FDA Label for Triamcinolone Acetonide
View Indications, Usage & Precautions
- OTHER
- DESCRIPTION:
- CLINICAL PHARMACOLOGY:
- PHARMACOKINETICS
- INDICATIONS AND USAGE:
- CONTRAINDICATIONS:
- GENERAL PRECAUTIONS
- INFORMATION FOR PATIENTS
- LABORATORY TESTS
- CARCINOGENESIS & MUTAGENESIS & IMPAIRMENT OF FERTILITY
- PREGNANCY
- NURSING MOTHERS
- PEDIATRIC USE
- ADVERSE REACTIONS:
- OVERDOSAGE:
- DOSAGE AND ADMINISTRATION:
- HOW SUPPLIED
- PACKAGE LABEL – PRINCIPAL DISPLAY PANEL – 0.025% 60 ML CONTAINER
- PACKAGE LABEL – PRINCIPAL DISPLAY PANEL – 0.025% 60 ML CARTON
- PACKAGE LABEL – PRINCIPAL DISPLAY PANEL – 0.1% 60 ML CONTAINER
- PACKAGE LABEL – PRINCIPAL DISPLAY PANEL – 0.1% 60 ML CARTON
Triamcinolone Acetonide Product Label
The following document was submitted to the FDA by the labeler of this product E. Fougera & Co. A Division Of Fougera Pharmaceuticals Inc.. The document includes published materials associated whith this product with the essential scientific information about this product as well as other prescribing information. Product labels may durg indications and usage, generic names, contraindications, active ingredients, strength dosage, routes of administration, appearance, warnings, inactive ingredients, etc.
Other
Rx only
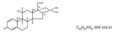
Description:
Triamcinolone Acetonide USP is a topical corticosteroid designated chemically as 9-Fluoro-11β,16α,17,21-tetrahydroxypregna-1,4-diene-3,20-dione cyclic 16,17-acetal with acetone.
Structural formula:
Each mL of 0.025% and 0.1% Triamcinolone Acetonide Lotion USP, provides 0.25 mg and 1 mg triamcinolone acetonide USP, respectively, in a lotion base containing propylene glycol, cetyl alcohol, stearyl alcohol, sorbitan monopalmitate, polysorbate 20, simethicone, and purified water.
Clinical Pharmacology:
Topical corticosteroids share anti-inflammatory, anti-pruritic and vasoconstrictive actions. The mechanism of anti-inflammatory activity of the topical corticosteroids is unclear. Various laboratory methods, including vasoconstrictor assays, are used to compare and predict potencies and/or clinical efficacies of the topical corticosteroids. There is some evidence to suggest that a recognizable correlation exists between vasoconstrictor potency and therapeutic efficacy in man.
Pharmacokinetics
Pharmacokinetics: The extent of percutaneous absorption of topical corticosteroids is determined by many factors including the vehicle, the integrity of the epidermal barrier, and the use of occlusive dressings.
Topical corticosteroids can be absorbed from normal intact skin. Inflammation and/or other disease processes in the skin increase percutaneous absorption. Occlusive dressings substantially increase the percutaneous absorption of topical corticosteroids. Thus, occlusive dressings may be a valuable therapeutic adjunct for treatment of resistant dermatoses (see DOSAGE AND ADMINISTRATION). Once absorbed through the skin, topical corticosteroids are handled through pharmacokinetic pathways similar to systemically administered corticosteroids. Corticosteroids are bound to plasma proteins in varying degrees. Corticosteroids are metabolized primarily in the liver and are then excreted by the kidneys. Some of the topical corticosteroids and their metabolites are also excreted into the bile.
Indications And Usage:
Triamcinolone Acetonide Lotion USP, 0.025% and 0.1% are indicated for relief of the inflammatory and pruritic manifestations of corticosteroid-responsive dermatoses.
Contraindications:
Topical corticosteroids are contraindicated in those patients with a history of hypersensitivity to any of the components of the preparations.
General Precautions
General: Systemic absorption of topical corticosteroids has produced reversible hypothalamic-pituitary-adrenal (HPA) axis suppression, manifestations of Cushing's syndrome, hyperglycemia, and glucosuria in some patients.
Conditions which augment systemic absorption include the application of the more potent steroids, use over large surface areas, prolonged use, and the addition of occlusive dressings.
Therefore, patients receiving a large dose of any potent topical steriod applied to a large surface area or under an occlusive dressing should be evaluated periodically for evidence of HPA axis suppression by using the urinary free cortisol and ACTH stimulation tests. If HPA axis suppression is noted, an attempt should be made to withdraw the drug, to reduce the frequency of application or to substitute a less potent steroid.
Recovery of HPA axis function is generally prompt and complete upon discontinuation of the drug. Infrequently, signs and symptoms of steroid withdrawal may occur, requiring supplemental systemic corticosteroids.
Children may absorb proportionally larger amounts of topical corticosteroids and thus be more susceptible to systemic toxicity (see PRECAUTIONS, Pediatric Use).
If irritation develops, topical corticosteroids should be discontinued and appropriate therapy instituted. In the presence of dermatological infections, the use of an appropriate antifungal or antibacterial agent should be instituted. If a favorable response does not occur promptly, the corticosteroid should be discontinued until the infection has been adequately controlled.
These preparations are not for ophthalmic use.
Information For Patients
Information for the Patient: Patients using topical corticosteroids should receive the following information and instructions:
1. This medication is to be used as directed by the physician. It is for external use only. Avoid contact with the eyes.2. Patients should be advised not to use this medication for any disorder other than for which it was prescribed.3. The treated skin area should not be bandaged or otherwise covered or wrapped as to be occlusive unless directed by the physician.4. Patients should report any signs of local adverse reactions especially under occlusive dressing.5. Parents of pediatric patients should be advised not to use tight fitting diapers or plastic pants on a child being treated in the diaper area, as these garments may constitute occlusive dressings.
Laboratory Tests
Laboratory Tests: A urinary free cortisol test and ACTH stimulation test may be helpful in evaluating HPA axis suppression.
Carcinogenesis & Mutagenesis & Impairment Of Fertility
Carcinogenesis, Mutagenesis, and Impairment of Fertility: Long-term animal studies have not been performed to evaluate the carcinogenic potential or the effect on fertility of topical corticosteroids. Studies to determine mutagenicity with prednisolone and hydrocortisone showed negative results.
Pregnancy
Pregnancy: Teratogenic Effects- Pregnancy Category C: Corticosteroids are generally teratogenic in laboratory animals when administered systemically at relatively low dosage levels. The more potent corticosteroids have been shown to be teratogenic after dermal application in laboratory animals. There are no adequate and well-controlled studies in pregnant women on teratogenic effects from topically applied corticosteroids. Therefore, topical corticosteroids should be used during pregnancy only if the potential benefit justifies the potential risk to the fetus. Drugs of this class should not be used extensively on pregnant patients, in large amounts, or for prolonged periods of time.
Nursing Mothers
Nursing Mothers: It is not known whether topical administration of corticosteroids could result in sufficient systemic absorption to produce detectable quantities in breast milk. Systemically administered corticosteroids are secreted into breast milk in quantities not likely to have a deleterious effect on the infant. Nevertheless, caution should be exercised when topical corticosteroids are administered to a nursing woman.
Pediatric Use
Pediatric Use: Pediatric patients may demonstrate greater susceptibility to topical corticosteroid-induced HPA axis suppression and Cushing's syndrome than mature patients because of a larger skin surface area to body weight ratio. HPA axis suppression, Cushing's syndrome, and intracranial hypertension have been reported in children receiving topical corticosteroids. Manifestations of adrenal suppression in children include linear growth retardation, delayed weight gain, low plasma cortisol levels, and absence of response to ACTH stimulation. Manifestations of intracranial hypertension include bulging fontanelles, headaches, and bilateral papilledema. Administration of topical corticosteroids to children should be limited to the least amount compatible with an effective therapeutic regimen. Chronic corticosteroid therapy may interfere with the growth and development of children.
Adverse Reactions:
The following local adverse reactions are reported infrequently with topical corticosteroids, but may occur more frequently with the use of occlusive dressings. These reactions are listed in an approximate decreasing order of occurrence: burning, itching, irritation, dryness, folliculitis, hypertrichosis, acneiform eruptions, hypopigmentation, perioral dermatitis, allergic contact dermatitis, maceration of the skin, secondary infection, skin atrophy, striae and miliaria.
Overdosage:
Topically applied corticosteroids can be absorbed in sufficient amounts to produce systemic effects (see PRECAUTIONS, General).
Dosage And Administration:
Apply the 0.025% Triamcinolone Acetonide Lotion to the affected area three to four times daily depending on the severity of the condition.
Apply the 0.1% Triamcinolone Acetonide Lotion to the affected area three to four times daily depending on the severity of the condition.
Occlusive dressings may be used for the management of psoriasis or recalcitrant conditions. If an infection develops, the use of occlusive dressings should be discontinued and appropriate antimicrobial therapy instituted.
How Supplied
Triamcinolone Acetonide Lotion USP, 0.025%; plastic squeeze bottles containing
60 mL NDC 0168-0336-60
Triamcinolone Acetonide Lotion USP, 0.1%; plastic squeeze bottles containing
60 mL NDC 0168-0337-60
Store at 20° to 25°C (68° to 77°F) [see USP Controlled Room Temperature].
AVOID FREEZING.
SHAKE WELL BEFORE USING.
E. FOUGERA & CO.
A division of
Fougera
PHARMACEUTICALS INC.
Melville, New York 11747
I2337D
R05/15
#69
Package Label – Principal Display Panel – 0.025% 60 Ml Container
NDC 0168-0336-60
FOUGERA®
TRIAMCINOLONE
ACETONIDE
LOTION USP, 0.025%
60 mL
FOR EXTERNAL USE ONLY.
NOT FOR OPHTHALMIC USE.
Rx only
E. FOUGERA & CO.
A division of
Fougera Pharmaceuticals Inc.
Melville, New York 11747
Package Label – Principal Display Panel – 0.025% 60 Ml Carton
NDC 0168-0336-60
FOUGERA®
TRIAMCINOLONE
ACETONIDE LOTION
USP, 0.025%
60 mL
FOR EXTERNAL USE ONLY.
NOT FOR OPHTHALMIC USE.
Rx only
E. FOUGERA & CO.
A division of
Fougera Pharmaceuticals Inc.
Melville, New York 11747
Package Label – Principal Display Panel – 0.1% 60 Ml Container
NDC 0168-0337-60
FOUGERA®
TRIAMCINOLONE
ACETONIDE
LOTION USP, 0.1%
60 mL
FOR EXTERNAL USE ONLY.
NOT FOR OPHTHALMIC USE.
Rx only
E. FOUGERA & CO.
A division of
Fougera Pharmaceuticals Inc.
Melville, New York 11747
Package Label – Principal Display Panel – 0.1% 60 Ml Carton
NDC 0168-0337-60
FOUGERA®
TRIAMCINOLONE
ACETONIDE LOTION
USP, 0.1%
60 mL
FOR EXTERNAL USE ONLY.
NOT FOR OPHTHALMIC USE.
Rx only
E. FOUGERA & CO.
A division of
Fougera Pharmaceuticals Inc.
Melville, New York 11747
* Please review the disclaimer below.




