE.
Clinical Pharmacology
After intramuscular (IM) injection of a 750-mg dose of cefuroxime to normal volunteers, the mean peak serum concentration was 27 mcg/mL. The peak occurred at approximately 45 minutes (range, 15 to 60 minutes). Following IV doses of 750 mg and 1.5 g, serum concentrations were approximately 50 and 100 mcg/mL, respectively, at 15 minutes. Therapeutic serum concentrations of approximately 2 mcg/mL or more were maintained for 5.3 hours and 8 hours or more, respectively. There was no evidence of accumulation of cefuroxime in the serum following IV administration of 1.5-g doses every 8 hours to normal volunteers. The serum half-life after either IM or IV injections is approximately 80 minutes.
Approximately 89% of a dose of cefuroxime is excreted by the kidneys over an 8-hour period, resulting in high urinary concentrations.
Following the IM administration of a 750-mg single dose, urinary concentrations averaged 1,300 mcg/mL during the first 8 hours. Intravenous doses of 750 mg and 1.5 g produced urinary levels averaging 1,150 and 2,500 mcg/mL, respectively, during the first 8-hour period.
The concomitant oral administration of probenecid with cefuroxime slows tubular secretion, decreases renal clearance by approximately 40%, increases the peak serum level by approximately 30%, and increases the serum half-life by approximately 30%. Cefuroxime is detectable in therapeutic concentrations in pleural fluid, joint fluid, bile, sputum, bone, and aqueous humor.
Cefuroxime is detectable in therapeutic concentrations in cerebrospinal fluid (CSF) of adults and pediatric patients with meningitis. The following table shows the concentrations of cefuroxime achieved in cerebrospinal fluid during multiple dosing of patients with meningitis.
Patients | Dose | Number of Patients | Mean (Range) CSF Cefuroxime Concentrations (mcg/mL) Achieved Within 8 Hours Post Dose |
| Pediatric patients (4 weeks to 6.5 years) | 200 mg/kg/day, divided q 6 hours | 5 | 6.6 (0.9-17.3) |
| Pediatric patients(7 months to 9 years) | 200 to 230 mg/kg/day, divided q 8 hours | 6 | 8.3 (<2-22.5) |
| Adults | 1.5 grams q 8 hours | 2 | 5.2 (2.7-8.9) |
| Adults | 1.5 grams q 6 hours | 10 | 6 (1.5-13.5) |
Cefuroxime is approximately 50% bound to serum protein.
Mechanism Of Action:
Cefuroxime is a bactericidal agent that acts by inhibition of bacterial cell wall synthesis. Cefuroxime has activity in the presence of some beta-lactamases, both penicillinases and cephalosporinases, of Gram-negative and Gram-positive bacteria.
Mechanism Of Resistance:
Resistance to cefuroxime is primarily through hydrolysis by beta-lactamase, alteration of penicillin-binding proteins (PBPs), and decreased permeability.
Interaction with Other Antimicrobials
In an in vitro study antagonistic effects have been observed with the combination of chloramphenicol and cefuroxime.
Cefuroxime has been shown to be active against most isolates of the following bacteria, both in vitro and in clinical infections as described in the INDICATIONS AND USAGE section:
Gram-negative bacteria
- Enterobacter spp.
- Escherichia coli
- Klebsiella spp.
- Haemophilus influenzae
- Neisseria meningitidis
- Neisseria gonorrhoeae
- Staphylococcus aureus
- Streptococcus pneumoniae
- Streptococcus pyogenes
- Citrobacter spp.
- Providencia rettgeri
- Haemophilus parainfluenzae
- Proteus mirabilis
- Moraxella catarrhalis
- Morganella morganii
- Salmonella spp.
- Shigella spp.
- Staphylococcus epidermidis
Gram-positive bacteria
The following in vitro data are available, but their clinical significance is unknown. At least 90 percent of the following microorganisms exhibit an in vitro minimum inhibitory concentration (MIC) less than or equal to the susceptible breakpoint for cefuroxime. However, the efficacy of cefuroxime in treating clinical infections due to these microorganisms has not been established in adequate and well-controlled clinical trials.
Gram-negative bacteria
Gram-positive bacteria
Susceptibility Test Methods:
When available, the clinical microbiology laboratory should provide the results of in vitro susceptibility test results for antimicrobial drug products used in resident hospitals to the physician as periodic reports that describe the susceptibility profile of nosocomial and community-acquired pathogens. These reports should aid the physician in selecting an antibacterial drug product for treatment.
Dilution Techniques
Quantitative methods are used to determine antimicrobial minimal inhibitory concentrations (MICs). These MICs provide estimates of the susceptibility of bacteria to antimicrobial compounds. The MICs should be determined using a standardized test method (broth or agar)1,2. The MIC values should be interpreted according to criteria provided in Table 2.
Diffusion Techniques
Quantitative methods that require measurement of zone diameters also provide reproducible estimates of the susceptibility of bacteria to antimicrobial compounds. The zone size provides an estimate of the susceptibility of bacteria to antimicrobial compounds. The zone size should be determined using a standardized test method2,3. This procedure uses paper disks impregnated with 30 mcg cefuroxime to test the susceptibility of microorganisms to cefuroxime. The disk diffusion interpretive criteria are provided in Table 2.
| Pathogen | Minimum Inhibitory Concentrations (mcg/mL) | Disk Diffusion Zone Diameters (mm) | ||||
| (S) Susceptible | (I) Intermediate | (R) Resistant | (S) Susceptible | (I) Intermediate | (R) Resistant | |
| Haemophilus influenzae | ≤4 | 8 | ≥16 | ≥20 | 17-19 | ≤16 |
| Enterobacteriaceae For Enterobacteriaceae, susceptibility interpretive criteria are based on a dose of 1.5 g every 8 hours in patients with normal renal function. | ≤8 | - | ≥16 | ≥18 | - | ≤17 |
| Neisseria gonorrhoeae | ≤1 | 2 | ≥4 | ≥31 | 26-30 | ≤25 |
| Streptococcus pneumoniae | ≤0.5 | 1 | ≥2 | - | - | - |
Susceptibility of staphylococci to cefuroxime may be deduced from testing only penicillin and either cefoxitin or oxacillin.
A report of “Susceptible” indicates that the antimicrobial drug is likely to inhibit growth of the microorganism if the antimicrobial drug reaches the concentration usually achievable at the site of infection. A report of “Intermediate” indicates that the result should be considered equivocal, and if the microorganism is not fully susceptible to alternative, clinically feasible drugs, the test should be repeated. This category implies possible clinical applicability in body sites where the drug is physiologically concentrated or in situations where a high dosage of drug can be used.
This category also provides a buffer zone that prevents small uncontrolled technical factors from causing major discrepancies in interpretation. A report of “Resistant” indicates that the antimicrobial is not likely to inhibit growth of the microorganism if the antimicrobial drug reaches the concentration usually achievable at the site of infection; other therapy should be selected.
Quality Control
Standardized susceptibility test procedures require the use of laboratory controls to monitor and ensure the accuracy and precision of supplies and reagents used in the assay, and the techniques of the individual performing the test1,2,3. Standard cefuroxime powder should provide the following range of MIC values noted in Table 3. For the diffusion technique using the 30 mcg disk, the criteria in Table 3 should be achieved.
| QC Strain | Minimum Inhibitory Concentrations (mcg/mL) | Disk Diffusion Zone diameters (mm) |
| Escherichia coli ATCC 25922 | 2-8 | 20-26 |
| Staphylococcus aureus ATCC 25923 | ------ | 27-35 |
| Staphylococcus aureus ATCC 29213 | 0.5-2 | --------- |
| Streptococcus pneumoniae ATCC 49619 | 0.25-1 | |
| Haemophilus influenzae ATCC 49766 | 0.25-1 | 28-36 |
| Neisseria gonorrhoeae ATCC 49226 | 0.25-1 | 33-41 |
Indications And Usage
Cefuroxime for Injection, USP is indicated for the treatment of patients with infections caused by susceptible strains of the designated organisms in the following diseases:
- Lower Respiratory Tract Infections, including pneumonia, caused by Streptococcus pneumoniae, Haemophilus influenzae (including ampicillin-resistant strains), Klebsiella spp., Staphylococcus aureus (penicillinase- and non-penicillinase-producing strains), Streptococcus pyogenes, and Escherichia coli.
- Urinary Tract Infections caused by Escherichia coli and Klebsiella spp.
- Skin and Skin-Structure Infections caused by Staphylococcus aureus (penicillinase- and non-penicillinase-producing strains), Streptococcus pyogenes, Escherichia coli, Klebsiella spp., and Enterobacter spp.
- Septicemia caused by Staphylococcus aureus (penicillinase- and non-penicillinase producing strains), Streptococcus pneumoniae, Escherichia coli, Haemophilus influenzae (including ampicillin-resistant strains), and Klebsiella spp.
- Meningitis caused by Streptococcus pneumoniae, Haemophilus influenzae (including ampicillin-resistant strains), Neisseria meningitidis, and Staphylococcus aureus (penicillinase- and non-penicillinase-producing strains).
- Gonorrhea: uncomplicated and disseminated gonococcal infections due to Neisseria gonorrhoeae (penicillinase- and non-penicillinase-producing strains) in both males and females.
- Bone and Joint Infections caused by Staphylococcus aureus (penicillinase- and non-penicillinase-producing strains).
Clinical microbiological studies in skin and skin-structure infections frequently reveal the growth of susceptible strains of both aerobic and anaerobic organisms. Cefuroxime for Injection, USP has been used successfully in these mixed infections in which several organisms have been isolated.
In certain cases of confirmed or suspected gram-positive or gram-negative sepsis or in patients with other serious infections in which the causative organism has not been identified, Cefuroxime for Injection, USP may be used concomitantly with an aminoglycoside (see PRECAUTIONS). The recommended doses of both antibiotics may be given depending on the severity of the infection and the patient’s condition.
To reduce the development of drug-resistant bacteria and maintain the effectiveness of Cefuroxime for Injection, USP and other antibacterial drugs, Cefuroxime for Injection, USP should be used only to treat or prevent infections that are proven or strongly suspected to be caused by susceptible bacteria. When culture and susceptibility information are available, they should be considered in selecting or modifying antibacterial therapy. In the absence of such data, local epidemiology and susceptibility patterns may contribute to the empiric selection of therapy.
Prevention:
The preoperative prophylactic administration of Cefuroxime for Injection, USP may prevent the growth of susceptible disease-causing bacteria and thereby may reduce the incidence of certain postoperative infections in patients undergoing surgical procedures (e.g., vaginal hysterectomy) that are classified as clean-contaminated or potentially contaminated procedures. Effective prophylactic use of antibiotics in surgery depends on the time of administration. Cefuroxime for Injection, USP should usually be given one-half to 1 hour before the operation to allow sufficient time to achieve effective antibiotic concentrations in the wound tissues during the procedure. The dose should be repeated intraoperatively if the surgical procedure is lengthy.
Prophylactic administration is usually not required after the surgical procedure ends and should be stopped within 24 hours. In the majority of surgical procedures, continuing prophylactic administration of any antibiotic does not reduce the incidence of subsequent infections but will increase the possibility of adverse reactions and the development of bacterial resistance.
The perioperative use of Cefuroxime for Injection, USP has also been effective during open heart surgery for surgical patients in whom infections at the operative site would present a serious risk. For these patients it is recommended that therapy with Cefuroxime for Injection, USP be continued for at least 48 hours after the surgical procedure ends. If an infection is present, specimens for culture should be obtained for the identification of the causative organism, and appropriate antimicrobial therapy should be instituted.
Contraindications
Cefuroxime for Injection is contraindicated in patients with known allergy to the cephalosporin group of antibiotics.
Warnings
BEFORE THERAPY WITH CEFUROXIME FOR INJECTION IS INSTITUTED, CAREFUL INQUIRY SHOULD BE MADE TO DETERMINE WHETHER THE PATIENT HAS HAD PREVIOUS HYPERSENSITIVITY REACTIONS TO CEPHALOSPORINS, PENICILLINS, OR OTHER DRUGS. THIS PRODUCT SHOULD BE GIVEN CAUTIOUSLY TO PENICILLIN-SENSITIVE PATIENTS. ANTIBIOTICS SHOULD BE ADMINISTERED WITH CAUTION TO ANY PATIENT WHO HAS DEMONSTRATED SOME FORM OF ALLERGY, PARTICULARLY TO DRUGS. IF AN ALLERGIC REACTION TO CEFUROXIME FOR INJECTION OCCURS, DISCONTINUE THE DRUG. SERIOUS ACUTE HYPERSENSITIVITY REACTIONS MAY REQUIRE EPINEPHRINE AND OTHER EMERGENCY MEASURES.
Clostridium difficile associated diarrhea (CDAD) has been reported with use of nearly all antibacterial agents, including Cefuroxime for Injection, and may range in severity from mild diarrhea to fatal colitis. Treatment with antibacterial agents alters the normal flora of the colon leading to overgrowth of C. difficile.
C. difficile produces toxins A and B which contribute to the development of CDAD. Hypertoxin producing strains of C. difficile cause increased morbidity and mortality, as these infections can be refractory to antimicrobial therapy and may require colectomy. CDAD must be considered in all patients who present with diarrhea following antibiotic use. Careful medical history is necessary since CDAD has been reported to occur over two months after the administration of antibacterial agents.
If CDAD is suspected or confirmed, ongoing antibiotic use not directed against C. difficile may need to be discontinued. Appropriate fluid and electrolyte management, protein supplementation, antibiotic treatment of C. difficile, and surgical evaluation should be instituted as clinically indicated.
When the colitis is not relieved by drug discontinuation or when it is severe, oral vancomycin is the treatment of choice for antibiotic-associated pseudomembranous colitis produced by Clostridium difficile. Other causes of colitis should also be considered.
General:
Although Cefuroxime for Injection rarely produces alterations in kidney function, evaluation of renal status during therapy is recommended, especially in seriously ill patients receiving the maximum doses.
Cephalosporins should be given with caution to patients receiving concurrent treatment with potent diuretics as these regimens are suspected of adversely affecting renal function.
The total daily dose of Cefuroxime for Injection should be reduced in patients with transient or persistent renal insufficiency (see DOSAGE AND ADMINISTRATION), because high and prolonged serum antibiotic concentrations can occur in such individuals from usual doses.
As with other antibiotics, prolonged use of Cefuroxime for Injection may result in overgrowth of non-susceptible organisms. Careful observation of the patient is essential. If superinfection occurs during therapy, appropriate measures should be taken.
Broad-spectrum antibiotics should be prescribed with caution in individuals with a history of gastrointestinal disease, particularly colitis.
Nephrotoxicity has been reported following concomitant administration of aminoglycoside antibiotics and cephalosporins.
As with other therapeutic regimens used in the treatment of meningitis, mild-to-moderate hearing loss has been reported in a few pediatric patients treated with cefuroxime. Persistence of positive CSF (cerebrospinal fluid) cultures at 18 to 36 hours has also been noted with cefuroxime injection, as well as with other antibiotic therapies; however, the clinical relevance of this is unknown.
Cephalosporins may be associated with a fall in prothrombin activity. Those at risk include patients with renal or hepatic impairment, or poor nutritional state, as well as patients receiving a protracted course of antimicrobial therapy, and patients previously stabilized on anticoagulant therapy. Prothrombin time should be monitored in patients at risk and exogenous Vitamin K administered as indicated.
Prescribing Cefuroxime for Injection in the absence of a proven or strongly suspected bacterial infection or a prophylactic indication is unlikely to provide benefit to the patient and increases the risk of the development of drug-resistant bacteria.
Information For Patients:
Patients should be counseled that antibacterial drugs, including Cefuroxime for Injection, should only be used to treat bacterial infections. They do not treat viral infections (e.g., the common cold). When Cefuroxime for Injection is prescribed to treat a bacterial infection, patients should be told that although it is common to feel better early in the course of therapy, the medication should be taken exactly as directed. Skipping doses or not completing the full course of therapy may:
1. decrease the effectiveness of the immediate treatment and, 2. increase the likelihood that bacteria will develop resistance and will not be treatable by Cefuroxime for Injection or other antibacterial drugs in the future.
Diarrhea is a common problem caused by antibiotics which usually ends when the antibiotic is discontinued. Sometimes after starting treatment with antibiotics, patients can develop watery and bloody stools (with or without stomach cramps and fever) even as late as 2 or more months after having taken the last dose of the antibiotic. If this occurs, patients should contact their physician as soon as possible.
Drug Interactions:
In common with other antibiotics, cefuroxime may affect the gut flora, leading to lower estrogen reabsorption and reduced efficacy of combined estrogen/progesterone oral contraceptives.
Drug/Laboratory Test Interactions:
A false-positive reaction for glucose in the urine may occur with copper reduction tests (Benedict's or Fehling’s solution or with CLINITEST® tablets) but not with enzyme-based tests for glycosuria. As a false-negative result may occur in the ferricyanide test, it is recommended that either the glucose oxidase or hexokinase method be used to determine blood plasma glucose levels in patients receiving Cefuroxime for Injection.
Cefuroxime does not interfere with the assay of serum and urine creatinine by the alkaline picrate method.
Carcinogenesis, Mutagenesis, Impairment Of Fertility:
Although lifetime studies in animals have not been performed to evaluate carcinogenic potential, no mutagenic activity was found for cefuroxime in the mouse lymphoma assay and a battery of bacterial mutation tests. Positive results were obtained in an in vitro chromosome aberration assay, however, negative results were found in an in vivo micronucleus test at doses up to 10 g/kg. Reproduction studies in mice at doses up to 3,200 mg/kg/day (3.1 times the recommended maximum human dose based on mg/m2) have revealed no impairment of fertility.
Reproductive studies revealed no impairment of fertility in animals.
Teratogenic Effects:
Pregnancy Category B.
Reproduction studies have been performed in mice at doses up to 6,400 mg/kg/day (6.3 times the recommended maximum human dose based on mg/m2) and rabbits at doses up to 400 mg/kg/day (2.1 times the recommended maximum human dose based on mg/m2) and have revealed no evidence of impaired fertility or harm to the fetus due to cefuroxime. There are, however, no adequate and well-controlled studies in pregnant women. Because animal reproduction studies are not always predictive of human response, this drug should be used during pregnancy only if clearly needed.
Nursing Mothers:
Since cefuroxime is excreted in human milk, caution should be exercised when Cefuroxime for Injection is administered to a nursing woman.
Pediatric Use:
Safety and effectiveness in pediatric patients below 3 months of age have not been established. Accumulation of other members of the cephalosporin class in newborn infants (with resulting prolongation of drug half-life) has been reported.
Geriatric Use:
Of the 1,914 subjects who received cefuroxime in 24 clinical studies of Cefuroxime for Injection, 901 (47%) were 65 years and older while 421 (22%) were 75 years and older. No overall differences in safety or effectiveness were observed between these subjects and younger subjects, and other reported clinical experience has not identified differences in responses between the elderly and younger patients, but greater susceptibility of some older individuals to drug effects cannot be ruled out. This drug is known to be substantially excreted by the kidney, and the risk of toxic reactions to this drug may be greater in patients with impaired renal function. Because elderly patients are more likely to have decreased renal function, care should be taken in dose selection, and it may be useful to monitor renal function (see DOSAGE AND ADMINISTRATION).
Adverse Reactions
Cefuroxime for Injection is generally well tolerated. The most common adverse effects have been local reactions following IV administration. Other adverse reactions have been encountered only rarely.
Local Reactions:
Thrombophlebitis has occurred with IV administration in 1 in 60 patients.
Gastrointestinal:
Gastrointestinal symptoms occurred in 1 in 150 patients and included diarrhea (1 in 220 patients) and nausea (1 in 440 patients). The onset of pseudomembranous colitis may occur during or after antibacterial treatment (see WARNINGS).
Hypersensitivity Reactions:
Hypersensitivity reactions have been reported in fewer than 1% of the patients treated with Cefuroxime for Injection and include rash (1 in 125). Pruritus, urticaria, and positive Coombs' test each occurred in fewer than 1 in 250 patients, and, as with other cephalosporins, rare cases of anaphylaxis, drug fever, erythema multiforme, interstitial nephritis, toxic epidermal necrolysis, and Stevens-Johnson syndrome have occurred.
Blood:
A decrease in hemoglobin and hematocrit has been observed in 1 in 10 patients and transient eosinophilia in 1 in 14 patients. Less common reactions seen were transient neutropenia (fewer than 1 in 100 patients) and leukopenia (1 in 750 patients). A similar pattern and incidence were seen with other cephalosporins used in controlled studies. As with other cephalosporins, there have been rare reports of thrombocytopenia.
Hepatic:
Transient rise in SGOT and SGPT (1 in 25 patients), alkaline phosphatase (1 in 50 patients), LDH (1 in 75 patients), and bilirubin (1 in 500 patients) levels has been noted.
Kidney:
Elevations in serum creatinine and/or blood urea nitrogen and a decreased creatinine clearance have been observed, but their relationship to cefuroxime is unknown.
Postmarketing Experience With Cefuroxime For Injection:
In addition to the adverse events reported during clinical trials, the following events have been observed during clinical practice in patients treated with Cefuroxime for Injection and were reported spontaneously. Data are generally insufficient to allow an estimate of incidence or to establish causation.
Immune System Disorders:
Cutaneous vasculitis.
Neurologic:
Seizure.
Non-Site Specific:
Angioedema.
Cephalosporin-Class Adverse Reactions:
In addition to the adverse reactions listed above that have been observed in patients treated with cefuroxime, the following adverse reactions and altered laboratory tests have been reported for cephalosporin-class antibiotics:
Adverse Reactions:
Vomiting, abdominal pain, colitis, vaginitis including vaginal candidiasis, toxic nephropathy, hepatic dysfunction including cholestasis, aplastic anemia, hemolytic anemia, hemorrhage.
Several cephalosporins, including Cefuroxime for Injection, have been implicated in triggering seizures, particularly in patients with renal impairment when the dosage was not reduced (see DOSAGE AND ADMINISTRATION). If seizures associated with drug therapy should occur, the drug should be discontinued. Anticonvulsant therapy can be given if clinically indicated.
Altered Laboratory Tests
Prolonged prothrombin time, pancytopenia, agranulocytosis.
To report SUSPECTED ADVERSE REACTIONS, contact West-Ward Pharmaceutical Corp. at 1-877-233-2001 or FDA at 1-800-FDA-1088 or www.fda.gov/medwatch.
Overdosage
Overdosage of cephalosporins can cause cerebral irritation leading to convulsions. Serum levels of cefuroxime can be reduced by hemodialysis and peritoneal dialysis.
Dosage And Administration
The intent of this Pharmacy Bulk Package is for the preparation of solutions for intravenous infusion only. Dosing reference to the intramuscular route of administration is for informational purposes only.
Adults:
The usual adult dosage range for Cefuroxime for Injection is 750 mg to 1.5 grams every 8 hours, usually for 5 to 10 days. In uncomplicated urinary tract infections, skin and skin-structure infections, disseminated gonococcal infections, and uncomplicated pneumonia, a 750-mg dose every 8 hours is recommended. In severe or complicated infections, a 1.5-gram dose every 8 hours is recommended.
In bone and joint infections, a 1.5-gram dose every 8 hours is recommended. In clinical trials, surgical intervention was performed when indicated as an adjunct to therapy with Cefuroxime for Injection. A course of oral antibiotics was administered when appropriate following the completion of parenteral administration of Cefuroxime for Injection.
In life-threatening infections or infections due to less susceptible organisms, 1.5 grams every 6 hours may be required. In bacterial meningitis, the dosage should not exceed 3 grams every 8 hours. The recommended dosage for uncomplicated gonococcal infection is 1.5 grams given intramuscularly as a single dose at 2 different sites together with 1 gram of oral probenecid. For preventive use for clean-contaminated or potentially contaminated surgical procedures, a 1.5-gram dose administered intravenously just before surgery (approximately one-half to 1 hour before the initial incision) is recommended. Thereafter, give 750 mg intravenously or intramuscularly every 8 hours when the procedure is prolonged.
For preventive use during open heart surgery, a 1.5-gram dose administered intravenously at the induction of anesthesia and every 12 hours thereafter for a total of 6 grams is recommended.
Impaired Renal Function:
A reduced dosage must be employed when renal function is impaired. Dosage should be determined by the degree of renal impairment and the susceptibility of the causative organism (see Table 4).
| Creatinine Clearance mL/min) | Dose | Frequency |
>20 | 750 mg-1.5 grams | q8h |
10-20 | 750 mg | q12h |
| <10 | 750 mg | q24h Since Cefuroxime for Injection is dialyzable, patients on hemodialysis should be given a further dose at the end of the dialysis. |
When only serum creatinine is available, the following formula4 (based on sex, weight, and age of the patient) may be used to convert this value into creatinine clearance. The serum creatinine should represent a steady state of renal function.
| Males: Creatinine clearance (mL/min) = | Weight (kg) x (140 - age) 72 x serum creatinine (mg/dL) |
Females: 0.85 x male value
NOTE: As with antibiotic therapy in general, administration of Cefuroxime for Injection should be continued for a minimum of 48 to 72 hours after the patient becomes asymptomatic or after evidence of bacterial eradication has been obtained; a minimum of 10 days of treatment is recommended in infections caused by Streptococcus pyogenes in order to guard against the risk of rheumatic fever or glomerulonephritis; frequent bacteriologic and clinical appraisal is necessary during therapy of chronic urinary tract infection and may be required for several months after therapy has been completed; persistent infections may require treatment for several weeks; and doses smaller than those indicated above should not be used. In staphylococcal and other infections involving a collection of pus, surgical drainage should be carried out where indicated.
Pediatric Patients Above 3 Months Of Age:
Administration of 50 to 100 mg/kg/day in equally divided doses every 6 to 8 hours has been successful for most infections susceptible to cefuroxime. The higher dosage of 100 mg/kg/day (not to exceed the maximum adult dosage) should be used for the more severe or serious infections.
In bone and joint infections, 150 mg/kg/day (not to exceed the maximum adult dosage) is recommended in equally divided doses every 8 hours. In clinical trials, a course of oral antibiotics was administered to pediatric patients following the completion of parenteral administration of Cefuroxime for Injection.
In cases of bacterial meningitis, a larger dosage of Cefuroxime for Injection is recommended, 200 to 240 mg/kg/day intravenously in divided doses every 6 to 8 hours.
In pediatric patients with renal insufficiency, the frequency of dosing should be modified consistent with the recommendations for adults.
Preparation Of Solution And Suspension:
The directions for preparing Cefuroxime for Injection, Pharmacy Bulk Package, are summarized in Table 5.
| THIS PHARMACY BULK PACKAGE IS NOT TO BE DISPENSED AS A UNIT FOR DIRECT INFUSION |
For Intravenous Use:
The 7.5 gram pharmacy bulk package should be reconstituted with 77 mL of Sterile Water for Injection; the constituted solution occupies a volume of about 82.5 mL and contains approximately 750 mg of cefuroxime per 8 mL. Not for direct infusion. Disperse aliquots from the vial via a suitable dispersing device into infusion fluids under a laminar flow hood using aseptic technique. DISCARD VIALS 4 HOURS AFTER INITIAL ENTRY. Color changes in solution do not affect potency.
| Strength | Amount of Diluent to Be Added (mL) | Volume to be Withdrawn | Approximate Cefuroxime Concentration (mg/mL) | |
| 7.5-gram Pharmacy Bulk Package | 77 (IV) | Amount Needed 8 mL of solution contains 750 mg of cefuroxime; 16 mL of solution contains 1.5 grams of cefuroxime. | 95 | |
Administration:
After constitution, Cefuroxime for Injection may be given intravenously or intramuscularly. However, the intent of this Pharmacy Bulk Package is for the preparation of solutions for intravenous infusion only.
Intravenous Administration:
The IV route may be preferable for patients with bacterial septicemia or other severe or life-threatening infections or for patients who may be poor risks because of lowered resistance, particularly if shock is present or impending.
For intermittent IV Infusion with a Y-type administration set, dosing can be accomplished through the tubing system by which the patient may be receiving other IV solutions. However, during infusion of the solution containing Cefuroxime for Injection, it is advisable to temporarily discontinue administration of any other solutions at the same site.
For continuous IV infusion, a solution of Cefuroxime for Injection may be added to an IV infusion pack containing one of the following fluids: 0.9% Sodium Chloride Injection; 5% Dextrose Injection; 10% Dextrose Injection; 5% Dextrose and 0.9% Sodium Chloride Injection; 5% Dextrose and 0.45% Sodium Chloride Injection; or 1/6 M Sodium Lactate Injection.
Solutions of Cefuroxime for Injection, like those of most beta-lactam antibiotics, should not be added to solutions of aminoglycoside antibiotics because of potential interaction.
However, if concurrent therapy with Cefuroxime for Injection and an aminoglycoside is indicated, each of these antibiotics can be administered separately to the same patient.
Caution: Do not use plastic containers in series connections. Such use could result in air embolism due to residual air being drawn from the primary container before administration of the fluid from the secondary container is complete.
Preparation For Administration:
- Suspend container from eyelet support.
- Remove protector from outlet port at bottom of container.
- Attach administration set. Refer to complete directions accompanying set.
Intravenous:
The 7.5 g Pharmacy Bulk Package vials are to be constituted as directed with Sterile Water for Injection, the withdrawal of container contents should be completed within 4 hours. More dilute solutions, such as 750 mg or 1.5 g plus 100 mL of Sterile Water for Injection, 5% Dextrose Injection, or 0.9% Sodium Chloride Injection, also maintain satisfactory potency for 24 hours at room temperature and 7 days under refrigeration.
These solutions may be further diluted to concentrations of between 1 and 30 mg/mL in the following solutions and will lose not more than 10% activity for 24 hours at room temperature or for at least 7 days under refrigeration: 0.9% Sodium Chloride Injection; 1/6 M Sodium Lactate Injection, Ringer’s Injection, USP; Lactated Ringer’s Injection, USP; 5% Dextrose and 0.9% Sodium Chloride Injection; 5% Dextrose Injection; 5% Dextrose and 0.45% Sodium Chloride Injection; 5% Dextrose and 0.225% Sodium Chloride Injection; 10% Dextrose Injection; and 10% Invert Sugar in Water for Injection.
Unused solutions should be discarded after the time periods mentioned above.
Cefuroxime for Injection has also been found compatible for 24 hours at room temperature when admixed in IV infusion with heparin (10 and 50 U/mL) in 0.9% Sodium Chloride Injection and Potassium Chloride (10 and 40 mEq/L) in 0.9% Sodium Chloride Injection. Sodium Bicarbonate Injection, USP is not recommended for the dilution of Cefuroxime for Injection.
Frozen Stability:
Constitute the 7.5 g Pharmacy Bulk Package as directed for intravenous administration in Table 5. Immediately withdraw the 8 or 16 mL from the 7.5 g bulk vial and add to a compatible container containing 50 or 100 mL of 0.9% Sodium Chloride Injection or 5% Dextrose Injection and freeze. Frozen solutions are stable for 6 months when stored at -20°C. Frozen solutions should be thawed at room temperature and not refrozen. Do not force thaw by immersion in water baths or by microwave irradiation. Thawed solutions may be stored for up to 24 hours at room temperature or for 7 days in a refrigerator.
NOTE: Parenteral drug products should be inspected visually for particulate matter and discoloration before administration whenever solution and container permit.
As with other cephalosporins, Cefuroxime for Injection powder as well as solutions and suspensions tend to darken, depending on storage conditions, without adversely affecting product potency.
Pharmacy Bulk Package—Not For Direct Infusion:
The pharmacy bulk package is for use in a pharmacy admixture service only under a laminar flow hood. Entry into the vial must be made with a sterile transfer set or other sterile dispensing device, and the contents dispensed in aliquots using aseptic technique. The use of syringe and needle is not recommended as it may cause leakage (see DOSAGE AND ADMINISTRATION).
AFTER INITIAL WITHDRAWAL USE ENTIRE CONTENTS OF VIAL PROMPTLY. ANY UNUSED PORTION MUST BE DISCARDED WITHIN 4 HOURS.
How Supplied
Cefuroxime for Injection, USP in the dry state should be stored at 20-25°C (68-77°F) [see USP Controlled Room Temperature] and protected from light.
Cefuroxime for Injection, USP is a dry, white to off-white powder supplied as follows:
NDC 0143-9569-10 Sterile Cefuroxime Sodium USP, 7.5 grams Carton of 10
Equivalent to Cefuroxime, Pharmacy Bulk Package
Also available as:
NDC 0143-9568-25 Sterile Cefuroxime Sodium USP, 750 mg Carton of 25
Equivalent to Cefuroxime, IM/IV Injection
NDC 0143-9567-25 Sterile Cefuroxime Sodium, USP 1.5 grams Carton of 25
Equivalent to Cefuroxime, IV Injection
References
1. Clinical and Laboratory Standards Institute (CLSI). Methods for Dilution Antimicrobial Susceptibility Tests for Bacteria that Grow Aerobically; Approved Standard – Ninth Edition. CLSI document M07-A9, Clinical and Laboratory Standards Institute, 950 West Valley Road, Suite 2500, Wayne, Pennsylvania 19087, USA, 2012.
2. Clinical and Laboratory Standards Institute (CLSI). Performance Standards for Antimicrobial Susceptibility Testing; Twenty-fourth Informational Supplement, CLSI document M100-S24. Clinical and Laboratory Standards Institute, 950 West Valley Road, Suite 2500, Wayne, Pennsylvania 19087, USA, 2014.
3. Clinical and Laboratory Standards Institute (CLSI). Performance Standards for Antimicrobial Disk Diffusion Susceptibility Tests; Approved Standard – Eleventh Edition, CLSI document M02-A11, Clinical and Laboratory Standards Institute, 950 West Valley Road, Suite 2500, Wayne, Pennsylvania 19087, USA, 2012.
4. Cockcroft DW, Gault MH. Prediction of creatinine clearance from serum creatinine. Nephron. 1976; 16:31-41.
CLINITEST® is a registered trademark of Ames Division, Miles Laboratories, Inc.
Manufactured by:
Hikma Farmacêutica (Portugal), S.A.
2705-906 Terrugem SNT PORTUGAL
Distributed by:
WEST-WARD PHARMACEUTICAL CORP.
Eatontown, NJ 07724, USA
NOVAPLUS is a registered trademark of Novation, LLC.
NOVAPLUS®
Revised: 03/2015
PIN384-NOV/1
Principal Display Panel
NDC 0143-9569-01 Rx ONLY
CEFUROXIME
FOR INJECTION, USP
PHARMACY BULK PACKAGE
NOT FOR DIRECT INFUSION
FOR INTRAVENOUS USE ONLY
7.5 g/vial
NOT TO BE DISPENSED AS A UNIT
AFTER CONSTITUTION FURTHER DILUTION IS REQUIRED PRIOR TO USE.
THIS PACKAGE IS NOT INTENDED TO BE DISPENSED AS A UNIT.
This is a Pharmacy Bulk Package which contains many single doses for use
in a pharmacy admixture program. See package insert for proper use.
Each Pharmacy Bulk Package vial contains sterile cefuroxime sodium equivalent
to cefuroxime 7.5 g. Cefuroxime for injection contains approximately 54.2 mg
(2.4 mEq) of sodium per gram of cefuroxime activity.
USUAL DOSAGE: See package insert.
Store at 20° to 25°C (68° to 77°F) [See Controlled Room Temperature].
PROTECT FROM LIGHT.
CONSTITUTION: Penetrate one time using a sterile dispensing device. Add
77 mL of Sterile Water for Injection. SHAKE WELL to dissolve. The constituted
solution occupies a volume of about 82.5 mL and contains approximately
750 mg of cefuroxime per 8 mL.
Not for direct infusion. Dispense aliquots from the vial via a suitable dispensing
device into infusion fluids under a laminar flow hood using aseptic technique.
WITHDRAW CONTENTS WITHOUT DELAY. DISCARD VIALS 4 HOURS AFTER
INITIAL ENTRY. Color changes in solution do not affect potency.
Date and Time of Entry:_______/________
NDC 0143-9569-10 Rx ONLY
CEFUROXIME FOR INJECTION, USP
PHARMACY BULK PACKAGE - NOT FOR DIRECT INFUSION
FOR INTRAVENOUS USE ONLY
7.5 g/vial
AFTER CONSTITUTION FURTHER DILUTION IS REQUIRED PRIOR TO USE
THIS PACKAGE IS NOT INTENDED TO BE DISPENSED AS A UNIT
PROTECT FROM LIGHT - RETAIN IN CARTON UNTIL TIME OF USE
Carton of 10 Vials
NDC 0143-9569-10 Rx ONLY
CEFUROXIME FOR INJECTION, USP
PHARMACY BULK PACKAGE - NOT FOR DIRECT INFUSION
FOR INTRAVENOUS USE ONLY
7.5 g/vial
AFTER CONSTITUTION FURTHER DILUTION IS REQUIRED PRIOR TO USE
THIS PACKAGE IS NOT INTENDED TO BE DISPENSED AS A UNIT
PROTECT FROM LIGHT - RETAIN IN CARTON UNTIL TIME OF USE
This is a Pharmacy Bulk Package which contains many single
doses for use in a pharmacy admixture program. See package
insert for proper use.
Each Pharmacy Bulk Package vials contains sterile cefuroxime
sodium equivalent to cefuroxime 7.5 g. Cefuroxime for injection
contains approximately 54.2 mg (2.4 mEq) of sodium per gram
of cefuroxime activity.
USUAL DOSAGE: See package insert.
Store at 20° to 25°C (68° to 77°F) [See USP Controlled Room
Temperature].
PROTECT FROM LIGHT. STORE UPRIGHT.
CONSTITUTION: Penetrate one time using a sterile dispensing
device. Add 77 mL of Sterile Water for Injection. SHAKE WELL
to dissolve. The constituted solution occupies a volume of about
82.5 mL and contains approximately 750 mg of cefuroxime per
8 mL. Not for direct infusion. Dispense aliquots from the vial via
a suitable dispensing device into infusion fluids under a laminar
flow hood using aseptic technique. WITHDRAW CONTENTS
WITHOUT DELAY. DISCARD VIALS 4 HOURS AFTER INITIAL
ENTRY. Color changes in solution do not affect potency.
* Please review the disclaimer below.

![cefuroxime-for-injection---pbp---novaplus-2.jpg NDC 0143-9569-01 Rx ONLY CEFUROXIME FOR INJECTION, USP PHARMACY BULK PACKAGE NOT FOR DIRECT INFUSION FOR INTRAVENOUS USE ONLY 7.5 g/vial NOT TO BE DISPENSED AS A UNIT AFTER CONSTITUTION FURTHER DILUTION IS REQUIRED PRIOR TO USE. THIS PACKAGE IS NOT INTENDED TO BE DISPENSED AS A UNIT. This is a Pharmacy Bulk Package which contains many single doses for use in a pharmacy admixture program. See package insert for proper use. Each Pharmacy Bulk Package vial contains sterile cefuroxime sodium equivalent to cefuroxime 7.5 g. Cefuroxime for injection contains approximately 54.2 mg (2.4 mEq) of sodium per gram of cefuroxime activity. USUAL DOSAGE: See package insert. Store at 20º to 25ºC (68º to 77ºF) [See Controlled Room Temperature]. PROTECT FROM LIGHT. CONSTITUTION: Penetrate one time using a sterile dispensing device. Add 77 mL of Sterile Water for Injection. SHAKE WELL to dissolve. The constituted solution occupies a volume of about 82.5 mL and contains approximately 750 mg of cefuroxime per 8 mL. Not for direct infusion. Dispense aliquots from the vial via a suitable dispensing device into infusion fluids under a laminar flow hood using aseptic technique. WITHDRAW CONTENTS WITHOUT DELAY. DISCARD VIALS 4 HOURS AFTER INITIAL ENTRY. Color changes in solution do not affect potency. Date and Time of Entry:_______/________ - cefuroxime for injection pbp novaplus 2](https://ndclist.com/assets/spl/images/79f5cf6f-a5e2-49a2-9704-fa1bd21338c3/400x-cefuroxime-for-injection---pbp---novaplus-2.jpg)