Product Images Milrinone Lactate In Dextrose

View Photos of Packaging, Labels & Appearance

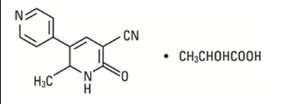
  1. Chemical structure - milrinone lactate in dextrose injection 1
  2. 100 mL Single Dose Flexible Container NDC 0143-9719-01 Milrinone Lactate in 5% Dextrose Injection 20 mg/100 mL (200 mcg/mL) Rx Only Sterile Nonpyrogenic EACH mL CONTAINS MILRINONE LACTATE EQUIVALENT TO 0.2 mg MILRINONE, 0.282 mg LACTIC ACID, 49.4 mg DEXTROSE ANHYDROUS, USP IN WATER FOR INJECTION, USP. THE pH IS ADJUSTED TO BETWEEN 3.2 AND 4.0 WITH LACTIC ACID OR SODIUM HYDROXIDE. NO PRESERVATIVE IS ADDED. EACH FLEXIBLE CONTAINER IS FOR ONE INFUSION ONLY. USE ONLY IF SOLUTION IS CLEAR, COLORLESS TO PALE YELLOW. DO NOT USE IF THE FLEXIBLE CONTAINER LEAKS (SQUEEZE FIRMLY) OR SHOWS SIGNS OF DAMAGE. DISCARD UNUSED PORTION. USUAL DOSAGE: SEE PACKAGE INSERT. MUST NOT BE USED IN SERIES CONNECTIONS. STORE AT 20º TO 25ºC (68º TO 77ºF) [ SEE USP CONTROLLED ROOM TEMPERATURE]. - milrinone lactate in dextrose injection 2
  3. 100 mL Single Dose Flexible Container NDC 0143-9719-01 Milrinone Lactate in 5% Dextrose Injection 20 mg/100 mL (200 mcg/mL) Rx Only Sterile Nonpyrogenic Each mL contains milrinone lactate equivalent to 0.2 mg milrinone, 0.282 mg lactic acid, 49.4 mg Dextrose Anhydrous, USP in Water for Injection, USP. The pH is adjusted to between 3.2 and 4.0 with lactic acid or sodium hydroxide. No preservative is added. Each flexible container is for one infusion only. Use only if solution is clear, colorless to pale yellow. Discard unused portion. The overwrap is a moisture barrier. Do not remove unit from the overwrap until ready for use. After removing overwrap, check for minute leaks by squeezing container firmly. If leaks are found, discard unit as sterility may be impaired. USUAL DOSAGE: See package insert. Store at 20º to 25ºC (68º to 77ºF) [See USP Controlled Room Temperature]. Protect from freezing. Avoid excessive heat. See insert. MUST NOT BE USED IN SERIES CONNECTIONS. TO OPEN - TEAR AT NOTCH - milrinone lactate in dextrose injection 3
  4. 200 mL Single Dose Flexible Container NDC 0143-9718-01 Milrinone Lactate in 5% Dextrose Injection 40 mg/200 mL (200 mcg/mL) Rx Only Sterile Nonpyrogenic EACH mL CONTAINS MILRINONE LACTATE EQUIVALENT TO 0.2 mg MILRINONE, 0.282 mg LACTIC ACID, 49.4 mg DEXTROSE ANHYDROUS, USP IN WATER FOR INJECTION, USP. THE pH IS ADJUSTED TO BETWEEN 3.2 AND 4.0 WITH LACTIC ACID OR SODIUM HYDROXIDE. NO PRESERVATIVE IS ADDED. EACH FLEXIBLE CONTAINER IS FOR ONE INFUSION ONLY. USE ONLY IF SOLUTION IS CLEAR, COLORLESS TO PALE YELLOW. DO NOT USE IF THE FLEXIBLE CONTAINER LEAKS (SQUEEZE FIRMLY) OR SHOWS SIGNS OF DAMAGE. DISCARD UNUSED PORTION. USUAL DOSAGE: SEE PACKAGE INSERT. MUST NOT BE USED IN SERIES CONNECTIONS. STORE AT 20º TO 25ºC (68º TO 77ºF) [ SEE USP CONTROLLED ROOM TEMPERATURE]. - milrinone lactate in dextrose injection 4
  5. 200 mL Single Dose Flexible Container NDC 0143-9718-01 Milrinone Lactate in 5% Dextrose Injection 40 mg/200 mL (200 mcg/mL) Rx Only Sterile Nonpyrogenic Each mL contains milrinone lactate equivalent to 0.2 mg milrinone, 0.282 mg lactic acid, 49.4 mg Dextrose Anhydrous, USP in Water for Injection, USP. The pH is adjusted to between 3.2 and 4.0 with lactic acid or sodium hydroxide. No preservative is added. Each flexible container is for one infusion only. Use only if solution is clear, colorless to pale yellow. Discard unused portion. The overwrap is a moisture barrier. Do not remove unit from the overwrap until ready for use. After removing overwrap, check for minute leaks by squeezing container firmly. If leaks are found, discard unit as sterility may be impaired. USUAL DOSAGE: See package insert. Store at 20º to 25ºC (68º to 77ºF) [See USP Controlled Room Temperature]. Protect from freezing. Avoid excessive heat. See insert. MUST NOT BE USED IN SERIES CONNECTIONS. TO OPEN - TEAR AT NOTCH - milrinone lactate in dextrose injection 5
  6. milrinone lactate in dextrose injection 6

Product Label Images

The following 6 images provide visual information about the product associated with Milrinone Lactate In Dextrose NDC 0143-9719 by Hikma Pharmaceuticals Usa Inc., such as packaging, labeling, and the appearance of the drug itself. This resource could be helpful for medical professionals, pharmacists, and patients seeking to verify medication information and ensure they have the correct product.

Chemical structure - milrinone lactate in dextrose injection 1

Chemical structure - milrinone lactate in dextrose injection 1

100 mL Single Dose Flexible Container NDC 0143-9719-01 Milrinone Lactate in 5% Dextrose Injection 20 mg/100 mL (200 mcg/mL) Rx Only Sterile Nonpyrogenic EACH mL CONTAINS MILRINONE LACTATE EQUIVALENT TO 0.2 mg MILRINONE, 0.282 mg LACTIC ACID, 49.4 mg DEXTROSE ANHYDROUS, USP IN WATER FOR INJECTION, USP. THE pH IS ADJUSTED TO BETWEEN 3.2 AND 4.0 WITH LACTIC ACID OR SODIUM HYDROXIDE. NO PRESERVATIVE IS ADDED. EACH FLEXIBLE CONTAINER IS FOR ONE INFUSION ONLY. USE ONLY IF SOLUTION IS CLEAR, COLORLESS TO PALE YELLOW. DO NOT USE IF THE FLEXIBLE CONTAINER LEAKS (SQUEEZE FIRMLY) OR SHOWS SIGNS OF DAMAGE. DISCARD UNUSED PORTION. USUAL DOSAGE: SEE PACKAGE INSERT. MUST NOT BE USED IN SERIES CONNECTIONS. STORE AT 20º TO 25ºC (68º TO 77ºF) [ SEE USP CONTROLLED ROOM TEMPERATURE]. - milrinone lactate in dextrose injection 2

100 mL Single Dose Flexible Container NDC 0143-9719-01 Milrinone Lactate in 5% Dextrose Injection 20 mg/100 mL (200 mcg/mL) Rx Only Sterile Nonpyrogenic EACH mL CONTAINS MILRINONE LACTATE EQUIVALENT TO 0.2 mg MILRINONE, 0.282 mg LACTIC ACID, 49.4 mg DEXTROSE ANHYDROUS, USP IN WATER FOR INJECTION, USP. THE pH IS ADJUSTED TO BETWEEN 3.2 AND 4.0 WITH LACTIC ACID OR SODIUM HYDROXIDE. NO PRESERVATIVE IS ADDED. EACH FLEXIBLE CONTAINER IS FOR ONE INFUSION ONLY. USE ONLY IF SOLUTION IS CLEAR, COLORLESS TO PALE YELLOW. DO NOT USE IF THE FLEXIBLE CONTAINER LEAKS (SQUEEZE FIRMLY) OR SHOWS SIGNS OF DAMAGE. DISCARD UNUSED PORTION. USUAL DOSAGE: SEE PACKAGE INSERT. MUST NOT BE USED IN SERIES CONNECTIONS. STORE AT 20º TO 25ºC (68º TO 77ºF) [ SEE USP CONTROLLED ROOM TEMPERATURE]. - milrinone lactate in dextrose injection 2

100 mL Single Dose Flexible Container NDC 0143-9719-01 Milrinone Lactate in 5% Dextrose Injection 20 mg/100 mL (200 mcg/mL) Rx Only Sterile Nonpyrogenic Each mL contains milrinone lactate equivalent to 0.2 mg milrinone, 0.282 mg lactic acid, 49.4 mg Dextrose Anhydrous, USP in Water for Injection, USP. The pH is adjusted to between 3.2 and 4.0 with lactic acid or sodium hydroxide. No preservative is added. Each flexible container is for one infusion only. Use only if solution is clear, colorless to pale yellow. Discard unused portion. The overwrap is a moisture barrier. Do not remove unit from the overwrap until ready for use. After removing overwrap, check for minute leaks by squeezing container firmly. If leaks are found, discard unit as sterility may be impaired. USUAL DOSAGE: See package insert. Store at 20º to 25ºC (68º to 77ºF) [See USP Controlled Room Temperature]. Protect from freezing. Avoid excessive heat. See insert. MUST NOT BE USED IN SERIES CONNECTIONS. TO OPEN - TEAR AT NOTCH - milrinone lactate in dextrose injection 3

100 mL Single Dose Flexible Container NDC 0143-9719-01 Milrinone Lactate in 5% Dextrose Injection 20 mg/100 mL (200 mcg/mL) Rx Only Sterile Nonpyrogenic Each mL contains milrinone lactate equivalent to 0.2 mg milrinone, 0.282 mg lactic acid, 49.4 mg Dextrose Anhydrous, USP in Water for Injection, USP. The pH is adjusted to between 3.2 and 4.0 with lactic acid or sodium hydroxide. No preservative is added. Each flexible container is for one infusion only. Use only if solution is clear, colorless to pale yellow. Discard unused portion. The overwrap is a moisture barrier. Do not remove unit from the overwrap until ready for use. After removing overwrap, check for minute leaks by squeezing container firmly. If leaks are found, discard unit as sterility may be impaired. USUAL DOSAGE: See package insert. Store at 20º to 25ºC (68º to 77ºF) [See USP Controlled Room Temperature]. Protect from freezing. Avoid excessive heat. See insert. MUST NOT BE USED IN SERIES CONNECTIONS. TO OPEN - TEAR AT NOTCH - milrinone lactate in dextrose injection 3

This is a medication description for Milrinone Lactate in 5% Dextrose Injection contained in a 100 mL Single Dose Flexible Container with a NDC number of 0143-9719-01. The solution has a strength of 20mg/100mL (200mg/mL). It is sterile nonpyrogenic and should not be used after the expiration date or if the package is opened or damaged. The usual dosage is not provided. There are instructions to tear the notch to open the container.*

200 mL Single Dose Flexible Container NDC 0143-9718-01 Milrinone Lactate in 5% Dextrose Injection 40 mg/200 mL (200 mcg/mL) Rx Only Sterile Nonpyrogenic EACH mL CONTAINS MILRINONE LACTATE EQUIVALENT TO 0.2 mg MILRINONE, 0.282 mg LACTIC ACID, 49.4 mg DEXTROSE ANHYDROUS, USP IN WATER FOR INJECTION, USP. THE pH IS ADJUSTED TO BETWEEN 3.2 AND 4.0 WITH LACTIC ACID OR SODIUM HYDROXIDE. NO PRESERVATIVE IS ADDED. EACH FLEXIBLE CONTAINER IS FOR ONE INFUSION ONLY. USE ONLY IF SOLUTION IS CLEAR, COLORLESS TO PALE YELLOW. DO NOT USE IF THE FLEXIBLE CONTAINER LEAKS (SQUEEZE FIRMLY) OR SHOWS SIGNS OF DAMAGE. DISCARD UNUSED PORTION. USUAL DOSAGE: SEE PACKAGE INSERT. MUST NOT BE USED IN SERIES CONNECTIONS. STORE AT 20º TO 25ºC (68º TO 77ºF) [ SEE USP CONTROLLED ROOM TEMPERATURE]. - milrinone lactate in dextrose injection 4

200 mL Single Dose Flexible Container NDC 0143-9718-01 Milrinone Lactate in 5% Dextrose Injection 40 mg/200 mL (200 mcg/mL) Rx Only Sterile Nonpyrogenic EACH mL CONTAINS MILRINONE LACTATE EQUIVALENT TO 0.2 mg MILRINONE, 0.282 mg LACTIC ACID, 49.4 mg DEXTROSE ANHYDROUS, USP IN WATER FOR INJECTION, USP. THE pH IS ADJUSTED TO BETWEEN 3.2 AND 4.0 WITH LACTIC ACID OR SODIUM HYDROXIDE. NO PRESERVATIVE IS ADDED. EACH FLEXIBLE CONTAINER IS FOR ONE INFUSION ONLY. USE ONLY IF SOLUTION IS CLEAR, COLORLESS TO PALE YELLOW. DO NOT USE IF THE FLEXIBLE CONTAINER LEAKS (SQUEEZE FIRMLY) OR SHOWS SIGNS OF DAMAGE. DISCARD UNUSED PORTION. USUAL DOSAGE: SEE PACKAGE INSERT. MUST NOT BE USED IN SERIES CONNECTIONS. STORE AT 20º TO 25ºC (68º TO 77ºF) [ SEE USP CONTROLLED ROOM TEMPERATURE]. - milrinone lactate in dextrose injection 4

This is a 200 mL single dose flexible container of Milrinone Lactate in 5% Dextrose Injection, containing 40 mg/200 mL (200 mg/mL). Each mL contains Milrinone Lactate equivalent to 0.2 mg Milrinone, 0.262 mg Lactic Acid, 43.4 mg Dextrose Anhydrous, USP in Water for Injection, USP. The pH is adjusted to between 3.2 and 4.0 with Lactic Acid or Sodium Hydroxide, and no preservative is added. The flexible container is for one infusion only and should only be used if the solution is clear, colorless to pale yellow, and the container is not damaged or leaking. The usual dosage should be seen in the package insert. This product must not be used in series connections, and should be stored at 20° to 25°C (68° to 77°F) [see USP controlled room temperature]. Made by West-Ward Pharmaceuticals Corp., Eatontown, NJ 07724 USA. NDC 0143-9718-01.*

200 mL Single Dose Flexible Container NDC 0143-9718-01 Milrinone Lactate in 5% Dextrose Injection 40 mg/200 mL (200 mcg/mL) Rx Only Sterile Nonpyrogenic Each mL contains milrinone lactate equivalent to 0.2 mg milrinone, 0.282 mg lactic acid, 49.4 mg Dextrose Anhydrous, USP in Water for Injection, USP. The pH is adjusted to between 3.2 and 4.0 with lactic acid or sodium hydroxide. No preservative is added. Each flexible container is for one infusion only. Use only if solution is clear, colorless to pale yellow. Discard unused portion. The overwrap is a moisture barrier. Do not remove unit from the overwrap until ready for use. After removing overwrap, check for minute leaks by squeezing container firmly. If leaks are found, discard unit as sterility may be impaired. USUAL DOSAGE: See package insert. Store at 20º to 25ºC (68º to 77ºF) [See USP Controlled Room Temperature]. Protect from freezing. Avoid excessive heat. See insert. MUST NOT BE USED IN SERIES CONNECTIONS. TO OPEN - TEAR AT NOTCH - milrinone lactate in dextrose injection 5

200 mL Single Dose Flexible Container NDC 0143-9718-01 Milrinone Lactate in 5% Dextrose Injection 40 mg/200 mL (200 mcg/mL) Rx Only Sterile Nonpyrogenic Each mL contains milrinone lactate equivalent to 0.2 mg milrinone, 0.282 mg lactic acid, 49.4 mg Dextrose Anhydrous, USP in Water for Injection, USP. The pH is adjusted to between 3.2 and 4.0 with lactic acid or sodium hydroxide. No preservative is added. Each flexible container is for one infusion only. Use only if solution is clear, colorless to pale yellow. Discard unused portion. The overwrap is a moisture barrier. Do not remove unit from the overwrap until ready for use. After removing overwrap, check for minute leaks by squeezing container firmly. If leaks are found, discard unit as sterility may be impaired. USUAL DOSAGE: See package insert. Store at 20º to 25ºC (68º to 77ºF) [See USP Controlled Room Temperature]. Protect from freezing. Avoid excessive heat. See insert. MUST NOT BE USED IN SERIES CONNECTIONS. TO OPEN - TEAR AT NOTCH - milrinone lactate in dextrose injection 5

This appears to be a drug label for Milrinone Lactate in 5% Dextrose Injection, with a strength of 40mg/200mL. It is a sterile, nonpyrogenic solution for injection which contains milrinone lactate equivalent to 0.02g, lactate acid, dextrose anhydrous USP in water for injection USP. The recommended storage temperature is between 20 to 25°C. The text also suggests discarding any unused portions.*

milrinone lactate in dextrose injection 6

milrinone lactate in dextrose injection 6

This text appears to be a product label or packaging information, containing a Global Trade Item Number (GTIN), a serial number (SN), an expiration date (EXP), and a lot number (LOT). The GTIN is a unique identifier typically used to track products in the supply chain, while the SN is a specific number assigned to a particular product. The EXP refers to the expected date until which the product should be consumed or used, while the LOT is a unique identifier assigned to a specific batch of the product.*

* The product label images have been analyzed using a combination of traditional computing and machine learning techniques. It should be noted that the descriptions provided may not be entirely accurate as they are experimental in nature. Use the information in this page at your own discretion and risk.