FDA Label for Wegovy
View Indications, Usage & Precautions
- WARNING: RISK OF THYROID C-CELL TUMORS
- 1 INDICATIONS AND USAGE
- 2.1 PATIENT SELECTION
- 2.2 IMPORTANT ADMINISTRATION INSTRUCTIONS
- 2.3 RECOMMENDED DOSAGE
- 3 DOSAGE FORMS AND STRENGTHS
- 4 CONTRAINDICATIONS
- 5.1 RISK OF THYROID C-CELL TUMORS
- 5.2 ACUTE PANCREATITIS
- 5.3 ACUTE GALLBLADDER DISEASE
- 5.4 HYPOGLYCEMIA
- 5.5 ACUTE KIDNEY INJURY
- 5.6 HYPERSENSITIVITY
- 5.7 DIABETIC RETINOPATHY COMPLICATIONS IN PATIENTS WITH TYPE 2 DIABETES
- 5.8 HEART RATE INCREASE
- 5.9 SUICIDAL BEHAVIOR AND IDEATION
- 6 ADVERSE REACTIONS
- 6.1 CLINICAL TRIALS EXPERIENCE
- 6.2 IMMUNOGENICITY
- 6.3 POSTMARKETING EXPERIENCE
- 7.1 CONCOMITANT USE WITH AN INSULIN SECRETAGOGUE (E.G., SULFONYLUREA) OR INSULIN
- 7.2 ORAL MEDICATIONS
- 8.1 PREGNANCY
- 8.2 LACTATION
- 8.3 FEMALES AND MALES OF REPRODUCTIVE POTENTIAL
- 8.4 PEDIATRIC USE
- 8.5 GERIATRIC USE
- 8.6 RENAL IMPAIRMENT
- 8.7 HEPATIC IMPAIRMENT
- 10 OVERDOSAGE
- 11 DESCRIPTION
- 12.1 MECHANISM OF ACTION
- 12.2 PHARMACODYNAMICS
- 12.3 PHARMACOKINETICS
- 13.1 CARCINOGENESIS, MUTAGENESIS, IMPAIRMENT OF FERTILITY
- 14 CLINICAL STUDIES
- 14.1 WEIGHT MANAGEMENT STUDIES IN ADULTS WITH OVERWEIGHT OR OBESITY
- 14.2 EFFECT OF WEGOVY ON ANTHROPOMETRY AND CARDIOMETABOLIC PARAMETERS
- 14.3 CARDIOVASCULAR OUTCOMES TRIAL OF SEMAGLUTIDE 0.5 MG AND 1 MG IN PATIENTS WITH TYPE 2 DIABETES AND CARDIOVASCULAR DISEASE
- 16 HOW SUPPLIED/STORAGE AND HANDLING
- 17 PATIENT COUNSELING INFORMATION
- MEDICATION GUIDE
- INSTRUCTIONS FOR USE
- WEGOVY™ 0.25 MG
- WEGOVY™ 0.5 MG
- WEGOVY™ 1 MG
- WEGOVY™ 1.7 MG
- WEGOVY™ 2.4 MG
Wegovy Product Label
The following document was submitted to the FDA by the labeler of this product Novo Nordisk. The document includes published materials associated whith this product with the essential scientific information about this product as well as other prescribing information. Product labels may durg indications and usage, generic names, contraindications, active ingredients, strength dosage, routes of administration, appearance, warnings, inactive ingredients, etc.
Warning: Risk Of Thyroid C-Cell Tumors
• In rodents, semaglutide causes dose-dependent and treatment-duration-dependent thyroid C-cell tumors at clinically relevant exposures. It is unknown whether WEGOVY causes thyroid C-cell tumors, including medullary thyroid carcinoma (MTC), in humans as human relevance of semaglutide-induced rodent thyroid C-cell tumors has not been determined [see Warnings and Precautions (5.1) and Nonclinical Toxicology (13.1)].• WEGOVY is contraindicated in patients with a personal or family history of MTC or in patients with Multiple Endocrine Neoplasia syndrome type 2 (MEN 2) [see Contraindications (4)]. Counsel patients regarding the potential risk for MTC with the use of WEGOVY and inform them of symptoms of thyroid tumors (e.g. a mass in the neck, dysphagia, dyspnea, persistent hoarseness). Routine monitoring of serum calcitonin or using thyroid ultrasound is of uncertain value for early detection of MTC in patients treated with WEGOVY [see Contraindications (4) and Warnings and Precautions (5.1)].
1 Indications And Usage
WEGOVY is indicated as an adjunct to a reduced calorie diet and increased physical activity for chronic weight management in adults with an initial body mass index (BMI) of [see Dosage and Administration (2.1)]:
• 30 kg/m2 or greater (obesity) or• 27 kg/m2 or greater (overweight) in the presence of at least one weight-related comorbid condition (e.g., hypertension, type 2 diabetes mellitus, or dyslipidemia)• WEGOVY contains semaglutide and should not be coadministered with other semaglutide-containing products or with any other GLP-1 receptor agonist.• The safety and effectiveness of WEGOVY in combination with other products intended for weight loss, including prescription drugs, over-the-counter drugs, and herbal preparations, have not been established.• WEGOVY has not been studied in patients with a history of pancreatitis [see Warnings and Precautions (5.2)].
Limitation of Use
2.1 Patient Selection
Select patients for WEGOVY treatment as an adjunct to a reduced-calorie diet and increased physical activity for chronic weight management based on their BMI. BMI is calculated by dividing weight (in kilograms) by height (in meters) squared. A chart for determining BMI based on height and weight is provided in Table 1.
Table 1. BMI Conversion Chart
2.2 Important Administration Instructions
• Prior to initiation of WEGOVY, train patients on proper injection technique. Refer to the accompanying Instructions for Use for complete administration instructions with illustrations.• Inspect WEGOVY visually prior to each injection. Only use if solution is clear, colorless, and contains no particles.• Administer WEGOVY once weekly, on the same day each week, at any time of day, with or without meals.• Administer WEGOVY subcutaneously in the abdomen, thigh, or upper arm. The time of day and the injection site can be changed without dose adjustment.• If one dose is missed and the next scheduled dose is more than 2 days away (48 hours), administer WEGOVY as soon as possible. If one dose is missed and the next scheduled dose is less than 2 days away (48 hours), do not administer the dose. Resume dosing on the regularly scheduled day of the week.• If more than 2 consecutive doses are missed, resume dosing as scheduled or, if needed, reinitiate WEGOVY and follow the dose escalation schedule, which may reduce the occurrence of gastrointestinal symptoms associated with reinitiation of treatment.
2.3 Recommended Dosage
• Initiate WEGOVY with a dose of 0.25 mg injected subcutaneously once-weekly and follow the dose escalation schedule in Table 2 to minimize gastrointestinal adverse reactions [see Adverse Reactions (6.1)].• If patients do not tolerate a dose during dose escalation, consider delaying dose escalation for 4 weeks.• The maintenance dose of WEGOVY is 2.4 mg injected subcutaneously once-weekly.• If patients do not tolerate the maintenance 2.4 mg once-weekly dose, the dose can be temporarily decreased to 1.7 mg once-weekly, for a maximum of 4 weeks. After 4 weeks, increase WEGOVY to the maintenance 2.4 mg once-weekly. Discontinue WEGOVY if the patient cannot tolerate the 2.4 mg dose.• In patients with type 2 diabetes, monitor blood glucose prior to starting WEGOVY and during WEGOVY treatment.
Table 2. Dose Escalation Schedule
Weeks | Weekly Dose | |
1 through 4 | 0.25 mg | Dose escalation |
5 through 8 | 0.5 mg | |
9 through 12 | 1 mg | |
13 through 16 | 1.7 mg | |
Week 17 and onward | 2.4 mg | Maintenance dose |
3 Dosage Forms And Strengths
Injection: clear, colorless solution available in 5 pre-filled, disposable, single-dose pens:
Dose per Injection | Total Strength per Total Volume |
0.25 mg | 0.25 mg / 0.5 mL |
0.5 mg | 0.5 mg / 0.5 mL |
1 mg | 1 mg / 0.5 mL |
1.7 mg | 1.7 mg / 0.75 mL |
2.4 mg | 2.4 mg / 0.75 mL |
4 Contraindications
WEGOVY is contraindicated in the following conditions:
• A personal or family history of medullary thyroid carcinoma (MTC) or in patients with Multiple Endocrine Neoplasia syndrome type 2 (MEN 2) [see Warnings and Precautions (5.1)].• A prior serious hypersensitivity reaction to semaglutide or to any of the excipients in WEGOVY. Serious hypersensitivity reactions, including anaphylaxis and angioedema, have been reported with semaglutide [see Warnings and Precautions (5.6)].
5.1 Risk Of Thyroid C-Cell Tumors
In mice and rats, semaglutide caused a dose-dependent and treatment-duration-dependent increase in the incidence of thyroid C-cell tumors (adenomas and carcinomas) after lifetime exposure at clinically relevant plasma exposures [see Nonclinical Toxicology (13.1)]. It is unknown whether WEGOVY causes thyroid C-cell tumors, including medullary thyroid carcinoma (MTC), in humans, as human relevance of semaglutide-induced rodent thyroid C-cell tumors has not been determined.
Cases of MTC in patients treated with liraglutide, another GLP-1 receptor agonist, have been reported in the postmarketing period; the data in these reports are insufficient to establish or exclude a causal relationship between MTC and GLP-1 receptor agonist use in humans.
WEGOVY is contraindicated in patients with a personal or family history of MTC or in patients with MEN 2. Counsel patients regarding the potential risk for MTC with the use of WEGOVY and inform them of symptoms of thyroid tumors (e.g. a mass in the neck, dysphagia, dyspnea, persistent hoarseness).
Routine monitoring of serum calcitonin or using thyroid ultrasound is of uncertain value for early detection of MTC in patients treated with WEGOVY. Such monitoring may increase the risk of unnecessary procedures, due to the low test specificity for serum calcitonin and a high background incidence of thyroid disease. Significantly elevated serum calcitonin value may indicate MTC and patients with MTC usually have calcitonin values greater than 50 ng/L. If serum calcitonin is measured and found to be elevated, the patient should be further evaluated. Patients with thyroid nodules noted on physical examination or neck imaging should also be further evaluated.
5.2 Acute Pancreatitis
Acute pancreatitis, including fatal and non-fatal hemorrhagic or necrotizing pancreatitis, has been observed in patients treated with GLP-1 receptor agonists, including semaglutide. Acute pancreatitis was observed in patients treated with WEGOVY in clinical trials [see Adverse Reactions (6)]. After initiation of WEGOVY, observe patients carefully for signs and symptoms of acute pancreatitis (including persistent severe abdominal pain, sometimes radiating to the back, and which may or may not be accompanied by vomiting). If acute pancreatitis is suspected, WEGOVY should promptly be discontinued and appropriate management should be initiated. If acute pancreatitis is confirmed, WEGOVY should not be restarted.
WEGOVY has not been studied in patients with a history of pancreatitis. It is unknown if patients with a history of pancreatitis are at higher risk for development of pancreatitis on WEGOVY.
5.3 Acute Gallbladder Disease
In WEGOVY randomized clinical trials, cholelithiasis was reported by 1.6% of WEGOVY-treated patients and 0.7% of placebo-treated patients. Cholecystitis was reported by 0.6% of WEGOVY-treated patients and 0.2% of placebo-treated patients. Substantial or rapid weight loss can increase the risk of cholelithiasis; however, the incidence of acute gallbladder disease was greater in WEGOVY-treated patients than in placebo-treated patients, even after accounting for the degree of weight loss. If cholelithiasis is suspected, gallbladder studies and appropriate clinical follow-up are indicated.
5.4 Hypoglycemia
WEGOVY lowers blood glucose and can cause hypoglycemia.
In a trial of patients with type 2 diabetes and BMI greater than or equal to 27 kg/m2, hypoglycemia (defined as a plasma glucose less than 54 mg/dL) was reported in 6.2% of WEGOVY-treated patients versus 2.5% of placebo-treated patients. One episode of severe hypoglycemia (requiring the assistance of another person) was reported in one WEGOVY-treated patient versus no placebo-treated patients.
Patients with type 2 diabetes mellitus taking WEGOVY in combination with an insulin secretagogue (e.g., sulfonylurea) or insulin may have an increased risk of hypoglycemia, including severe hypoglycemia [see Adverse Reactions (6.1)]. Hypoglycemia has been observed in patients treated with semaglutide at doses of 0.5 and 1 mg in combination with insulin. The addition of WEGOVY in patients treated with insulin has not been evaluated.
Inform patients of the risk of hypoglycemia and educate them on the signs and symptoms of hypoglycemia. In patients with type 2 diabetes, monitor blood glucose prior to starting WEGOVY and during WEGOVY treatment. When initiating WEGOVY, consider reducing the dose of concomitantly administered insulin secretagogue (such as sulfonylureas) or insulin to reduce the risk of hypoglycemia [see Drug Interactions (7)].
5.5 Acute Kidney Injury
There have been postmarketing reports of acute kidney injury and worsening of chronic renal failure, which have in some cases required hemodialysis, in patients treated with semaglutide. Patients with renal impairment may be at greater risk of acute kidney injury, but some of these events have been reported in patients without known underlying renal disease. A majority of the reported events occurred in patients who had experienced nausea, vomiting, or diarrhea, leading to volume depletion [see Adverse Reactions (6)].
Monitor renal function when initiating or escalating doses of WEGOVY in patients reporting severe adverse gastrointestinal reactions. Monitor renal function in patients with renal impairment reporting any adverse reactions that could lead to volume depletion.
5.6 Hypersensitivity
Serious hypersensitivity reactions (e.g., anaphylaxis, angioedema) have been reported with semaglutide. If hypersensitivity reactions occur, discontinue use of WEGOVY, treat promptly per standard of care, and monitor until signs and symptoms resolve. Do not use in patients with a previous hypersensitivity to semaglutide or any of the excipients in WEGOVY [see Contraindications (4)].
Anaphylaxis and angioedema have been reported with other GLP-1 receptor agonists. Use caution in a patient with a history of anaphylaxis or angioedema with another GLP-1 receptor agonist because it is unknown whether such patients will be predisposed to these reactions with WEGOVY.
5.7 Diabetic Retinopathy Complications In Patients With Type 2 Diabetes
In a trial of patients with type 2 diabetes and BMI greater than or equal to 27 kg/m2, diabetic retinopathy was reported by 4.0% of WEGOVY-treated patients and 2.7% placebo-treated patients.
In a 2-year trial with semaglutide 0.5 mg and 1 mg once-weekly injection in patients with type 2 diabetes and high cardiovascular risk, diabetic retinopathy complications (which was a 4-component adjudicated endpoint) occurred in patients treated with semaglutide injection (3.0%) compared to placebo (1.8%). The absolute risk increase for diabetic retinopathy complications was larger among patients with a history of diabetic retinopathy at baseline (semaglutide injection 8.2%, placebo 5.2%) than among patients without a known history of diabetic retinopathy (semaglutide injection 0.7%, placebo 0.4%).
Rapid improvement in glucose control has been associated with a temporary worsening of diabetic retinopathy. The effect of long-term glycemic control with semaglutide on diabetic retinopathy complications has not been studied. Patients with a history of diabetic retinopathy should be monitored for progression of diabetic retinopathy.
5.8 Heart Rate Increase
Mean increases in resting heart rate of 1 to 4 beats per minute (bpm) were observed in WEGOVY-treated patients compared to placebo in clinical trials. More patients treated with WEGOVY compared with placebo had maximum changes from baseline at any visit of 10 to 19 bpm (41% versus 34%, respectively) and 20 bpm or more (26% versus 16%, respectively).
Monitor heart rate at regular intervals consistent with usual clinical practice. Instruct patients to inform their healthcare providers of palpitations or feelings of a racing heartbeat while at rest during WEGOVY treatment. If patients experience a sustained increase in resting heart rate, discontinue WEGOVY.
5.9 Suicidal Behavior And Ideation
Suicidal behavior and ideation have been reported in clinical trials with other weight management products. Monitor patients treated with WEGOVY for the emergence or worsening of depression, suicidal thoughts or behavior, and/or any unusual changes in mood or behavior. Discontinue WEGOVY in patients who experience suicidal thoughts or behaviors. Avoid WEGOVY in patients with a history of suicidal attempts or active suicidal ideation.
6 Adverse Reactions
The following serious adverse reactions are described below or elsewhere in the prescribing information:
• Risk of Thyroid C-Cell Tumors [see Warnings and Precautions (5.1)]• Acute Pancreatitis [see Warnings and Precautions (5.2)]• Acute Gallbladder Disease [see Warnings and Precautions (5.3)]• Hypoglycemia [see Warnings and Precautions (5.4)]• Acute Kidney Injury [see Warnings and Precautions (5.5)]• Hypersensitivity [see Warnings and Precautions (5.6)]• Diabetic Retinopathy Complications in Patients with Type 2 Diabetes [see Warnings and Precautions (5.7)]• Heart Rate Increase [see Warnings and Precautions (5.8)]• Suicidal Behavior and Ideation [see Warnings and Precautions (5.9)]
6.1 Clinical Trials Experience
Because clinical trials are conducted under widely varying conditions, adverse reaction rates observed in the clinical trials of a drug cannot be directly compared to rates in the clinical studies of another drug and may not reflect the rates observed in practice.
WEGOVY was evaluated for safety in 3 randomized, double-blind, placebo-controlled trials that included 2116 patients with overweight or obesity treated with WEGOVY for up to 68 weeks and a 7 week off drug follow-up period. Baseline characteristics included a mean age of 48 years, 71% women, 72% White, 42% with hypertension, 19% with type 2 diabetes, 43% with dyslipidemia, 28% with a BMI greater than 40 kg/m2, and 4% with cardiovascular disease.
In clinical trials, 6.8% of patients treated with WEGOVY and 3.2% of patients treated with placebo permanently discontinued treatment as a result of adverse reactions. The most common adverse reactions leading to discontinuation were nausea (1.8% versus 0.2%), vomiting (1.2% versus 0%), and diarrhea (0.7% versus 0.1%) for WEGOVY and placebo, respectively.
Adverse reactions reported in greater than or equal to 2% of WEGOVY-treated patients and more frequently than in placebo-treated patients are shown in Table 3.
Table 3. Adverse Reactions Occurring in > 2% of WEGOVY-treated Patients and More Frequently than with Placebo
Placebo N = 1261 % | WEGOVY N = 2116 % | |
Nausea | 16 | 44 |
Diarrhea | 16 | 30 |
Vomiting | 6 | 24 |
Constipation | 11 | 24 |
Abdominal Paina | 10 | 20 |
Headache | 10 | 14 |
Fatigueb | 5 | 11 |
Dyspepsia | 3 | 9 |
Dizziness | 4 | 8 |
Abdominal Distension | 5 | 7 |
Eructation | <1 | 7 |
Hypoglycemia in T2DMc | 2 | 6 |
Flatulence | 4 | 6 |
Gastroenteritis | 4 | 6 |
Gastroesophageal Reflux Disease | 3 | 5 |
Gastritisd | 1 | 4 |
Gastroenteritis Viral | 3 | 4 |
Hair Loss | 1 | 3 |
aIncludes abdominal pain, abdominal pain upper, abdominal pain lower, gastrointestinal pain, abdominal tenderness, abdominal discomfort and epigastric discomfort
bIncludes fatigue and asthenia
cDefined as blood glucose <54 mg/dL with or without symptoms of hypoglycemia or severe hypoglycemia (requiring the assistance of another person) in patients with type 2 diabetes not on concomitant insulin (Study 2, WEGOVY N=403, Placebo N=402). See text below for further information regarding hypoglycemia in patients with and without type 2 diabetes. T2DM = type 2 diabetes mellitus
dIncludes chronic gastritis, gastritis, gastritis erosive, and reflux gastritis
Acute Pancreatitis
In WEGOVY clinical trials, acute pancreatitis was confirmed by adjudication in 4 WEGOVY-treated patients (0.2 cases per 100 patient years) versus 1 in placebo-treated patients (less than 0.1 cases per 100 patient years). One additional case of acute pancreatitis was confirmed in a patient treated with WEGOVY in another clinical trial.
Acute Gallbladder Disease
In WEGOVY clinical trials, cholelithiasis was reported by 1.6% of WEGOVY-treated patients and 0.7% of placebo-treated patients. Cholecystitis was reported by 0.6% of WEGOVY-treated patients and 0.2% of placebo-treated patients.
Hypoglycemia
Patients with Type 2 Diabetes
In a trial of patients with type 2 diabetes and BMI greater than or equal to 27 kg/m2, clinically significant hypoglycemia (defined as a plasma glucose less than 54 mg/dL) was reported in 6.2% of WEGOVY-treated patients versus 2.5% of placebo-treated patients. A higher rate of clinically significant hypoglycemic episodes was reported with WEGOVY (semaglutide 2.4 mg) versus semaglutide 1 mg (10.7 vs. 7.2 episodes per 100 patient years of exposure, respectively); the rate in the placebo-treated group was 3.2 episodes per 100 patient years of exposure. In addition, one episode of severe hypoglycemia requiring intravenous glucose was reported in a WEGOVY-treated patient versus none in placebo-treated patients. The risk of hypoglycemia was increased when WEGOVY was used with a sulfonylurea.
Patients without Type 2 Diabetes
Episodes of hypoglycemia have been reported with GLP-1 receptor agonists in patients without type 2 diabetes mellitus. In WEGOVY clinical trials in patients without type 2 diabetes mellitus, there was no systematic capturing or reporting of hypoglycemia.
Acute Kidney Injury
Acute kidney injury occurred in clinical trials in 7 patients (0.4 cases per 100 patient years) receiving WEGOVY versus 4 patients (0.2 cases per 100 patient years of exposure) receiving placebo. Some of these adverse reactions occurred in association with gastrointestinal adverse reactions or dehydration. In addition, 2 patients treated with WEGOVY had acute kidney injury with dehydration in other clinical trials. The risk of renal adverse reactions with WEGOVY was increased in patients with a history of renal impairment (trials included 65 patients with a history of moderate or severe renal impairment at baseline), and occurred more frequently during dose titration.
Retinal Disorders in Patients with Type 2 Diabetes
In a trial of patients with type 2 diabetes and BMI greater than or equal to 27 kg/m2, retinal disorders were reported by 6.9% of patients treated with WEGOVY (semaglutide 2.4 mg), 6.2% of patients treated with semaglutide 1 mg, and 4.2% of patients treated with placebo. The majority of events were reported as diabetic retinopathy (4.0%, 2.7%, and 2.7%, respectively) and non-proliferative retinopathy (0.7%, 0%, and 0%, respectively).
Increase in Heart Rate
Mean increases in resting heart rate of 1 to 4 beats per minute (bpm) were observed with routine clinical monitoring in WEGOVY-treated patients compared to placebo in clinical trials. In trials in which patients were randomized prior to dose-escalation, more patients treated with WEGOVY, compared with placebo, had maximum changes from baseline at any visit of 10 to 19 bpm (41% versus 34%, respectively) and 20 bpm or more (26% versus 16%, respectively).
Hypotension and Syncope
Adverse reactions related to hypotension (hypotension, orthostatic hypotension, and decreased blood pressure) were reported in 1.3% of WEGOVY-treated patients versus 0.4% of placebo-treated patients and syncope was reported in 0.8% of WEGOVY-treated patients versus 0.2% of placebo-treated patients. Some reactions were related to gastrointestinal adverse reactions and volume loss associated with WEGOVY. Hypotension and orthostatic hypotension were more frequently seen in patients on concomitant antihypertensive therapy.
Appendicitis
Appendicitis (including perforated appendicitis) occurred in 10 (0.5%) WEGOVY-treated patients and 2 (0.2%) patients receiving placebo.
Gastrointestinal Adverse Reactions
In clinical trials, 73% of WEGOVY-treated patients and 47% of patients receiving placebo reported gastrointestinal disorders. The most frequently reported reactions were nausea (44% vs. 16%), vomiting (25% vs. 6%), and diarrhea (30% vs. 16%). Other common reactions that occurred at a higher incidence among WEGOVY-treated patients included dyspepsia, abdominal pain, abdominal distension, eructation, flatulence, gastroesophageal reflux disease, gastritis, and hemorrhoids. These reactions increased during dose escalation.
Permanent discontinuation of treatment as a result of a gastrointestinal adverse reaction occurred in 4.3% of WEGOVY-treated patients versus 0.7% of placebo-treated patients.
Injection Site Reactions
In clinical trials, 1.4% of WEGOVY-treated patients and 1.0% of patients receiving placebo experienced injection site reactions (including injection site pruritus, erythema, inflammation, induration, and irritation).
Laboratory Abnormalities
Patients treated with WEGOVY had a mean increase from baseline in amylase of 16% and lipase of 39%. These changes were not observed in the placebo group. The clinical significance of elevations in lipase or amylase with WEGOVY is unknown in the absence of other signs and symptoms of pancreatitis.
6.2 Immunogenicity
Consistent with the potentially immunogenic properties of protein and peptide pharmaceuticals, patients treated with WEGOVY may develop anti-semaglutide antibodies. The detection of antibody formation is highly dependent on the sensitivity and specificity of the assay. Additionally, the observed incidence of antibody (including neutralizing antibody) positivity in an assay may be influenced by several factors including assay methodology, sample handling, timing of sample collection, concomitant medications, and underlying disease. For these reasons, the incidence of antibodies to semaglutide in the studies described below cannot be directly compared with the incidence of antibodies in other studies or to other products.
Across the clinical trials with antibody assessments, 50 (2.9%) WEGOVY-treated patients developed anti-drug antibodies (ADAs) to the active ingredient in WEGOVY (i.e., semaglutide). Of the 50 semaglutide-treated patients that developed semaglutide ADAs, 28 patients (1.6% of the total WEGOVY-treated study population) developed antibodies cross-reacting with native GLP-1. The in vitro neutralizing activity of the antibodies is uncertain at this time.
6.3 Postmarketing Experience
The following adverse reactions have been reported during post-approval use of semaglutide, the active ingredient of WEGOVY. Because these reactions are reported voluntarily from a population of uncertain size, it is not always possible to reliably estimate their frequency or establish a causal relationship to drug exposure.
Gastrointestinal Disorders: acute pancreatitis and necrotizing pancreatitis, sometimes resulting in death
Hypersensitivity: anaphylaxis, angioedema, rash, urticaria
Renal and Urinary Disorders: acute kidney injury
7.1 Concomitant Use With An Insulin Secretagogue (E.G., Sulfonylurea) Or Insulin
WEGOVY lowers blood glucose and can cause hypoglycemia. The risk of hypoglycemia is increased when WEGOVY is used in combination with insulin secretagogues (e.g., sulfonylureas) or insulin. The addition of WEGOVY in patients treated with insulin has not been evaluated.
When initiating WEGOVY, consider reducing the dose of concomitantly administered insulin secretagogue (such as sulfonylureas) or insulin to reduce the risk of hypoglycemia [see Warnings and Precautions (5.4) and Adverse Reactions (6.1)].
7.2 Oral Medications
WEGOVY causes a delay of gastric emptying and thereby has the potential to impact the absorption of concomitantly administered oral medications. In clinical pharmacology trials with semaglutide 1 mg, semaglutide did not affect the absorption of orally administered medications [see Clinical Pharmacology (12.3)]. Nonetheless, monitor the effects of oral medications concomitantly administered with WEGOVY.
8.1 Pregnancy
Pregnancy Exposure Registry
There will be a pregnancy exposure registry that monitors pregnancy outcomes in women exposed to semaglutide during pregnancy. Pregnant women exposed to WEGOVY and healthcare providers are encouraged to contact Novo Nordisk at 1-800-727-6500.
Risk Summary
Based on animal reproduction studies, there may be potential risks to the fetus from exposure to semaglutide during pregnancy. Additionally, weight loss offers no benefit to a pregnant patient and may cause fetal harm. When a pregnancy is recognized, advise the pregnant patient of the risk to a fetus, and discontinue WEGOVY (see Clinical Considerations). Available pharmacovigilance data and data from clinical trials with WEGOVY use in pregnant patients are insufficient to establish a drug-associated risk of major birth defects, miscarriage or adverse maternal or fetal outcomes.
In pregnant rats administered semaglutide during organogenesis, embryofetal mortality, structural abnormalities and alterations to growth occurred at maternal exposures below the maximum recommended human dose (MRHD) based on AUC. In rabbits and cynomolgus monkeys administered semaglutide during organogenesis, early pregnancy losses and structural abnormalities were observed at below the MRHD (rabbit) and greater than or equal to 2-fold the MRHD (monkey). These findings coincided with a marked maternal body weight loss in both animal species (see Data).
The estimated background risk of major birth defects and miscarriage for the indicated population are unknown. In the U.S. general population, the estimated background risk of major birth defects and miscarriage in clinically recognized pregnancies is 2-4% and 15-20%, respectively.
Clinical Considerations
Disease-associated maternal and/or embryo/fetal risk
Appropriate weight gain based on pre-pregnancy weight is currently recommended for all pregnant patients, including those who already have overweight or obesity, because of the obligatory weight gain that occurs in maternal tissues during pregnancy.
Data
Animal Data
In a combined fertility and embryofetal development study in rats, subcutaneous doses of 0.01, 0.03 and 0.09 mg/kg/day (0.04-, 0.1-, and 0.4-fold the MRHD) were administered to males for 4 weeks prior to and throughout mating and to females for 2 weeks prior to mating, and throughout organogenesis to Gestation Day 17. In parental animals, pharmacologically mediated reductions in body weight gain and food consumption were observed at all dose levels. In the offspring, reduced growth and fetuses with visceral (heart blood vessels) and skeletal (cranial bones, vertebra, ribs) abnormalities were observed at the human exposure.
In an embryofetal development study in pregnant rabbits, subcutaneous doses of 0.0010, 0.0025 or 0.0075 mg/kg/day (0.01-, 0.1-, and 0.9-fold the MRHD) were administered throughout organogenesis from Gestation Day 6 to 19. Pharmacologically mediated reductions in maternal body weight gain and food consumption were observed at all dose levels. Early pregnancy losses and increased incidences of minor visceral (kidney, liver) and skeletal (sternebra) fetal abnormalities were observed at greater than or equal to 0.0025 mg/kg/day, at clinically relevant exposures.
In an embryofetal development study in pregnant cynomolgus monkeys, subcutaneous doses of 0.015, 0.075, and 0.15 mg/kg twice weekly (0.4-, 2-, and 6-fold the MRHD) were administered throughout organogenesis, from Gestation Day 16 to 50. Pharmacologically mediated, marked initial maternal body weight loss and reductions in body weight gain and food consumption coincided with the occurrence of sporadic abnormalities (vertebra, sternebra, ribs) at greater than or equal to 0.075 mg/kg twice weekly (greater than or equal to 2 times human exposure).
In a pre- and postnatal development study in pregnant cynomolgus monkeys, subcutaneous doses of 0.015, 0.075, and 0.15 mg/kg twice weekly (0.2-, 1-, and 3-fold the MRHD) were administered from Gestation Day 16 to 140. Pharmacologically mediated marked initial maternal body weight loss and reductions in body weight gain and food consumption coincided with an increase in early pregnancy losses and led to delivery of slightly smaller offspring at greater than or equal to 0.075 mg/kg twice weekly (greater than or equal to 1 time human exposure).
8.2 Lactation
Risk Summary
There are no data on the presence of semaglutide or its metabolites in human milk, the effects on the breastfed infant, or the effects on milk production. Semaglutide was present in the milk of lactating rats. When a drug is present in animal milk, it is likely that the drug will be present in human milk (see Data). The developmental and health benefits of breastfeeding should be considered along with the mother’s clinical need for WEGOVY and any potential adverse effects on the breastfed infant from WEGOVY or from the underlying maternal condition.
Data
In lactating rats, semaglutide was detected in milk at levels 3-12 fold lower than in maternal plasma.
8.3 Females And Males Of Reproductive Potential
Because of the potential for fetal harm, discontinue WEGOVY in patients at least 2 months before they plan to become pregnant to account for the long half-life of semaglutide [see Use in Specific Populations (8.1)].
8.4 Pediatric Use
Safety and efficacy of WEGOVY have not been established in pediatric patients.
8.5 Geriatric Use
In the WEGOVY clinical trials, 233 (8.8%) WEGOVY-treated patients were between 65 and 75 years of age and 23 (0.9%) WEGOVY-treated patients were 75 years of age and over. No overall differences in safety or efficacy were detected between these patients and younger patients, but greater sensitivity of some older individuals cannot be ruled out.
8.6 Renal Impairment
No dose adjustment of WEGOVY is recommended for patients with renal impairment. In a study in subjects with renal impairment, including end-stage renal disease, no clinically relevant change in semaglutide pharmacokinetics was observed [see Clinical Pharmacology (12.3)].
8.7 Hepatic Impairment
No dose adjustment of WEGOVY is recommended for patients with hepatic impairment. In a study in subjects with different degrees of hepatic impairment, no clinically relevant change in semaglutide pharmacokinetics was observed [see Clinical Pharmacology (12.3)].
10 Overdosage
Overdoses have been reported with other GLP-1 receptor agonists. Effects have included severe nausea, severe vomiting, and severe hypoglycemia. In the event of overdose, appropriate supportive treatment should be initiated according to the patient’s clinical signs and symptoms. A prolonged period of observation and treatment for these symptoms may be necessary, taking into account the long half-life of WEGOVY of approximately 1 week.
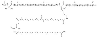
11 Description
WEGOVY (semaglutide) injection, for subcutaneous use, contains semaglutide, a human GLP-1 receptor agonist (or GLP-1 analog). The peptide backbone is produced by yeast fermentation. The main protraction mechanism of semaglutide is albumin binding, facilitated by modification of position 26 lysine with a hydrophilic spacer and a C18 fatty di-acid. Furthermore, semaglutide is modified in position 8 to provide stabilization against degradation by the enzyme dipeptidyl-peptidase 4 (DPP-4). A minor modification was made in position 34 to ensure the attachment of only one fatty di-acid. The molecular formula is C187H291N45O59 and the molecular weight is 4113.58 g/mol.
Figure 1. Structural Formula of semaglutide
WEGOVY is a sterile, aqueous, clear, colorless solution. Each 0.5 mL single-dose pen contains a solution of WEGOVY containing 0.25 mg, 0.5 mg or 1 mg of semaglutide; and each 0.75 mL single-dose pen contains a solution of WEGOVY containing 1.7 or 2.4 mg of semaglutide. Each 1 mL of WEGOVY contains the following inactive ingredients: disodium phosphate dihydrate, 1.42 mg; sodium chloride, 8.25 mg; and water for injection. WEGOVY has a pH of approximately 7.4. Hydrochloric acid or sodium hydroxide may be added to adjust pH.
12.1 Mechanism Of Action
Semaglutide is a GLP-1 analogue with 94% sequence homology to human GLP-1. Semaglutide acts as a GLP-1 receptor agonist that selectively binds to and activates the GLP-1 receptor, the target for native GLP-1.
GLP-1 is a physiological regulator of appetite and caloric intake, and the GLP-1 receptor is present in several areas of the brain involved in appetite regulation. Animal studies show that semaglutide distributed to and activated neurons in brain regions involved in regulation of food intake.
12.2 Pharmacodynamics
Semaglutide lowers body weight through decreased calorie intake. The effects are likely mediated by affecting appetite.
As with other GLP-1 receptor agonists, semaglutide stimulates insulin secretion and reduces glucagon secretion in a glucose-dependent manner. These effects can lead to a reduction of blood glucose.
Cardiac electrophysiology (QTc)
The effect of semaglutide on cardiac repolarization was tested in a thorough QTc trial. Semaglutide did not prolong QTc intervals at doses up to 1.5 mg at steady state.
12.3 Pharmacokinetics
Absorption
Absolute bioavailability of semaglutide is 89%. Maximum concentration of semaglutide is reached 1 to 3 days post dose.
Similar exposure was achieved with subcutaneous administration of semaglutide in the abdomen, thigh, or upper arm.
The average semaglutide steady state concentration following subcutaneous administration of WEGOVY was approximately 75 nmol/L in patients with either obesity (BMI greater than or equal to 30 kg/m2) or overweight (BMI greater than or equal to 27 kg/m2). The steady state exposure of WEGOVY increased proportionally with doses up to 2.4 mg once-weekly.
Distribution
The mean volume of distribution of semaglutide following subcutaneous administration in patients with obesity or overweight is approximately 12.5 L. Semaglutide is extensively bound to plasma albumin (greater than 99%) which results in decreased renal clearance and protection from degradation.
Elimination
The apparent clearance of semaglutide in patients with obesity or overweight is approximately 0.05 L/h.
With an elimination half-life of approximately 1 week, semaglutide will be present in the circulation
for about 5 to 7 weeks after the last dose of 2.4 mg.
Metabolism
The primary route of elimination for semaglutide is metabolism following proteolytic cleavage of the peptide backbone and sequential beta-oxidation of the fatty acid sidechain.
Excretion
The primary excretion routes of semaglutide-related material are via the urine and feces. Approximately 3% of the dose is excreted in the urine as intact semaglutide.
Special Populations
The effects of intrinsic factors on the pharmacokinetics of semaglutide are shown in Figure 2.
Figure 2. Impact of intrinsic factors on semaglutide exposure Figure 3. Impact of semaglutide 1 mg on the pharmacokinetics of co-administered medications
Data are steady-state dose-normalized average semaglutide exposures relative to a reference subject profile (non-Hispanic or Latino, white female aged 18 to less than 65 years, with a body weight of 110 kg and normal renal function, who injected in the abdomen). Body weight categories (74 and 143 kg) represent the 5% and 95% percentiles in the dataset.
Renal Impairment
Renal impairment did not impact the exposure of semaglutide in a clinically relevant manner. The pharmacokinetics of semaglutide were evaluated following a single dose of 0.5 mg semaglutide in a study of patients with different degrees of renal impairment (mild, moderate, severe, or ESRD) compared with subjects with normal renal function. The pharmacokinetics were also assessed in subjects with overweight (BMI 27-29.9 kg/m2) or obesity (BMI greater than or equal to 30 kg/m2) and mild to moderate renal impairment, based on data from clinical trials.
Hepatic Impairment
Hepatic impairment did not impact the exposure of semaglutide. The pharmacokinetics of semaglutide were evaluated following a single dose of 0.5 mg semaglutide in a study of patients with different degrees of hepatic impairment (mild, moderate, severe) compared with subjects with normal hepatic function.
Drug Interactions
In vitro studies have shown very low potential for semaglutide to inhibit or induce CYP enzymes, or to inhibit drug transporters.
The delay of gastric emptying with semaglutide may influence the absorption of concomitantly administered oral medications [see Drug Interactions (7.2)]. The potential effect of semaglutide on the absorption of co-administered oral medications was studied in trials at semaglutide 1 mg steady-state exposure. No clinically relevant drug-drug interactions with semaglutide (Figure 3) were observed based on the evaluated medications. In a separate study, no apparent effect on the rate of gastric emptying was observed with semaglutide 2.4 mg.
Relative exposure in terms of AUC and Cmax for each medication when given with semaglutide compared to without semaglutide. Metformin and oral contraceptive drug (ethinylestradiol/levonorgestrel) were assessed at steady state. Warfarin (S-warfarin/R-warfarin), digoxin and atorvastatin were assessed after a single dose.
Abbreviations: AUC: area under the curve, Cmax: maximum concentration, CI: confidence interval.
13.1 Carcinogenesis, Mutagenesis, Impairment Of Fertility
In a 2-year carcinogenicity study in CD-1 mice, subcutaneous doses of 0.3, 1 and 3 mg/kg/day (2-, 8-, and 22-fold the maximum recommended human dose [MRHD] of 2.4 mg/week, based on AUC) were administered to the males, and 0.1, 0.3 and 1 mg/kg/day (0.6-, 2-, and 5-fold MRHD) were administered to the females. A statistically significant increase in thyroid C-cell adenomas and a numerical increase in C-cell carcinomas were observed in males and females at all dose levels (greater than or equal to 0.6 times human exposure).
In a 2-year carcinogenicity study in Sprague Dawley rats, subcutaneous doses of 0.0025, 0.01, 0.025 and 0.1 mg/kg/day were administered (below quantification, 0.2-, 0.4-, and 2-fold the exposure at the MRHD). A statistically significant increase in thyroid C-cell adenomas was observed in males and females at all dose levels, and a statistically significant increase in thyroid C-cell carcinomas was observed in males at greater than or equal to 0.01 mg/kg/day, at clinically relevant exposures.
Human relevance of thyroid C-cell tumors in rats is unknown and could not be determined by clinical studies or nonclinical studies [see Boxed Warning and Warnings and Precautions (5.1)]. Semaglutide was not mutagenic or clastogenic in a standard battery of genotoxicity tests (bacterial mutagenicity [Ames] human lymphocyte chromosome aberration, rat bone marrow micronucleus).
In a combined fertility and embryo-fetal development study in rats, subcutaneous doses of 0.01, 0.03 and 0.09 mg/kg/day (0.04-, 0.1-, and 0.4-fold the MRHD) were administered to male and female rats. Males were dosed for 4 weeks prior to mating, and females were dosed for 2 weeks prior to mating and throughout organogenesis until Gestation Day 17. No effects were observed on male fertility. In females, an increase in estrus cycle length was observed at all dose levels, together with a small reduction in numbers of corpora lutea at greater than or equal to 0.03 mg/kg/day. These effects were likely an adaptive response secondary to the pharmacological effect of semaglutide on food consumption and body weight.
14 Clinical Studies
Overview of Clinical Studies
The safety and efficacy of WEGOVY for chronic weight management (weight loss and maintenance) in conjunction with a reduced calorie diet and increased physical activity were studied in three 68-week, randomized, double-blind, placebo-controlled trials and one 68-week, randomized, double-blind, placebo withdrawal trial. In Studies 1, 2, and 3, WEGOVY or matching placebo was escalated to 2.4 mg subcutaneous weekly during a 16-week period followed by 52 weeks on maintenance dose. In Study 4, WEGOVY was escalated during a 20-week run-in period, and patients who reached WEGOVY 2.4 mg after the run-in period were randomized to either continued treatment with WEGOVY or placebo for 48 weeks.
In Studies 1, 2 and 4, all patients received instruction for a reduced calorie meal diet (approximately 500 kcal/day deficit) and increased physical activity counseling (recommended to a minimum of 150 min/week) that began with the first dose of study medication or placebo and continued throughout the trial. In Study 3, patients received an initial 8-week low-calorie diet (total energy intake 1000 to 1200 kcal/day) followed by 60 weeks of a reduced calorie diet (1200-1800 kcal/day) and increased physical activity (100 mins/week with gradual increase to 200 mins/week).
Study 1 was a 68-week trial that enrolled 1961 patients with obesity (BMI greater than or equal to 30 kg/m2) or with overweight (BMI 27-29.9 kg/m2) and at least one weight-related comorbid condition, such as treated or untreated dyslipidemia or hypertension; patients with type 2 diabetes mellitus were excluded. Patients were randomized in a 2:1 ratio to either WEGOVY or placebo. At baseline, mean age was 46 years (range 18-86), 74.1% were women, 75.1% were White, 13.3% were Asian and 5.7% were Black or African American. A total of 12.0% were Hispanic or Latino. Mean baseline body weight was 105.3 kg and mean BMI was 37.9 kg/m2.
Study 2 was a 68-week trial that enrolled 807 patients with type 2 diabetes and BMI greater than or equal to 27 kg/m2. Patients included in the trial had HbA1c 7-10% and were treated with either: diet and exercise alone or 1 to 3 oral anti‑diabetic drugs (metformin, sulfonylurea, glitazone or sodium-glucose co-transporter 2 inhibitor). Patients were randomized in a 1:1 ratio to receive either WEGOVY or placebo. At baseline, the mean age was 55 years (range 19-84), 50.9% were women, 62.1% were White, 26.2% were Asian and 8.3% were Black or African American. A total of 12.8% were Hispanic or Latino. Mean baseline body weight was 99.8 kg and mean BMI was 35.7 kg/m2.
Study 3 was a 68-week trial that enrolled 611 patients with obesity (BMI greater than or equal to 30 kg/m2) or with overweight (BMI 27-29.9 kg/m2) and at least one weight-related comorbid condition such as treated or untreated dyslipidemia or hypertension; patients with type 2 diabetes mellitus were excluded. The patients were randomized in a 2:1 ratio to receive either WEGOVY or placebo. At baseline, the mean age was 46 years, 81.0% were women, 76.1% were White, 19.0% were Black or African American and 1.8% were Asian. A total of 19.8% were Hispanic or Latino. Mean baseline body weight was 105.8 kg and mean BMI was 38.0 kg/m2.
Study 4 was a 68-week trial that enrolled 902 patients with obesity (BMI greater than or equal to 30 kg/m2) or with overweight (BMI 27-29.9 kg/m2) and at least one weight-related comorbid condition such as treated or untreated dyslipidemia or hypertension; patients with type 2 diabetes mellitus were excluded. Mean body weight at baseline for the 902 patients was 106.8 kg and mean BMI was 38.3 kg/m². All patients received WEGOVY during the run-in period of 20 weeks that included 16 weeks of dose escalation. Trial product was permanently discontinued before randomization in 99 of 902 patients (11%); the most common reason was adversereactions (n=48, 5.3%); 803 patients reached WEGOVY 2.4 mg and were then randomized in a 2:1 ratio to either continue on WEGOVY or receive placebo. Among the 803 randomized patients, the mean age was 46 years, 79% were women, 83.7% were White, 13% were Black or African American, and 2.4% Asian. A total of 7.8% were Hispanic or Latino. Mean body weight at randomization (week 20) was 96.1 kg and mean BMI at randomization (week 20) was 34.4 kg/m2.
The proportions of patients who discontinued study drug in Studies 1, 2, and 3 was 16.0% for the WEGOVY-treated group and 19.1% for the placebo-treated group, and 6.8% of patients treated with WEGOVY and 3.2% of patients treated with placebo discontinued treatment due to an adverse reaction [see Adverse Reactions (6.1)]. In Study 4, the proportions of patients who discontinued study drug were 5.8% and 11.6% for WEGOVY and placebo, respectively.
14.1 Weight Management Studies In Adults With Overweight Or Obesity
For Studies 1, 2 and 3, the primary efficacy parameters were mean percent change in body weight and the percentages of patients achieving greater than or equal to 5% weight loss from baseline to week 68.
After 68 weeks, treatment with WEGOVY resulted in a statistically significant reduction in body weight compared with placebo. Greater proportions of patients treated with WEGOVY achieved 5%, 10% and 15% weight loss than those treated with placebo as shown in Table 4.
Table 4. Changes in Body Weight at Week 68 in Studies 1, 2 and 3
| Study 1 (Obesity or overweight with comorbidity) | Study 2 (Type 2 diabetes with obesity or overweight) | Study 3 (Obesity or overweight with comorbidity undergoing intensive lifestyle therapy) | ||||
|---|---|---|---|---|---|---|
| Intention-to-Treata | PLACEBO N = 655 | WEGOVY N = 1306 | PLACEBO N = 403 | WEGOVY N = 404 | PLACEBO N = 204 | WEGOVY N = 407 |
Body Weight | ||||||
Baseline mean (kg) | 105.2 | 105.4 | 100.5 | 99.9 | 103.7 | 106.9 |
| -2.4 | -14.9 | -3.4 | -9.6 | -5.7 | -16.0 |
| -12.4 | -6.2 | -10.3 | |||
| 31.1 | 83.5 | 30.2 | 67.4 | 47.8 | 84.8 |
| 52.4 (48.1; 56.7)* | 37.2 (30.7; 43.8)* | 37.0 (28.9; 45.2)* | |||
| 12.0 | 66.1 | 10.2 | 44.5 | 27.1 | 73.0 |
| 54.1 (50.4; 57.9)* | 34.3 (28.4; 40.2)* | 45.9 (38.0; 53.7)* | |||
| 4.8 | 47.9 | 4.3 | 25.1 | 13.2 | 53.4 |
| 43.1 (39.8; 46.3)* | 20.7 (15.7; 25.8)* | 40.2 (33.1; 47.3)* | |||
LSMean = least squares mean; CI = confidence interval
aThe intent-to-treat population includes all randomized patients. In Study 1, at week 68, the body weight was missing for 7.2% and 11.9% of patients randomized to WEGOVY and placebo, respectively. In Study 2, at week 68, the body weight was missing for 4.0% and 6.7% of patients randomized to WEGOVY and placebo, respectively. In Study 3, at week 68, the body weight was missing for 8.4% and 7.4% of patients randomized to WEGOVY and placebo, respectively. Missing data were imputed from retrieved subjects of the same randomized treatment arm (RD-MI).
* p<0.0001 (unadjusted 2-sided) for superiority.
For Study 4, the primary efficacy parameter was mean percent change in body weight from randomization (week 20) to week 68.
From randomization (week 20) to week 68, treatment with WEGOVY resulted in a statistically significant reduction in body weight compared with placebo (Table 5). Because patients who discontinued WEGOVY during titration and those who did not reach the 2.4 mg weekly dose were not eligible for the randomized treatment period, the results may not reflect the experience of patients in the general population who are first starting WEGOVY.
Table 5. Changes in Body Weight at Week 68 - Study 4 (Obesity or overweight with comorbidity after 20 week run-in)
WEGOVY N = 803a | ||
Body Weight (only randomized patients) | ||
Mean at week 0 (kg) | 107.2 | |
PLACEBO N = 268 | WEGOVY N = 535 | |
Body Weight | ||
Mean at week 20 (SD) (kg) | 95.4 (22.7) | 96.5 (22.5) |
% change from week 20 at week 68 (LSMean) | 6.9 | -7.9 |
% difference from placebo (LSMean) (95% CI) | -14.8 (-16.0; -13.5)* | |
LSMean = least squares mean; CI = confidence interval
a902 patients were enrolled at week 0 with a mean baseline body weight of 106.8 kg. The intent-to-treat population includes all randomized patients. At week 68, the body weight was missing for 2.8% and 6.7% of patients randomized to WEGOVY and placebo, respectively. Missing data were imputed from retrieved subjects of the same randomized treatment arm (RD-MI).
*p<0.001 (unadjusted 2-sided) for superiority, controlled for multiplicity.
A reduction in body weight was observed with WEGOVY irrespective of age, sex, race, ethnicity, BMI at baseline, body weight (kg) at baseline, and level of renal function impairment.
The cumulative frequency distributions of change in body weight are shown in Figure 4 and Figure 5 for Studies 1 and 2. One way to interpret this figure is to select a change in body weight of interest on the horizontal axis and note the corresponding proportions of patients (vertical axis) in each treatment group who achieved at least that degree of weight loss. For example, note that the vertical line arising from ‑10% in Study 1 intersects the WEGOVY and placebo curves at approximately 66%, and 12%, respectively, which correspond to the values shown in Table 4.
Figure 4. Change in body weight (%) from baseline to week 68 (Study 1)
Observed data from in-trial period including imputed data for missing observations (RD-MI).
Figure 5. Change in body weight (%) from baseline to week 68 (Study 2)
Observed data from in-trial period including imputed data for missing observations (RD-MI).
The time courses of weight loss with WEGOVY and placebo from baseline through week 68 are depicted in Figures 6 and Figure 7.
Figure 6. Change from baseline (%) in body weight (Study 1 on left and Study 2 on right)
Observed values for patients completing each scheduled visit, and estimates with multiple imputations from retrieved dropouts (RD-MI)
Figure 7. Change from baseline (%) in body weight (Study 3 on left and Study 4a on right)
Observed values for patients completing each scheduled visit, and estimates with multiple imputations from retrieved dropouts (RD-MI)
aChange from week 0 was not a primary endpoint in study 4. Dotted line indicates time of randomization. Randomized patients (shown) do not include 99 patients that discontinued during the 20 week run-in period.
14.2 Effect Of Wegovy On Anthropometry And Cardiometabolic Parameters
Changes in waist circumference and cardiometabolic parameters with WEGOVY are shown in Table 6 for Studies 1, 2, and 3 and in Table 7 for Study 4, respectively.
Table 6. Changes in Anthropometry and Cardiometabolic Parameters at Week 68 in Studies 1, 2 and 3 Baseline Changes from baseline (LSMean1) Difference from placebo (LSMean) Baseline Changes from baseline (LSMean1) Difference from placebo (LSMean) Baseline Changes from baseline (LSMean1) Difference from placebo (LSMean) Baseline Changes from baseline (LSMean) Difference from placebo (LSMean) Baseline Changes from baseline (LSMean1) Difference from placebo (LSMean) Baseline Percent Change from baseline (LSMean1) Relative difference from placebo (LSMean) Baseline Percent Change from baseline (LSMean1) Relative difference from placebo (LSMean) Baseline Percent Change from baseline (LSMean1) Relative difference from placebo (LSMean) Baseline Percent Change from baseline (LSMean1) Relative difference from placebo (LSMean) Table 7. Mean Changes in Anthropometry and Cardiometabolic Parameters in Study 4 (Obesity or overweight with comorbidity after 20 week run-in)
| Study 1 (Obesity or overweight with comorbidity) | Study 2 (Type 2 diabetes with obesity or overweight) | Study 3 (Obesity or overweight with comorbidity undergoing intensive lifestyle therapy) | ||||
|---|---|---|---|---|---|---|
| Intention-to-Treat | PLACEBO N = 655 | WEGOVY N = 1306 | PLACEBO N = 403 | WEGOVY N = 404 | PLACEBO N = 204 | WEGOVY N = 407 |
Waist Circumference (cm) | 114.8 -4.1 | 114.6 -13.5 -9.4 | 115.5 -4.5 | 114.5 -9.4 -4.9 | 111.8 -6.3 | 113.6 -14.6 -8.3 |
Systolic Blood Pressure (mmHg) | 127 -1.1 | 126 -6.2 -5.1 | 130 -0.5 | 130 -3.9 -3.4 | 124 -1.6 | 124 -5.6 -3.9 |
Diastolic Blood Pressure (mmHg)2 | 80 -0.4 | 80 -2.8 -2.4 | 80 -0.9 | 80 -1.6 -0.7 | 81 -0.8 | 80 -3.0 -2.2 |
Heart Rate2,3 | 72 -0.7 | 72 3.5 4.3 | 76 -0.2 | 75 2.5 2.7 | 71 2.1 | 71 3.1 1.0 |
HbA1c (%)2 | 5.7 -0.2 | 5.7 -0.4 -0.3 | 8.1 -0.4 | 8.1 -1.6 -1.2 | 5.8 -0.3 | 5.7 -0.5 -0.2 |
Total Cholesterol (mg/dL)2* | 192.1 0.1 | 189.6 -3.3 -3.3 | 170.8 -0.5 | 170.8 -1.4 -0.9 | 188.7 2.1 | 185.4 -3.9 -5.8 |
LDL Cholesterol (mg/dL)2* | 112.5 1.3 | 110.3 -2.5 -3.8 | 90.1 0.1 | 90.1 0.5 0.4 | 111.8 2.6 | 107.7 -4.7 -7.1 |
HDL (mg/dL)2* | 49.5 1.4 | 49.4 5.2 3.8 | 43.8 4.1 | 44.7 6.9 2.7 | 50.9 5.0 | 51.6 6.5 1.5 |
Triglycerides (mg/dL)2* | 127.9 -7.3 | 126.2 -21.9 -15.8 | 159.5 -9.4 | 154.9 -22.0 -13.9 | 110.9 -6.5 | 107.9 -22.5 -17.0 |
Missing data were imputed from retrieved subjects of the same randomized treatment arm (RD-MI)
1Model based estimates based on an analysis of covariance model including treatment (and stratification factors for Study 2 only) as a factor and baseline value as a covariate
2Not included in the pre-specified hierarchical testing (except HbA1c for Study 2)
3Model based estimates based on a mixed model for repeated measures including treatment (and stratification factors for Study 2 only) as a factor and baseline values as a covariate
*Baseline value is the geometric mean
PLACEBO N = 268 | WEGOVY N = 535 | ||||
Randomization (week 20) | Change from Randomization (LSMean1) | Randomization (week 20) | Change from Randomization (week 20) to week 68 (LSMean1) | Difference from placebo (LSMean) | |
Waist Circumference (cm) | 104.7 | 3.3 | 105.5 | -6.4 | -9.7 |
Systolic Blood Pressure (mmHg) | 121 | 4.4 | 121 | 0.5 | -3.9 |
Diastolic Blood Pressure (mmHg)2 | 78 | 0.9 | 78 | 0.3 | -0.5 |
Heart Rate2,3 | 76 | -5.3 | 76 | -2.0 | 3.3 |
HbA1c (%)2 | 5.4 | 0.1 | 5.4 | -0.1 | -0.2 |
Randomization (week 20) | % Change from Randomization (week 20) (LSMean1) | Randomization (week 20) | % Change from Randomization (week 20) (LSMean1) | Relative difference from placebo (LSMean) | |
Total Cholesterol (mg/dL)2* | 175.1 | 11.4 | 175.9 | 4.9 | -5.8 |
LDL Cholesterol (mg/dL)2* | 109.1 | 7.6 | 108.7 | 1.1 | -6.1 |
HDL Cholesterol (mg/dL)2* | 43.6 | 17.8 | 44.5 | 18.2 | 0.3 |
Triglycerides (mg/dL)2* | 95.3 | 14.8 | 98.1 | -5.6 | -17.8 |
Missing data were imputed from retrieved subjects of the same randomized treatment arm (RD-MI)
1Model based estimates based on an analysis of covariance model including treatment as a factor and baseline value as a covariate
2Not included in the pre-specified hierarchical testing
3Model based estimates based on a mixed model for repeated measures including treatment as a factor and baseline values as a covariate
*Baseline value is the geometric mean
14.3 Cardiovascular Outcomes Trial Of Semaglutide 0.5 Mg And 1 Mg In Patients With Type 2 Diabetes And Cardiovascular Disease
Semaglutide 0.5 mg and 1 mg (OZEMPIC®) are used in the treatment of type 2 diabetes mellitus in adults. The efficacy of semaglutide at doses of 0.5 mg and 1 mg have not been established for chronic weight management.
SUSTAIN 6 was a 104-week, double-blind trial in which 3297 patients with type 2 diabetes and atherosclerotic cardiovascular disease were randomized to semaglutide 0.5 mg once-weekly, semaglutide 1 mg once-weekly, or placebo in addition to standard-of-care for a median study observation time of 2.1 years. In total, 2,735 (83%) of the patients had a history of cardiovascular disease and 562 (17%) were at high risk but without known cardiovascular disease. The mean age at baseline was 65 years, and 61% were men. Overall, 83% were White, 7% were Black or African American, and 8% were Asian. A total of 16% were identified as Hispanic or Latino.
In total, 98.0% of the patients completed the trial and the vital status was known at the end of the trial for 99.6%. The primary composite endpoint was the time from randomization to first occurrence of a major adverse cardiovascular event (MACE): cardiovascular death, non-fatal myocardial infarction or non-fatal stroke. The total number of primary component MACE endpoints was 254 (108 [6.6%] with semaglutide and 146 [8.9%] with placebo). No increased risk for MACE was observed with semaglutide 0.5 mg and 1 mg.
16 How Supplied/Storage And Handling
How Supplied
WEGOVY injection is a clear, colorless solution in a pre-filled, disposable, single-dose pen-injector with an integrated needle in the following packaging configurations:
Total Strength per Total Volume | Dose per Pen | Carton Contents | NDC |
0.25 mg/0.5 mL | 1 dose of 0.25 mg | 4 pens | 0169-4525-14 |
0.5 mg/0.5 mL | 1 dose of 0.5 mg | 4 pens | 0169-4505-14 |
1 mg/0.5 mL | 1 dose of 1 mg | 4 pens | 0169-4501-14 |
1.7 mg/0.75 mL | 1 dose of 1.7 mg | 4 pens | 0169-4517-14 |
2.4 mg/0.75 mL | 1 dose of 2.4 mg | 4 pens | 0169-4524-14 |
Recommended Storage
Store the WEGOVY single-dose pen in the refrigerator from 2°C to 8°C (36°F to 46°F). If needed, prior to cap removal, the pen can be kept from 8°C to 30°C (46°F to 86°F) up to 28 days. Do not freeze. Protect WEGOVY from light. WEGOVY must be kept in the original carton until time of administration. Discard the WEGOVY pen after use.
17 Patient Counseling Information
Advise the patient to read the FDA-approved patient labeling (Medication Guide and Instructions for Use).
Risk of Thyroid C-cell Tumors
Inform patients that semaglutide causes thyroid C-cell tumors in rodents and that the human relevance of this finding has not been determined. Counsel patients to report symptoms of thyroid tumors (e.g., a lump in the neck, hoarseness, dysphagia, or dyspnea) to their physician [see Boxed Warning and Warnings and Precautions (5.1)].
Acute Pancreatitis
Inform patients of the potential risk for acute pancreatitis. Instruct patients to discontinue WEGOVY promptly and contact their physician if pancreatitis is suspected (severe abdominal pain that may radiate to the back, and which may or may not be accompanied by vomiting) [see Warnings and Precautions (5.2)].
Acute Gallbladder Disease
Inform patients of the risk of acute gallbladder disease. Advise patients that substantial or rapid weight loss can increase the risk of gallbladder disease, but that gallbladder disease may also occur in the absence of substantial or rapid weight loss. Instruct patients to contact their healthcare provider for appropriate clinical follow-up if gallbladder disease is suspected [see Warnings and Precautions (5.3)].
Hypoglycemia
Inform patients of the risk of hypoglycemia and educate patients on the signs and symptoms of hypoglycemia. Advise patients with type 2 diabetes mellitus on glycemic lowering therapy that they may have an increased risk of hypoglycemia when using WEGOVY and to report signs and/or symptoms of hypoglycemia to their healthcare provider [see Warnings and Precautions (5.4)].
Dehydration and Renal Impairment
Advise patients treated with WEGOVY of the potential risk of dehydration due to gastrointestinal adverse reactions and take precautions to avoid fluid depletion. Inform patients of the potential risk for worsening renal function and explain the associated signs and symptoms of renal impairment, as well as the possibility of dialysis as a medical intervention if renal failure occurs [see Warnings and Precautions (5.5)].
Hypersensitivity
Inform patients that serious hypersensitivity reactions have been reported during postmarketing use of semaglutide, the active ingredient in WEGOVY. Advise patients on the symptoms of hypersensitivity reactions and instruct them to stop taking WEGOVY and seek medical advice promptly if such symptoms occur [see Warnings and Precautions (5.6)].
Diabetic Retinopathy Complications in Patients with Type 2 Diabetes
Inform patients with type 2 diabetes to contact their physician if changes in vision are experienced during treatment with WEGOVY [see Warnings and Precautions (5.7)].
Heart Rate Increase
Instruct patients to inform their healthcare providers of palpitations or feelings of a racing heartbeat while at rest during WEGOVY treatment [see Warnings and Precautions (5.8)].
Suicidal Behavior and Ideation
Advise patients to report emergence or worsening of depression, suicidal thoughts or behavior, and/or any unusual changes in mood or behavior. Inform patients that if they experience suicidal thoughts or behaviors, they should stop taking WEGOVY [see Warnings and Precautions (5.9)].
Pregnancy
WEGOVY may cause fetal harm. Advise patients to inform their healthcare provider of a known or suspected pregnancy. Advise patients who are exposed to WEGOVY during pregnancy to contact Novo Nordisk at 1-800-727-6500 [see Use in Specific Populations (8.1)].
Manufactured by:
Novo Nordisk A/S
DK-2880 Bagsvaerd
Denmark
For information about WEGOVY contact:
Novo Nordisk Inc.
800 Scudders Mill Road
Plainsboro, NJ 08536
1-833-934-6891
Date of Issue: June 2021
Version: 1
WEGOVY™ is a trademark of Novo Nordisk A/S and Ozempic® is a registered trademark of Novo Nordisk A/S.
PATENT INFORMATION: http://www.novonordisk-us.com/products/product-patents.html
© 2021 Novo Nordisk
Medication Guide
MedicationGuide
WEGOVY™ (wee-GOH-vee)
(semaglutide) injection, for subcutaneous use
Read this Medication Guide and Instructions for Use before you start using WEGOVY and each time you get a refill. There may be new information. This information does not take the place of talking to your healthcare provider about your medical condition or your treatment.
What is the most important information I should know about WEGOVY?
WEGOVY may cause serious side effects, including:
• Possible thyroid tumors, including cancer. Tell your healthcare provider if you get a lump or swelling in your neck, hoarseness, trouble swallowing, or shortness of breath. These may be symptoms of thyroid cancer. In studies with rodents, WEGOVY and medicines that work like WEGOVY caused thyroid tumors, including thyroid cancer. It is not known if WEGOVY will cause thyroid tumors or a type of thyroid cancer called medullary thyroid carcinoma (MTC) in people.• Do not use WEGOVY if you or any of your family have ever had a type of thyroid cancer called medullary thyroid carcinoma (MTC), or if you have an endocrine system condition called Multiple Endocrine Neoplasia syndrome type 2 (MEN 2).• WEGOVY should be used with a reduced calorie meal plan and increased physical activity.• WEGOVY contains semaglutide and should not be used with other semaglutide-containing products or other GLP-1 receptor agonist medicines.• It is not known if WEGOVY is safe and effective when taken with other prescription, over-the-counter, or herbal weight loss products.• It is not known if WEGOVY can be used safely in people with a history of pancreatitis.• It is not known if WEGOVY is safe and effective for use in children under 18 years of age.• you or any of your family have ever had a type of thyroid cancer called medullary thyroid carcinoma (MTC) or if you have an endocrine system condition called Multiple Endocrine Neoplasia syndrome type 2 (MEN 2).• you have had a serious allergic reaction to semaglutide or any of the ingredients in WEGOVY. See the end of this Medication Guide for a complete list of ingredients in WEGOVY. Symptoms of a serious allergic reaction include:o swelling of your face, lips, tongue or throato fainting or feeling dizzyo problems breathing or swallowingo very rapid heartbeato severe rash or itching• have or have had problems with your pancreas or kidneys.• have type 2 diabetes and a history of diabetic retinopathy.• have or have had depression or suicidal thoughts, or mental health issues.• are pregnant or plan to become pregnant. WEGOVY may harm your unborn baby. You should stop using WEGOVY 2 months before you plan to become pregnant.o Pregnancy Exposure Registry: There is a pregnancy exposure registry for women who use WEGOVY during pregnancy. The purpose of this registry is to collect information about the health of you and your baby. Talk to your healthcare provider about how you can take part in this registry or you may contact Novo Nordisk at 1-800-727-6500.
• are breastfeeding or plan to breastfeed. It is not known if WEGOVY passes into your breast milk. You should talk with your healthcare provider about the best way to feed your baby while using WEGOVY.• Read the Instructions for Use that comes with WEGOVY.• Use WEGOVY exactly as your healthcare provider tells you to.• Your healthcare provider should show you how to use WEGOVY before you use it for the first time.• WEGOVY is injected under the skin (subcutaneously) of your stomach (abdomen), thigh, or upper arm. Do not inject WEGOVY into a muscle (intramuscularly) or vein (intravenously).• Change (rotate) your injection site with each injection. Do not use the same site for each injection.• Use WEGOVY 1 time each week, on the same day each week, at any time of the day.• Start WEGOVY with 0.25 mg per week in your first month. In your second month, increase your weekly dose to 0.5 mg. In the third month, increase your weekly dose to 1 mg. In the fourth month, increase your weekly dose to 1.7 mg and in the fifth month onwards, increase your weekly dose to the full dose of 2.4 mg. If you need to change the day of the week, you may do so as long as your last dose of WEGOVY was given 2 or more days before.• If you miss a dose of WEGOVY and the next scheduled dose is more than 2 days away (48 hours), take the missed dose as soon as possible. If you miss a dose of WEGOVY and the next schedule dose is less than 2 days away (48 hours), do not administer the dose. Take your next dose on the regularly scheduled day.• If you miss doses of WEGOVY for more than 2 weeks, take your next dose on the regularly scheduled day or call your healthcare provider to talk about how to restart your treatment.• You can take WEGOVY with or without food.• If you take too much WEGOVY, you may have severe nausea, severe vomiting and severe low blood sugar. Call your healthcare provider or go to the nearest hospital emergency room right away if you experience any of these symptoms.• See “What is the most important information I should know about WEGOVY?”• inflammation of your pancreas(pancreatitis). Stop using WEGOVY and call your healthcare provider right away if you have severe pain in your stomach area (abdomen) that will not go away, with or without vomiting. You may feel the pain from your abdomen to your back.• gallbladder problems. WEGOVY may cause gallbladder problems including gallstones. Some gallbladder problems need surgery. Call your healthcare provider if you have any of the following symptoms:o pain in your upper stomach (abdomen)o yellowing of skin or eyes (jaundice)o fevero clay-colored stools• increased risk of low blood sugar (hypoglycemia) in patients with type 2 diabetes, especially those who also take medicines to treat type 2 diabetes mellitus such as sulfonylureas or insulin. Low blood sugar in patients with type 2 diabetes who receive WEGOVY can be both a serious and common side effect. Talk to your healthcare provider about how to recognize and treat low blood sugar. You should check your blood sugar before you start taking WEGOVY and while you take WEGOVY. Signs and symptoms of low blood sugar may include:o dizziness or light-headednesso sweatingo shakinesso blurred visiono slurred speecho weaknesso anxietyo hungero headacheo irritability or mood changeso confusion or drowsinesso fast heartbeato feeling jittery• kidney problems (kidney failure). In people who have kidney problems, diarrhea, nausea, and vomiting may cause a loss of fluids (dehydration) which may cause kidney problems to get worse. It is important for you to drink fluids to help reduce your chance of dehydration.• seriousallergic reactions. Stop using WEGOVY and get medical help right away, if you have any symptoms of a serious allergic reaction including:o swelling of your face, lips, tongue or throato severe rash or itchingo very rapid heartbeato problems breathing or swallowingo fainting or feeling dizzy• change in vision in people with type 2 diabetes. Tell your healthcare provider if you have changes in vision during treatment with WEGOVY.• increased heart rate. WEGOVY can increase your heart rate while you are at rest. Your healthcare provider should check your heart rate while you take WEGOVY. Tell your healthcare provider if you feel your heart racing or pounding in your chest and it lasts for several minutes.• depression or thoughts of suicide. You should pay attention to any mental changes, especially sudden changes in your mood, behaviors, thoughts, or feelings. Call your healthcare provider right away if you have any mental changes that are new, worse, or worry you.• nausea• stomach (abdomen) pain• dizziness• stomach flu• diarrhea• headache• feeling bloated• heartburn• vomiting• tiredness (fatigue)• belching• constipation• upset stomach• gas
What is WEGOVY?
WEGOVY is an injectable prescription medicine used for adults with obesity or overweight (excess weight) who also have weight-related medical problems to help them lose weight and keep the weight off.
Do not use WEGOVY if:
Before using WEGOVY, tell your healthcare provider if you have any other medical conditions, including if you:
Tell your healthcare provider about all the medicines you take, including prescription and over-the-counter medicines, vitamins, and herbal supplements. WEGOVY may affect the way some medicines work and some medicines may affect the way WEGOVY works. Tell your healthcare provider if you are taking other medicines to treat diabetes, including sulfonylureas or insulin. WEGOVY slows stomach emptying and can affect medicines that need to pass through the stomach quickly.
Know the medicines you take. Keep a list of them to show your healthcare provider and pharmacist when you get a new medicine.
How should I use WEGOVY?
What are the possible side effects of WEGOVY?
WEGOVY may cause serious side effects, including:
The most common side effects of WEGOVY may include:
Talk to your healthcare provider about any side effect that bothers you or does not go away. These are not all the possible side effects of WEGOVY.
Call your doctor for medical advice about side effects. You may report side effects to FDA at 1‑800‑FDA‑1088.
General information about the safe and effective use of WEGOVY.
Medicines are sometimes prescribed for purposes other than those listed in a Medication Guide. Do not use WEGOVY for a condition for which it was not prescribed. Do not give WEGOVY to other people, even if they have the same symptoms that you have. It may harm them.
You can ask your pharmacist or healthcare provider for information about WEGOVY that is written for health professionals.
What are the ingredients in WEGOVY?
Active Ingredient: semaglutide
Inactive Ingredients: disodium phosphate dihydrate, sodium chloride, and water for injection
Manufactured by: Novo Nordisk A/S, DK-2880 Bagsvaerd, Denmark
WEGOVY ™ is a trademark of Novo Nordisk A/S.
PATENT Information: http://novonordisk-us.com/products/product-patents.html
© 2021 Novo Nordisk
For more information, go to startWegovy.com or call 1-833-Wegovy-1.
This Medication Guide has been approved by the U.S. Food and Drug Administration.
Issued: 06/2021
Instructions For Use
Instructions for Use WEGOVY™ (semaglutide) injection WEGOVY comes in five strengths: Before you use your WEGOVY pen for the first time, talk to your healthcare provider or your caregiver about how to prepare and inject WEGOVY correctly. | |||
Important information Read this Instructions for Use before you start using WEGOVY. This information does not replace talking to your healthcare provider about your medical condition or treatment. · Your WEGOVY pen is for 1 time use only. The WEGOVY pen is for subcutaneous (under the skin) use only. · The dose of WEGOVY is already set on your pen. · The needle is covered by the needle cover and the needle will not be seen. · Do not remove the pen cap until you are ready to inject. · Do not touch or push on the needle cover. You could get a needle stick injury. · Your WEGOVY injection will begin when the needle cover is pressed against your skin. · Do not remove the pen from your skin before the yellow bar in the pen window has stopped moving. If the needle is removed earlier, you may not get your full dose of WEGOVY. · If the yellow bar does not start moving or stops during the injection, contact your healthcare provider or Novo Nordisk at startWegovy.com or call Novo Nordisk Inc. at 1-833-934-6891. · The needle cover will lock when the pen is removed from your skin. You cannot stop the injection and restart it later. · People who are blind or have vision problems should not use the WEGOVY pen without help from a person trained to use the WEGOVY pen. | |||
How do I store WEGOVY? · Store the WEGOVY pen in the refrigerator between 2°C to 8°C (36°F to 46°F). · If needed, before removing the pen cap, WEGOVY can be stored from 8°C to 30°C (46°F to 86°F) in the original carton for up to 28 days. · Keep WEGOVY in the original carton to protect it from light. · Do not freeze. · Throw away the pen if WEGOVY has been frozen, has been exposed to light or temperatures above 30°C (86°F), or has been out of the refrigerator for 28 days or longer. Keep WEGOVY and all medicines out of the reach of children. | |||
How to use your WEGOVY pen | Do not use your WEGOVY pen without receiving training from your healthcare provider. Make sure that you or your caregiver know how to give an injection with the pen before you start your treatment. | ||
Read and follow the instructions so that you use your WEGOVY pen correctly: Preparation Step 1. Prepare for your injection.
Contact Novo Nordisk at 1-833-934-6891 if your WEGOVY pen fails any of these checks. | |||
Step 2. Choose your injection site. • Your healthcare provider can help you choose the injection site that is best for you
• Do not inject into an area where the skin is tender, bruised, red, or hard. Avoid injecting into areas with scars or stretch marks. • You may inject in the same body area each week, but make sure it is not in the same spot each time. Clean the injection site with an alcohol swab or soap and water. Do not touch the injection site after cleaning. | |||
Injection Step 3. Remove pen cap. • Pull the pen cap straight off your pen. Step 4. Inject WEGOVY. • Push the pen firmly against your skin until the yellow bar has stopped moving. If the yellow bar does not start moving, press the pen more firmly against your skin.
| |||
Throw away pen Step 5. Throw away (dispose of) pen. Safely dispose of the WEGOVY pen right away after each use. See “How do I throw away (dispose of) WEGOVY pens?” • What if blood appears after injection? If blood appears at the injection site, press the site lightly with a gauze pad or cotton ball. | |||
How do I throw away (dispose of) WEGOVY pens? Put the used WEGOVY pen in an FDA-cleared sharps disposal container right away after use. Do not throw away (dispose of) the pen in your household trash. If you do not have an FDA-cleared sharps disposal container, you may use a household container that is:
When your sharps disposal container is almost full, you will need to follow your community guidelines for the right way to dispose of your sharps disposal container. There may be state or local laws about how you should throw away used needles and syringes. For more information about safe sharps disposal, and for specific sharps disposal in the state that you live in, go to the FDA’s website at http://www.fda.gov/safesharpsdisposal. Important: Keep your WEGOVY pen, sharps disposal container and all medicines out of the reach of children. | How do I care for my pen? Protect your pen
| ||
Manufactured by: Novo Nordisk A/S Novo Allé DK-2880 Bagsvaerd, Denmark For information about WEGOVY, go to startWegovy.com or contact: Novo Nordisk Inc. 800 Scudders Mill Road Plainsboro, NJ 08536 1-833-Wegovy-1 Issued: 06/2021 Version: 1 WEGOVY ™ is a trademark of Novo Nordisk A/S. PATENT Information: http://novonordisk-us.com/products/product-patents.html © 2021 Novo Nordisk This Instructions for Use has been approved by the U.S. Food and Drug Administration. | |||
Wegovy™ 0.25 Mg
NDC 0169-4525-14 List 452514
0.25 mg
wegovy™
(semaglutide) injection
0.25 mg/0.5 mL
Use Wegovy 1 time a week
4 Single-Dose Prefilled Pens
Each pen delivers a single dose of 0.25 mg semaglutide
For subcutaneous use only
Single-Dose only
Rx only
Contains: 4 Wegovy pens, Product Literature.
Dispense the enclosed Medication Guide to each patient.
Wegovy™ 0.5 Mg
NDC 0169-4505-14 List 450514
0.5 mg
wegovy™
(semaglutide) injection
0.5 mg/0.5 mL
Use Wegovy 1 time a week
4 Single-Dose Prefilled Pens
Each pen delivers a single dose of 0.5 mg semaglutide
For subcutaneous use only
Single-Dose only
Rx only
Contains: 4 Wegovy pens, Product Literature.
Dispense the enclosed Medication Guide to each patient.
Wegovy™ 1 Mg
NDC 0169-4501-14 List 450114
1 mg
wegovy™
(semaglutide) injection
1 mg/0.5 mL
Use Wegovy 1 time a week
4 Single-Dose Prefilled Pens
Each pen delivers a single dose of 1 mg semaglutide
For subcutaneous use only
Single-Dose only
Rx only
Contains: 4 Wegovy pens, Product Literature.
Dispense the enclosed Medication Guide to each patient.
Wegovy™ 1.7 Mg
NDC 0169-4517-14 List 451714
1.7 mg
wegovy™
(semaglutide) injection
1.7 mg/0.75 mL
Use Wegovy 1 time a week
4 Single-Dose Prefilled Pens
Each pen delivers a single dose of 1.7 mg semaglutide
For subcutaneous use only
Single-Dose only
Rx only
Contains: 4 Wegovy pens, Product Literature.
Dispense the enclosed Medication Guide to each patient.
Wegovy™ 2.4 Mg
NDC 0169-4524-14 List 452414
2.4 mg
wegovy™
(semaglutide) injection
2.4 mg/0.75 mL
Use Wegovy 1 time a week
4 Single-Dose Prefilled Pens
Each pen delivers a single dose of 2.4 mg semaglutide
For subcutaneous use only
Single-Dose only
Rx only
Contains: 4 Wegovy pens, Product Literature.
Dispense the enclosed Medication Guide to each patient.
* Please review the disclaimer below.








