Product Images Emoquette
View Photos of Packaging, Labels & Appearance
Product Label Images
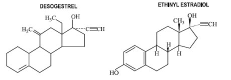
The following 5 images provide visual information about the product associated with Emoquette NDC 0254-2033 by Endo Usa, Inc., such as packaging, labeling, and the appearance of the drug itself. This resource could be helpful for medical professionals, pharmacists, and patients seeking to verify medication information and ensure they have the correct product.
Figure 1 - emoquette 2

This appears to be a table showing the mortality rate (number of deaths per 100,000 woman-years) for four groups of women categorized by smoking status and whether they use contraceptive drugs. The two groups of contraceptive users are labeled "23-over users" and "W-cover users." The text does not provide additional information about what the labels represent or what kind of study produced the data.*
* The product label images have been analyzed using a combination of traditional computing and machine learning techniques. It should be noted that the descriptions provided may not be entirely accurate as they are experimental in nature. Use the information in this page at your own discretion and risk.