Product Images Isordil Titradose

View Photos of Packaging, Labels & Appearance

Product Label Images

The following 3 images provide visual information about the product associated with Isordil Titradose NDC 0187-0152 by Bausch Health Us Llc, such as packaging, labeling, and the appearance of the drug itself. This resource could be helpful for medical professionals, pharmacists, and patients seeking to verify medication information and ensure they have the correct product.

5 mg label

5 mg label

Isordil 5 is a medication that comes in tablet form with each tablet containing 5mg of isosorbide dinitrate. The recommended dosage should be determined based on the instructions provided in the package insert. The medication should be stored in a tightly closed, light-resistant container at a temperature between 20 to 25°C (68 to 77°F), with excursions permitted within the range of 15 to 30°C (59 to 86°F). The manufacturing and distribution rights for this product are owned by Bausch Health US, LLC, and it is a product of Canada. The National Drug Code for Isordil 5 is 0187-0162-01.*

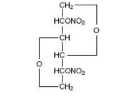
Chemical Structure - isordil titradose 01

Chemical Structure - isordil titradose 01

label 40 mg

label 40 mg

* The product label images have been analyzed using a combination of traditional computing and machine learning techniques. It should be noted that the descriptions provided may not be entirely accurate as they are experimental in nature. Use the information in this page at your own discretion and risk.