FDA Label for Ceftriaxone And Dextrose
View Indications, Usage & Precautions
- 1 INDICATIONS AND USAGE
- 1.1 LOWER RESPIRATORY TRACT INFECTIONS
- 1.2 SKIN AND SKIN STRUCTURE INFECTIONS
- 1.3 COMPLICATED AND UNCOMPLICATED URINARY TRACT INFECTIONS
- 1.4 PELVIC INFLAMMATORY DISEASE
- 1.5 BACTERIAL SEPTICEMIA
- 1.6 BONE AND JOINT INFECTIONS
- 1.7 INTRA-ABDOMINAL INFECTIONS
- 1.8 MENINGITIS
- 1.9 SURGICAL PROPHYLAXIS
- 1.10 USAGE
- 2.1 ADULT POPULATION
- 2.2 PEDIATRIC PATIENTS
- 2.3 PREPARATION FOR USE OF CEFTRIAXONE FOR INJECTION AND DEXTROSE INJECTION IN DUPLEX® CONTAINER
- DUPLEX® DRUG DELIVERY SYSTEM STORAGE
- PATIENT LABELING AND DRUG POWDER/DILUENT INSPECTION
- RECONSTITUTION (ACTIVATION)
- ADMINISTRATION
- IMPORTANT ADMINISTRATION INSTRUCTIONS
- 3 DOSAGE FORMS AND STRENGTHS
- 4.1 ANAPHYLAXIS TO CEFTRIAXONE OR THE CEPHALOSPORIN CLASS OF ANTIBACTERIALS, PENICILLINS, OR OTHER BETA-LACTAM ANTIBACTERIALS
- 5.1 HYPERSENSITIVITY REACTIONS TO CEFTRIAXONE, CEPHALOSPORINS, PENICILLINS, OR OTHER DRUGS
- 5.2 INTERACTION WITH CALCIUM-CONTAINING PRODUCTS
- 5.3 CLOSTRIDIUM DIFFICILE-ASSOCIATED DIARRHEA
- 5.4 HEMOLYTIC ANEMIA
- 5.5 HYPERSENSITIVITY TO DEXTROSE PRODUCTS
- 5.6 GALLBLADDER PSEUDOLITHIASIS
- 5.7 UROLITHIASIS AND POST-RENAL ACUTE RENAL FAILURE
- 5.8 PATIENTS WITH HEPATIC AND RENAL IMPAIRMENT
- 5.9 PANCREATITIS
- 5.10 DEVELOPMENT OF DRUG-RESISTANT BACTERIA
- 5.11 PATIENTS WITH OVERT OR KNOWN SUBCLINICAL DIABETES MELLITUS OR CARBOHYDRATE INTOLERANCE
- 5.12 ALTERATIONS IN PROTHROMBIN TIME
- 6 ADVERSE REACTIONS
- 6.1 CLINICAL TRIALS EXPERIENCE
- 6.2 POSTMARKETING EXPERIENCE
- 6.3 CEPHALOSPORIN-CLASS ADVERSE REACTIONS
- 7.1 VANCOMYCIN, AMSACRINE, AMINOGLYCOSIDES, AND FLUCONAZOLE
- 7.2 CALCIUM-CONTAINING PRODUCTS
- PREGNANCY CATEGORY B
- 8.3 NURSING MOTHERS
- 8.4 PEDIATRIC USE
- 8.5 GERIATRIC USE
- 10 OVERDOSAGE
- 11 DESCRIPTION
- 12.1 MECHANISM OF ACTION
- 12.3 PHARMACOKINETICS
- DISTRIBUTION
- EXCRETION
- SPECIAL POPULATIONS
- DRUG INTERACTIONS
- MECHANISM OF ACTION
- MECHANISM OF RESISTANCE
- SUSCEPTIBILITY TEST METHODS
- DILUTION TECHNIQUES
- DIFFUSION TECHNIQUES
- ANAEROBIC TECHNIQUES
- QUALITY CONTROL
- CARCINOGENESIS
- MUTAGENESIS
- IMPAIRMENT OF FERTILITY
- 13.2 ANIMAL TOXICOLOGY AND/OR ANIMAL PHARMACOLOGY
- 15 REFERENCES
- 16 HOW SUPPLIED/STORAGE AND HANDLING
- 17 PATIENT COUNSELING INFORMATION
Ceftriaxone And Dextrose Product Label
The following document was submitted to the FDA by the labeler of this product B. Braun Medical Inc.. The document includes published materials associated whith this product with the essential scientific information about this product as well as other prescribing information. Product labels may durg indications and usage, generic names, contraindications, active ingredients, strength dosage, routes of administration, appearance, warnings, inactive ingredients, etc.
1 Indications And Usage
Ceftriaxone for Injection and Dextrose Injection is indicated for the treatment of the following infections when caused by susceptible bacteria.
1.1 Lower Respiratory Tract Infections
Lower respiratory tract infections caused by Streptococcus pneumoniae, Staphylococcus aureus, Haemophilus influenzae, Haemophilus parainfluenzae, Klebsiella pneumoniae, Escherichia coli, Enterobacter aerogenes, Proteus mirabilis or Serratia marcescens.
1.2 Skin And Skin Structure Infections
Skin and skin structure infections caused by Staphylococcus aureus, Staphylococcus epidermidis, Streptococcus pyogenes, Viridans group streptococci, Escherichia coli, Enterobacter cloacae, Klebsiella oxytoca, Klebsiella pneumoniae, Proteus mirabilis, Morganella morganii
The efficacy for these organisms in this organ system were studied in fewer than ten infections.
, Pseudomonas aeruginosa, Serratia marcescens, Acinetobacter calcoaceticus, Bacteroides fragilis1.3 Complicated And Uncomplicated Urinary Tract Infections
Complicated and uncomplicated urinary tract infections caused by Escherichia coli, Proteus mirabilis, Proteus vulgaris, Morganella morganii or Klebsiella pneumoniae.
1.4 Pelvic Inflammatory Disease
Pelvic inflammatory disease caused by Neisseria gonorrhoeae. Ceftriaxone sodium, like other cephalosporins, has no activity against Chlamydia trachomatis. Therefore, when cephalosporins are used in the treatment of patients with pelvic inflammatory disease and Chlamydia trachomatis is one of the suspected pathogens, appropriate antichlamydial coverage should be added.
1.5 Bacterial Septicemia
Bacterial septicemia caused by Staphylococcus aureus, Streptococcus pneumoniae, Escherichia coli, Haemophilus influenzae or Klebsiella pneumoniae.
1.6 Bone And Joint Infections
Bone and joint infections caused by Staphylococcus aureus, Streptococcus pneumoniae, Escherichia coli, Proteus mirabilis, Klebsiella pneumoniae or Enterobacter species.
1.7 Intra-Abdominal Infections
Intra-abdominal infections caused by Escherichia coli, Klebsiella pneumoniae, Bacteroides fragilis, Clostridium species or Peptostreptococcus species.
1.8 Meningitis
Meningitis caused by Haemophilus influenzae, Neisseria meningitidis or Streptococcus pneumoniae. Ceftriaxone sodium has also been used successfully in a limited number of cases of meningitis and shunt infection caused by Staphylococcus epidermidis and Escherichia coli, however, the efficacy for these organisms in this organ system were studied in fewer than ten infections.
1.9 Surgical Prophylaxis
The preoperative administration of a single 1 g dose of Ceftriaxone for Injection and Dextrose Injection may reduce the incidence of postoperative infections in patients undergoing surgical procedures classified as contaminated or potentially contaminated (e.g., vaginal or abdominal hysterectomy or cholecystectomy for chronic calculous cholecystitis in high-risk patients, such as those over 70 years of age, with acute cholecystitis not requiring therapeutic antimicrobials, obstructive jaundice or common duct bile stones) and in surgical patients for whom infection at the operative site would present serious risk (e.g., during coronary artery bypass surgery). Although ceftriaxone sodium has been shown to have been as effective as cefazolin in the prevention of infection following coronary artery bypass surgery, no placebo-controlled trials have been conducted to evaluate any cephalosporin antibacterial in the prevention of infection following coronary artery bypass surgery.
1.10 Usage
To reduce the development of drug-resistant bacteria and maintain the effectiveness of Ceftriaxone for Injection and Dextrose Injection and other antibacterial drugs, Ceftriaxone for Injection and Dextrose Injection should be used only to treat or prevent infections that are proven or strongly suspected to be caused by susceptible bacteria. When culture and susceptibility information are available, they should be considered in selecting or modifying antibacterial therapy. In the absence of such data, local epidemiology and susceptibility patterns may contribute to the empiric selection of therapy.
2.1 Adult Population
Ceftriaxone for Injection and Dextrose Injection in the DUPLEX® Container should be used only in patients who require the entire 1 or 2 gram dose and not any fraction thereof. The recommended adult dosages are outlined in Table 1. Ceftriaxone for Injection and Dextrose Injection should be administered intravenously (IV) over approximately 30 minutes.
The usual duration of therapy is 4 to 14 days; in complicated infections, longer therapy may be required. When treating infections caused by Streptococcus pyogenes, therapy should be continued for at least 10 days.
Table 1: Recommended Dosing Schedule for Ceftriaxone for Injection and Dextrose Injection | |||
Site and Type of Infection | Dose | Frequency | Total Daily Dose |
Usual Adult Dose | 1 g to 2 g | once a day or in equally divided doses every 12 hours | should not exceed 4 g Patients with hepatic impairment and significant renal impairment should not receive more than 2 grams per day of ceftriaxone. |
Surgical Prophylaxis | 1 gram IV once | 1/2 to 2 hours before surgery | |
Skin and Skin Structure Infections | 50 to 75 mg per kg | once a day or in equally divided doses every 12 hours | should not exceed 2 g |
Meningitis | 100 mg per kg | once a day or in equally divided doses every 12 hours | should not exceed 4 g |
Serious Infections other than Meningitis | 50 to 75 mg per kg | every 12 hours | should not exceed 2 g |
2.2 Pediatric Patients
Ceftriaxone for Injection and Dextrose Injection in the DUPLEX® Container is designed to deliver a 1 g or 2 g dose of ceftriaxone. To prevent unintentional overdose, this product should not be used in pediatric patients who require less than the full adult dose of ceftriaxone. [see Use in Specific Populations (8.4)]
2.3 Preparation For Use Of Ceftriaxone For Injection And Dextrose Injection In Duplex® Container
This reconstituted solution is for intravenous use only.
Do not use plastic containers in series connections. Such use would result in air embolism due to residual air being drawn from the primary container before administration of the fluid from the secondary container is complete. If administration is controlled by a pumping device, care must be taken to discontinue pumping action before the container runs dry or air embolism may result.
Parenteral drug products should be inspected visually for particulate matter and discoloration prior to administration. Use only if solution is clear and container and seals are intact.
Duplex® Drug Delivery System Storage
- To avoid inadvertent activation, the DUPLEX® Container should remain in the folded position until activation is intended.
Patient Labeling And Drug Powder/Diluent Inspection
- Apply patient-specific label on foil side of container. Use care to avoid activation. Do not cover any portion of foil strip with patient label.
- Unlatch side tab and unfold DUPLEX® Container (see Diagram 1).
- Visually inspect diluent chamber for particulate matter.
- Use only if container and seals are intact.
- To inspect the drug powder for foreign matter or discoloration, peel foil strip from drug chamber (see Diagram 2).
- Protect from light after removal of foil strip.
Note: If foil strip is removed, the container should be re-folded and the side tab latched until ready to activate. The product must then be used within 7 days, but not beyond the labeled expiration date.
Reconstitution (Activation)
- Do not use directly after storage by refrigeration, allow the product to equilibrate to room temperature before patient use.
- Unfold the DUPLEX® container and point the set port in a downward direction. Starting at the hanger tab end, fold the DUPLEX® Container just below the diluent meniscus trapping all air above the fold. To activate, squeeze the folded diluent chamber until the seal between the diluent and powder opens, releasing diluent into the drug powder chamber (see Diagram 3).
- Agitate the liquid-powder mixture until the drug powder is completely dissolved.
Note: Following reconstitution (activation), product must be used within 24 hours if stored at room temperature or within 7 days if stored under refrigeration.
Administration
- Visually inspect the reconstituted solution for particulate matter.
- Point the set port in a downwards direction. Starting at the hanger tab end, fold the DUPLEX® Container just below the solution meniscus trapping all air above the fold. Squeeze the folded DUPLEX® Container until the seal between reconstituted drug solution and set port opens, releasing liquid to set port (see Diagram 4).
- Prior to attaching the IV set, check for minute leaks by squeezing container firmly. If leaks are found, discard container and solution as sterility may be compromised.
- Using aseptic technique, peel foil cover from the set port and attach sterile administration set (see Diagram 5).
- Refer to directions for use accompanying the administration set.
Important Administration Instructions
- Do not use in series connections.
- Do not introduce additives into the DUPLEX® Container.
- Administer Ceftriaxone for Injection and Dextrose Injection intravenously over approximately 30 minutes.
- After the indicated stability time periods, unused portions of solutions should be discarded.
- Vancomycin, amsacrine, aminoglycosides, and fluconazole are physically incompatible with ceftriaxone in admixtures. When any of these drugs are to be administered concomitantly with ceftriaxone by intermittent intravenous infusion, it is recommended that they be given sequentially, with thorough flushing of the intravenous lines (with 0.9% sodium chloride injection or 5% dextrose in water (D5W)) between the administrations.
- Ceftriaxone for Injection and Dextrose Injection should not be physically mixed with or piggybacked into solutions containing other antimicrobial drugs due to possible incompatibility. [see Drug Interactions (7.1)]
- Precipitation of ceftriaxone-calcium can also occur when Ceftriaxone for Injection and Dextrose Injection is mixed with calcium-containing solutions in the same IV administration line. Ceftriaxone for Injection and Dextrose Injection must not be administered simultaneously with calcium-containing IV solutions, including continuous calcium-containing infusions such as parenteral nutrition via a Y-site. However, in patients other than neonates, Ceftriaxone for Injection and Dextrose Injection and calcium-containing solutions may be administered sequentially of one another if the infusion lines are thoroughly flushed between infusions with a compatible fluid. [see Warnings and Precautions (5.2)]
- There have been no reports of an interaction between ceftriaxone and oral calcium-containing products or interaction between intramuscular ceftriaxone and calcium-containing products (IV or oral).
3 Dosage Forms And Strengths
Dual-chamber, single-use container:
- 1 g ceftriaxone for injection and 50 mL of 3.74% dextrose injection
- 2 g ceftriaxone for injection and 50 mL of 2.22 % dextrose injection
4.1 Anaphylaxis To Ceftriaxone Or The Cephalosporin Class Of Antibacterials, Penicillins, Or Other Beta-Lactam Antibacterials
Ceftriaxone for Injection and Dextrose Injection is contraindicated in patients who have a history of anaphylaxis to ceftriaxone or the cephalosporin class of antibacterials, penicillins, or other beta-lactam antibacterials [see Warnings and Precautions (5.1)].
5.1 Hypersensitivity Reactions To Ceftriaxone, Cephalosporins, Penicillins, Or Other Drugs
Serious, occasionally fatal, hypersensitivity (anaphylactic) reactions have been reported with ceftriaxone. Before therapy with Ceftriaxone for Injection and Dextrose Injection is instituted, careful inquiry should be made to determine whether the patient has had previous immediate hypersensitivity reactions to ceftriaxone, cephalosporins, penicillins, or other drugs. Exercise caution if this product is to be given to penicillin-sensitive patients because cross-hypersensitivity among beta-lactam antibacterials has been clearly documented and may occur in up to 10% of patients with a history of penicillin allergy. If an allergic reaction to Ceftriaxone for Injection and Dextrose Injection occurs, discontinue the drug. Serious acute hypersensitivity reactions may require treatment with epinephrine and other emergency measures including oxygen, corticosteroids, intravenous fluids, intravenous antihistamines, pressor amines, and airway management, as clinically indicated.
5.2 Interaction With Calcium-Containing Products
Precipitation of ceftriaxone-calcium can occur when Ceftriaxone for Injection and Dextrose Injection is mixed with calcium-containing solutions in the same IV administration line. Ceftriaxone for Injection and Dextrose Injection must not be administered simultaneously with calcium-containing IV solutions, including continuous calcium-containing infusions such as parenteral nutrition via a Y-site. However, in patients other than neonates, Ceftriaxone for Injection and Dextrose Injection and calcium-containing solutions may be administered sequentially of one another if the infusion lines are thoroughly flushed between infusions with 0.9% sodium chloride injection or D5W. In vitro studies using adult and neonatal plasma from umbilical cord blood demonstrated that neonates have an increased risk of precipitation of ceftriaxone-calcium. [see Drug Interactions (7.2)]
5.3 Clostridium Difficile-Associated Diarrhea
Clostridium difficile-associated diarrhea (CDAD) has been reported with use of nearly all antibacterial agents, including ceftriaxone, and may range in severity from mild diarrhea to fatal colitis. Treatment with antibacterial agents alters the normal flora of the colon leading to overgrowth of C. difficile.
C. difficile produces toxins A and B, which contribute to the development of CDAD. Hypertoxin-producing strains of C. difficile cause increased morbidity and mortality, as these infections can be refractory to antimicrobial therapy and may require colectomy. CDAD must be considered in all patients who present with diarrhea following antibacterial use. Careful medical history is necessary since CDAD has been reported to occur over two months after the administration of antibacterial agents.
If CDAD is suspected or confirmed, ongoing antibacterial use not directed against C. difficile may need to be discontinued. Appropriate fluid and electrolyte management, protein supplementation, antibacterial treatment of C. difficile, and surgical evaluation should be instituted as clinically indicated.
5.4 Hemolytic Anemia
An immune mediated hemolytic anemia has been observed in patients receiving cephalosporin class antibacterials including ceftriaxone. Severe cases of hemolytic anemia, including fatalities, have been reported during treatment in both adults and children. If a patient develops anemia while on Ceftriaxone for Injection and Dextrose Injection, the diagnosis of a cephalosporin associated anemia should be considered and Ceftriaxone for Injection and Dextrose Injection stopped until the etiology is determined.
5.5 Hypersensitivity To Dextrose Products
Hypersensitivity reactions, including anaphylaxis, have been reported with administration of dextrose products. These reactions have been reported in patients receiving high concentrations of dextrose (i.e. 50% dextrose)1. The reactions have also been reported when corn-derived dextrose solutions were administered to patients with or without a history of hypersensitivity to corn products2.
5.6 Gallbladder Pseudolithiasis
Ceftriaxone-calcium precipitates in the gallbladder have been observed in patients receiving ceftriaxone. These precipitates appear on sonography as an echo without acoustical shadowing suggesting sludge or as an echo with acoustical shadowing which may be misinterpreted as gallstones. The probability of such precipitates appears to be greatest in pediatric patients. Patients may be asymptomatic or may develop symptoms of gallbladder disease. The condition appears to be reversible upon discontinuation of ceftriaxone and institution of conservative management. Discontinue ceftriaxone in patients who develop signs and symptoms suggestive of gallbladder disease and/or the sonographic findings described above.
5.7 Urolithiasis And Post-Renal Acute Renal Failure
Ceftriaxone-calcium precipitates in the urinary tract have been observed in patients receiving ceftriaxone and may be detected as sonographic abnormalities. The probability of such precipitates appears to be greatest in pediatric patients. Patients may be asymptomatic or may develop symptoms of urolithiasis, and ureteral obstruction and post-renal acute renal failure. The condition appears to be reversible upon discontinuation of ceftriaxone and institution of appropriate management. Ensure adequate hydration in patients receiving ceftriaxone. Discontinue ceftriaxone in patients who develop signs and symptoms suggestive of urolithiasis, oliguria or renal failure and/or the sonographic findings described above.
5.8 Patients With Hepatic And Renal Impairment
In patients with both hepatic impairment and significant renal disease, Ceftriaxone for Injection and Dextrose Injection dosage should not exceed 2 g daily.
5.9 Pancreatitis
Cases of pancreatitis, possibly secondary to biliary obstruction, have been reported in patients treated with ceftriaxone sodium. Most patients presented with risk factors for biliary stasis and biliary sludge (preceding major therapy, severe illness, total parenteral nutrition). A cofactor role of ceftriaxone-related biliary precipitation cannot be ruled out.
5.10 Development Of Drug-Resistant Bacteria
Prescribing Ceftriaxone for Injection and Dextrose Injection in the absence of a proven or strongly suspected bacterial infection or a prophylactic indication is unlikely to provide benefit to the patient and increases the risk of the development of drug-resistant bacteria. As with other antibacterial drugs, use of Ceftriaxone for Injection and Dextrose Injection may result in overgrowth of nonsusceptible organisms. Careful observation of the patient is essential. If superinfection occurs during therapy, appropriate measures should be taken.
5.11 Patients With Overt Or Known Subclinical Diabetes Mellitus Or Carbohydrate Intolerance
As with other dextrose-containing solutions, Ceftriaxone for Injection and Dextrose Injection should be prescribed with caution in patients with overt or known subclinical diabetes mellitus or carbohydrate intolerance for any reason.
5.12 Alterations In Prothrombin Time
Alterations in prothrombin times have occurred in patients treated with ceftriaxone sodium. Patients with impaired vitamin K synthesis or low vitamin K stores (e.g., chronic hepatic disease and malnutrition) may require monitoring of prothrombin time during Ceftriaxone for Injection and Dextrose Injection treatment. Vitamin K administration (10 mg weekly) may be necessary if the prothrombin time is prolonged before or during therapy.
6 Adverse Reactions
The following serious adverse reactions to ceftriaxone are described below and elsewhere in the labeling:
- Hypersensitivity reactions [see Warnings and Precautions (5.1)]
- Ceftriaxone-calcium precipitates [see Warnings and Precautions (5.2) and Drug Interactions (7.2)]
- Clostridium difficile-associated diarrhea [see Warnings and Precautions (5.3)]
- Hemolytic anemia [see Warnings and Precautions (5.4)]
6.1 Clinical Trials Experience
Because clinical trials are conducted under widely varying conditions, adverse reaction rates observed in the clinical trials of a drug cannot be directly compared to rates in the clinical trials of another drug and may not reflect the rates observed in practice. The following reactions occurred in less than or equal to 6% of the patients:
- Local reactions—pain, induration, tenderness, and phlebitis after IV administration.
- Hypersensitivity—rash, pruritus, fever or chills.
- Hematologic—eosinophilia, thrombocytosis, leucopenia, anemia, hemolytic anemia, neutropenia, lymphopenia, thrombocytopenia, and prolongation of the prothrombin time.
- Gastrointestinal—diarrhea, nausea or vomiting, and dysgeusia. The onset of pseudomembranous colitis symptoms may occur during or after antibacterial treatment [see Warnings and Precautions (5.3)].
- Hepatic—elevations of SGOT, SGPT, alkaline phosphatase, bilirubin.
- Renal—elevations of the BUN, creatinine, and the presence of casts in the urine.
- Central nervous system—headache or dizziness.
- Genitourinary—moniliasis or vaginitis.
- Miscellaneous—diaphoresis and flushing.
- Ceftriaxone-calcium precipitates—Cases of fatal reactions with ceftriaxone-calcium precipitates in lung and kidneys in neonates have been described. In some cases the infusion lines and times of administration of ceftriaxone and calcium-containing solutions differed [see Warnings and Precautions (5.2) and Drug Interactions (7.2)].
- Other observed adverse reactions—abdominal pain, agranulocytosis, allergic pneumonitis, anaphylaxis, basophilia, biliary lithiasis, bronchospasm, colitis, dyspepsia, epistaxis, flatulence, gallbladder sludge, glycosuria, hematuria, jaundice, leukocytosis, lymphocytosis, monocytosis, nephrolithiasis, palpitations, a decrease in the prothrombin time, renal precipitations, seizures, and serum sickness.
6.2 Postmarketing Experience
The following adverse reactions have been reported during postapproval use of ceftriaxone. Because these reactions are reported voluntarily from a population of uncertain size, it is not always possible to readily estimate their frequency or establish a causal relationship to drug exposure.
- Gastrointestinal—stomatitis and glossitis.
- Genitourinary—oliguria, ureteric obstruction, post-renal acute renal failure
- Hepatic—hepatitis.
- Dermatologic— severe cutaneous adverse reactions (erythema multiforme, Stevens-Johnson syndrome or Lyell’s syndrome/toxic epidermal necrolysis), exanthema, allergic dermatitis, urticaria, and edema.
- Immunologic – Anaphylaxis (anaphylactic shock, transient leucopenia, neutropenia, agranulocytosis and thrombocytopenia).
6.3 Cephalosporin-Class Adverse Reactions
In addition to the adverse reactions listed above that have been observed in patients treated with ceftriaxone, the following adverse reactions and altered laboratory tests have been reported for cephalosporin-class antibacterials:
- Adverse Reactions: Allergic reactions, drug fever, serum sickness-like reaction, renal dysfunction, toxic nephropathy, reversible hyperactivity, hypertonia, hepatic dysfunction including hepatitis, cholestasis, aplastic anemia, hemorrhage, and superinfection.
- Altered Laboratory Tests: Positive direct Coombs’ test, false-positive test for urinary glucose, and elevated lactic acid dehydrogenase (LDH).
7.1 Vancomycin, Amsacrine, Aminoglycosides, And Fluconazole
Vancomycin, amsacrine, aminoglycosides, and fluconazole are physically incompatible with ceftriaxone in admixtures. [see Dosage and Administration (2.3)]
7.2 Calcium-Containing Products
Precipitation of ceftriaxone-calcium can occur when Ceftriaxone for Injection and Dextrose Injection is mixed with calcium-containing solutions in the same IV administration line. Ceftriaxone for Injection and Dextrose Injection must not be administered simultaneously with calcium-containing IV solutions. Ceftriaxone for Injection and Dextrose Injection and calcium-containing solutions may be administered sequentially. [see Warnings and Precautions (5.2)]
Pregnancy Category B
Reproductive studies have been performed in mice, rats, and primates at intravenous doses of 625, 586, and 84 mg/kg/day respectively without evidence of embryotoxicity, fetotoxicity, or teratogenicity. These doses are approximately 1.5, 2.8, and 0.8 times the recommended clinical dose of 2 g/day based on body surface area comparisons.
There are, however, no adequate and well-controlled studies in pregnant women. Because animal reproductive studies are not always predictive of human response, this drug should be used during pregnancy only if clearly needed.
Ceftriaxone was tested in a Segment III (pre-postnatal) study in rats at intravenous doses of up to 586 mg/kg/day approximately 2.8 times (mg/m2 comparison) the recommended daily dose of 2 g/day. No adverse effects were noted on various reproductive parameters during gestation and lactation, including postnatal growth, functional behavior, and reproductive ability of the offspring.
8.3 Nursing Mothers
Ceftriaxone is excreted in human breast milk. Caution should be exercised when Ceftriaxone for Injection and Dextrose Injection is administered to a nursing woman.
8.4 Pediatric Use
Ceftriaxone for Injection and Dextrose Injection in the DUPLEX® Container is designed to deliver a 1 g or 2 g dose of ceftriaxone. To prevent unintentional overdose, this product should not be used in pediatric patients who require less than the full 1 g or 2 g adult dose of ceftriaxone.
8.5 Geriatric Use
Of the total number of subjects in clinical studies of ceftriaxone sodium, 32% were 60 and over. No overall differences in safety or effectiveness were observed between these subjects and younger subjects, and other reported clinical experience has not identified differences in responses between the elderly and younger patients, but greater sensitivity of some older individuals cannot be ruled out.
Ceftriaxone is known to be substantially excreted by the kidney, and the risk of adverse reactions to this drug may be greater in patients with impaired renal function. Because elderly patients are more likely to have decreased renal function, care should be taken in dose selection, and it may be useful to monitor renal function.
The pharmacokinetics of ceftriaxone were only minimally altered in geriatric patients compared to healthy adult subjects and dosage adjustments are not necessary for geriatric patients with ceftriaxone dosages up to 2 grams per day, provided there is no severe renal and hepatic impairment. [see Clinical Pharmacology (12)]
10 Overdosage
In the case of overdosage, drug concentration would not be reduced by hemodialysis or peritoneal dialysis. There is no specific antidote. Treatment of overdosage should be symptomatic.
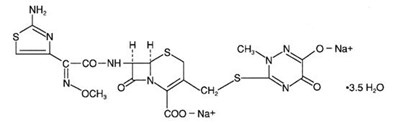
11 Description
Ceftriaxone for Injection and Dextrose Injection is a sterile, nonpyrogenic, single use, packaged combination of Ceftriaxone Sodium and Dextrose Injection (diluent) in the DUPLEX® sterile container. The DUPLEX® Container is a flexible dual chamber container.
The drug chamber is filled with ceftriaxone sodium, a sterile, semisynthetic, broad-spectrum cephalosporin antibacterial for intravenous administration. Ceftriaxone sodium is (6R,7R)-7-[2-(2-Amino-4-thiazolyl)glyoxylamido]-8-oxo-3-[[(1,2,5,6-tetrahydro-2-methyl-5,6-dioxo-as-triazin-3-yl)thio]methyl]-5-thia-1-azabicyclo[4.2.0]oct-2-ene-2-carboxylic acid, 72-(Z)-(O-methyloxime), disodium salt, sesquaterhydrate.
The chemical formula of ceftriaxone sodium is C18H16N8Na2O7S3•3.5H2O. It has a calculated molecular weight of 661.60 and the following structural formula:
Ceftriaxone sodium is supplied as a dry powder form equivalent to either 1 g or 2 g of ceftriaxone. Ceftriaxone sodium is a white to yellowish-orange crystalline powder which is readily soluble in water, sparingly soluble in methanol and very slightly soluble in ethanol. The pH of a 1% aqueous solution is approximately 6.7. The color of ceftriaxone sodium solutions ranges from light yellow to amber, depending on the length of storage and concentration.
Ceftriaxone sodium contains approximately 83 mg (3.6 mEq) of sodium per gram of ceftriaxone activity.
The diluent chamber contains Dextrose Injection. The concentration of Hydrous Dextrose in Water for Injection USP has been adjusted to render the reconstituted drug product iso-osmotic. Dextrose USP has been added to adjust osmolality (approximately 1.87 g and 1.11 g to 1 g and 2 g dosages, respectively). Dextrose Injection is sterile, nonpyrogenic, and contains no bacteriostatic or antimicrobial agents.
Hydrous Dextrose USP has the following structural (molecular) formula:
The molecular weight of Hydrous Dextrose USP is 198.17.
After removing the peelable foil strip, activating the seals, and thoroughly mixing, the reconstituted drug product is intended for single intravenous use. When reconstituted, the approximate osmolality for the reconstituted solution for Ceftriaxone for Injection and Dextrose Injection is 290 mOsmol/kg.
Not made with natural rubber latex, PVC or DEHP.
The DUPLEX® dual chamber container is made from a specially formulated material. The product (diluent and drug) contact layer is a mixture of thermoplastic rubber and a polypropylene ethylene copolymer that contains no plasticizers. The safety of the container system is supported by USP biological evaluation procedures.
12.1 Mechanism Of Action
Ceftriaxone is an antibacterial drug [see Microbiology (12.4)].
12.3 Pharmacokinetics
Average plasma concentrations of ceftriaxone following a single 30-minute intravenous (IV) infusion of a 0.5, 1 or 2 g dose in healthy subjects are presented in Table 2. Multiple IV doses ranging from 0.5 to 2 g at 12- to 24-hour intervals resulted in 15% to 36% accumulation of ceftriaxone above single dose values.
TABLE 2: Ceftriaxone Plasma Concentrations After Single Dose Administration
| Dose/Route | Average Plasma Concentrations (mcg/mL) | ||||||||
| 0.5 hr | 1 hr | 2 hr | 4 hr | 6 hr | 8 hr | 12 hr | 16 hr | 24 hr | |
| 0.5 g IV IV doses were infused at a constant rate over 30 minutes. | 82 | 59 | 48 | 37 | 29 | 23 | 15 | 10 | 5 |
| 1 g IV | 151 | 111 | 88 | 67 | 53 | 43 | 28 | 18 | 9 |
| 2 g IV | 257 | 192 | 154 | 117 | 89 | 74 | 46 | 31 | 15 |
Over a 0.15 to 3 g dose range in healthy adult subjects, the mean elimination half-life ranged from 5.8 to 8.7 hours, plasma clearance ranged from 0.58 to 1.45 L/hour, and renal clearance ranged from 0.32 to 0.73 L/hour.
Distribution
Ceftriaxone is reversibly bound to human plasma proteins and the binding of ceftriaxone decreases with increasing concentration from a value of 95% at plasma concentrations less than 25 mcg/mL to 85% at plasma concentration of 300 mcg/mL. Over a 0.15 to 3 g dose range in healthy adult subjects, the apparent volume of distribution ranged from 5.8 to 13.5 L.
Ceftriaxone crosses the blood placenta barrier.
Ceftriaxone penetrates the inflamed meninges of infants and pediatric patients. The average values of maximum plasma concentration, cerebrospinal fluid (CSF) concentrations, elimination half-life, plasma clearance and volume of distribution after a 50 mg/kg IV dose and after a 75 mg/kg IV dose in pediatric patients suffering from bacterial meningitis are shown in Table 3.
TABLE 3: Average Pharmacokinetic Parameters of Ceftriaxone in Pediatric Patients With Meningitis
| 50 mg/kg IV | 75 mg/kg IV | |
| Maximum Plasma Concentrations (mcg/mL) | 216 | 275 |
| Elimination Half-life (hr) | 4.6 | 4.3 |
| Plasma Clearance (mL/hr/kg) | 49 | 60 |
| Volume of Distribution (mL/kg) | 338 | 373 |
| CSF Concentration__inflamed meninges (mcg/mL) | 5.6 | 6.4 |
| Range (mcg/mL) | 1.3 – 18.5 | 1.3 – 44 |
| Time after dose (hr) | 3.7 (±1.6) | 3.3 (±1.4) |
After a 1 g IV dose, average concentrations of ceftriaxone, determined from 1 to 3 hours after dosing, were 581 mcg/mL in the gallbladder bile, 788 mcg/mL in the common duct bile, 898 mcg/mL in the cystic duct bile, and 78.2 mcg/g in the gallbladder wall compared to a corresponding concentration of 62.1 mcg/mL in plasma.
Excretion
Ceftriaxone concentrations in urine are shown in Table 4.
TABLE 4: Urinary Concentrations of Ceftriaxone After Single Dose Administration
| Dose/Route | Average Urinary Concentrations (mcg/mL) | |||||
| 0-2 hr | 2-4 hr | 4-8 hr | 8-12 hr | 12-24 hr | 24-48 hr | |
| 0.5 g IV | 526 | 366 | 142 | 87 | 70 | 15 |
| 1 g IV | 995 | 855 | 293 | 147 | 132 | 32 |
| 2 g IV | 2692 | 1976 | 757 | 274 | 198 | 40 |
Thirty-three percent to 67% of a ceftriaxone dose was excreted in the urine as unchanged drug and the remainder was secreted in the bile and ultimately found in the feces as microbiologically inactive compounds.
The elimination of ceftriaxone is not altered by probenecid.
Special Populations
Average pharmacokinetic parameters of ceftriaxone in healthy subjects, elderly subjects, subjects with renal impairment, and subjects with liver disease are summarized in Table 5. Compared to healthy adult subjects, the pharmacokinetics of ceftriaxone were only minimally altered in elderly subjects and in patients with renal or hepatic impairment; therefore, dosage adjustments are not necessary for these patients with ceftriaxone dosages up to 2 g per day. Ceftriaxone was not removed to any significant extent from the plasma by hemodialysis. In 6 of 26 dialysis patients, the elimination rate of ceftriaxone was markedly reduced, suggesting that plasma concentrations of ceftriaxone should be monitored in these patients to determine if dosage adjustments are necessary. [see Dosage and Administration (2.1) and Warnings and Precautions (5.6)]
TABLE 5: Average Pharmacokinetic Parameters of Ceftriaxone in Humans
| Subject Group | Elimination Half-Life (hr) | Plasma Clearance (L/hr) | Volume of Distribution (L) |
| Healthy Subjects Dose ranged from 0.15 to 3 g; | 5.8 – 8.7 | 0.58 – 1.45 | 5.8 – 13.5 |
| Elderly Subjects (mean age, 70.5 yr) | 8.9 | 0.83 | 10.7 |
| Patients with Renal Impairment | |||
| Hemodialysis Patients (0-5 mL/min) Creatinine clearance. | 14.7 | 0.65 | 13.7 |
| Severe (5-15 mL/min) | 15.7 | 0.56 | 12.5 |
| Moderate (16-30 mL/min) | 11.4 | 0.72 | 11.8 |
| Mild (31-60 mL/min) | 12.4 | 0.70 | 13.3 |
| Patients with Liver Disease | 8.8 | 1.1 | 13.6 |
Drug Interactions
Interaction with Calcium: Two in vitro studies, one using adult plasma and the other neonatal plasma from umbilical cord blood have been carried out to assess interaction of ceftriaxone and calcium. Ceftriaxone concentrations up to 1 mM (in excess of concentrations achieved in vivo following administration of 2 grams ceftriaxone infused over 30 minutes) were used in combination with calcium concentrations up to 12 mM (48 mg/dL). Recovery of ceftriaxone from plasma was reduced with calcium concentrations of 6 mM (24 mg/dL) or higher in adult plasma or 4 mM (16 mg/dL) or higher in neonatal plasma. This may be reflective of ceftriaxone-calcium precipitation.
Mechanism Of Action
Ceftriaxone is a bactericidal agent that acts by inhibition of bacterial cell wall synthesis. Ceftriaxone has activity in the presence of some beta-lactamases, both penicillinases and cephalosporinases, of Gram-negative and Gram-positive bacteria.
Mechanism Of Resistance
Resistance to ceftriaxone is primarily through hydrolysis by beta-lactamase, alteration of penicillin-binding proteins (PBPs), and decreased permeability.
Interaction with Other Antimicrobials
In an in vitro study antagonistic effects have been observed with the combination of chloramphenicol and ceftriaxone.
Ceftriaxone has been shown to be active against most isolates of the following bacteria, both in vitro and in clinical infections [see Indications and Usage (1)]:
- Gram-negative bacteria
- Acinetobacter calcoaceticus
- Enterobacter aerogenes
- Enterobacter cloacae
- Escherichia coli
- Haemophilus influenzae
- Haemophilus parainfluenzae
- Klebsiella oxytoca
- Klebsiella pneumoniae
- Moraxella catarrhalis
- Morganella morganii
- Neisseria gonorrhoeae
- Neisseria meningitidis
- Proteus mirabilis
- Proteus vulgaris
- Pseudomonas aeruginosa
- Serratia marcescens
- Gram-positive bacteria
- Staphylococcus aureus
- Staphylococcus epidermidis
- Streptococcus pneumoniae
- Streptococcus pyogenes
- Viridans group streptococci
- Anaerobic bacteria
- Bacteroides fragilis
- Clostridium species
- Peptostreptococcus species
- Gram-negative bacteria
- Citrobacter diversus
- Citrobacter freundii
- Providencia species (including Providencia rettgeri)
- Salmonella species (including Salmonella typhi)
- Shigella species
- Gram-positive bacteria
- Streptococcus agalactiae
- Anaerobic bacteria
- Porphyromonas (Bacteroides) melaninogenicus
- Prevotella (Bacteroides) bivius
The following in vitro data are available, but their clinical significance is unknown. At least 90 percent of the following microorganisms exhibit an in vitro minimum inhibitory concentration (MIC) less than or equal to the susceptible breakpoint for ceftriaxone. However, the efficacy of ceftriaxone in treating clinical infections due to these microorganisms has not been established in adequate and well-controlled clinical trials.
Susceptibility Test Methods
When available, the clinical microbiology laboratory should provide the results of in vitro susceptibility test results for antimicrobial drug products used in resident hospitals to the physician as periodic reports that describe the susceptibility profile of nosocomial and community-acquired pathogens. These reports should aid the physician in selecting an antibacterial drug product for treatment.
Dilution Techniques
Quantitative methods are used to determine antimicrobial minimal inhibitory concentrations (MICs). These MICs provide estimates of the susceptibility of bacteria to antimicrobial compounds. The MICs should be determined using a standardized test method 3,5 (broth and/or agar). The MIC values should be interpreted according to criteria provided in Table 6.
Diffusion Techniques
Quantitative methods that require measurement of zone diameters also provide reproducible estimates of the susceptibility of bacteria to antimicrobial compounds. The zone size provides an estimate of the susceptibility of bacteria to antimicrobial compounds. The zone size should be determined using a standardized test method 4,5. This procedure uses paper disks impregnated with 30 mcg ceftriaxone to test the susceptibility of microorganisms to ceftriaxone. The disk diffusion interpretive criteria are provided in Table 6.
Anaerobic Techniques
For anaerobic bacteria, the susceptibility to ceftriaxone as MICs can be determined by a standardized agar test method 5,6. The MIC values obtained should be interpreted according to the criteria provided in Table 6.
Table 6. Susceptibility Test Interpretive Criteria for Ceftriaxone.
| Pathogen | Minimum Inhibitory Concentrations (mcg/ml) | Disk Diffusion Zone Diameters (mm) | ||||
(S) Susceptible | (I) Intermediate | (R) Resistant | (S) Susceptible | (I) Intermediate | (R) Resistant | |
| Enterobacteriaceae Susceptibility interpretive criteria for Enterobacteriaceae are based on a dose of 1 gram IV q 24h. For isolates with intermediate susceptibility, use a dose of 2 grams IV q 24h in patients with normal renal function. | ≤ 1 | 2 | ≥ 4 | ≥ 23 | 20 - 22 | ≤ 19 |
| Haemophilus influenzae For Haemophilus influenza, susceptibility interpretive criteria are based on a dose of 2 grams IV every 24 hours in patients with normal renal function. The current absence of data on resistant isolates precludes defining any category other than ‘Susceptible’. If isolates yield MIC results other than susceptible, they should be submitted to a reference laboratory for additional testing. | ≤ 2 | - | - | ≥ 26 | - | - |
| Neisseria gonorrhoeae | ≤ 0.25 | - | - | ≥ 35 | - | - |
| Neisseria meningitidis | ≤ 0.12 | - | - | ≥ 34 | - | - |
| Streptococcus pneumoniae meningitis isolates Disk diffusion interpretive criteria for ceftriaxone disks against Streptococcus pneumoniae are not available, however, non-meningitis isolates of pneumococci with oxacillin zone diameters of >20 mm are susceptible (MIC ≤ 0.06 mcg/mL) to penicillin and can be considered susceptible to ceftriaxone. Streptococcus pneumoniae isolates should not be reported as penicillin (ceftriaxone) resistant or intermediate based solely on an oxacillin zone diameter of ≤ 19 mm. The ceftriaxone MIC should be determined for those isolates with oxacillin zone diameters ≤ 19 mm. | ≤ 0.5 | 1 | ≥ 2 | - | - | - |
| Streptococcus pneumoniae | ≤ 1 | 2 | ≥ 4 | - | - | - |
| Streptococcus species beta-hemolytic group | ≤ 0.5 | - | - | ≥ 24 | - | - |
| Viridans group streptococci | ≤ 1 | 2 | ≥ 4 | ≥ 27 | 25 - 26 | ≤ 24 |
| Anaerobic bacteria (agar method) | ≤ 1 | 2 | ≥ 4 | - | - | - |
Susceptibility of staphylococci to ceftriaxone may be deduced from testing only penicillin and either cefoxitin or oxacillin.
A report of Susceptible (S) indicates that the antimicrobial drug is likely to inhibit growth of the pathogen if the antimicrobial drug reaches the concentration at the site of infection. A report of Intermediate (I) indicates that the result should be considered equivocal, and if the microorganism is not fully susceptible to alternative, clinically feasible drugs, the test should be repeated. This category implies possible clinical applicability in body sites where the drug is physiologically concentrated or in situations where a high dosage of drug can be used. This category also provides a buffer zone that prevents small uncontrolled technical factors from causing major discrepancies in interpretation. A report of Resistant (R) indicates that the antimicrobial drug is not likely to inhibit growth of the pathogen if the antimicrobial compound reaches the concentrations usually achievable at the infection site; other therapy should be selected.
Quality Control
Standardized susceptibility test procedures require the use of laboratory controls to monitor and ensure the accuracy and precision of supplies and reagents used in the assay, and the techniques of the individual performing the test 3,4,5,6. Standard ceftriaxone powder should provide the following range of MIC values noted in Table 7. For the diffusion technique using the 30 mcg disk, the criteria in Table 7 should be achieved.
Table 7. Acceptable Quality Control Ranges for Ceftriaxone
| QC Strain | Minimum Inhibitory | Disk Diffusion Zone Diameters (mm) |
| Escherichia coli ATCC® 25922 | 0.03 - 0.12 | 29 - 35 |
| Staphylococcus aureus ATCC® 25923 | — | 22 - 28 |
| Staphylococcus aureus ATCC® 29213 | 1 - 8 | — |
| Haemophilus influenzae ATCC® 49247 | 0.06 - 0.25 | 31 - 39 |
| Neisseria gonorrhoeae ATCC® 49226 | 0.004 - 0.015 | 39 - 51 |
| Pseudomonas aeruginosa ATCC® 27853 | 8 - 64 | 17 - 23 |
| Streptococcus pneumoniae ATCC® 49619 | 0.03 - 0.12 | 30 - 35 |
| Bacteroides fragilis ATCC® 25285 (agar method) | 32 - 128 | — |
| Bacteroides thetaiotaomicron ATCC® 29741 (agar method) | 64 - 256 | — |
Carcinogenesis
Considering the maximum duration of treatment and the class of the compound, carcinogenicity studies with ceftriaxone in animals have not been performed. The maximum duration of animal toxicity studies was 6 months.
Mutagenesis
Genetic toxicology tests included the Ames test, a micronucleus test and a test for chromosomal aberrations in human lymphocytes cultured in vitro with ceftriaxone. Ceftriaxone showed no potential for genotoxic activity in these studies.
Impairment Of Fertility
Ceftriaxone produced no impairment of fertility when given intravenously to rats at daily doses up to 586 mg/kg/day, approximately 2.8 times (mg/m2 comparison) the recommended clinical dose of 2 g/day.
13.2 Animal Toxicology And/Or Animal Pharmacology
Concretions consisting of the precipitated calcium salt of ceftriaxone have been found in the gallbladder bile of dogs and baboons treated with ceftriaxone.
These appeared as a gritty sediment in dogs that received 100 mg/kg/day for 4 weeks.
A similar phenomenon has been observed in baboons but only after a protracted dosing period (6 months) at higher dose levels (335 mg/kg/day or more).
15 References
Czarny D, Prichard PJ, Fennessy M, Lewis S. Anaphylactoid reaction to 50% solution of dextrose. Med J Aust 1980;2:255-258.
Guharoy, SR, Barajas M. Probably Anaphylactic Reaction to Corn-Derived Dextrose Solution. Vet Hum Toxicol 1991;33:609-610.
Clinical and Laboratory Standards Institute (CLSI). Methods for Dilution Antimicrobial Susceptibility Tests for Bacteria that Grow Aerobically; Approved Standard - Tenth Edition. CLSI document M07-A10. Clinical and Laboratory Standards Institute, 950 West Valley Road, Suite 2500, Wayne, Pennsylvania 19087, USA, 2015.
Clinical and Laboratory Standards Institute (CLSI). Performance Standards for Antimicrobial Disk Diffusion Susceptibility Tests; Approved Standard – Twelfth Edition. CLSI document M02-A12. Clinical and Laboratory Standards Institute, 950 West Valley Road, Suite 2500, Wayne, Pennsylvania 19087, USA, 2015.
Clinical and Laboratory Standards Institute (CLSI). Performance Standards for Antimicrobial Susceptibility Testing; Twenty-fifth Informational Supplement. CLSI document M100-S25. Clinical and Laboratory Standards Institute, 950 West Valley Road, Suite 2500, Wayne, Pennsylvania 19087, USA, 2015.
Clinical and Laboratory Standards Institute (CLSI). Methods for Antimicrobial Susceptibility Testing of Anaerobic Bacteria; Approved Standard - Eighth Edition. CLSI document M11-A8. Clinical and Laboratory Standards Institute, 950 West Valley Road, Suite 2500, Wayne, Pennsylvania 19087, USA, 2012.
16 How Supplied/Storage And Handling
Ceftriaxone for Injection and Dextrose Injection in the DUPLEX® Drug Delivery System is a flexible dual chamber container supplied in two concentrations. After reconstitution, the concentrations are equivalent to 1 g and 2 g ceftriaxone. The diluent chamber contains approximately 50 mL of Dextrose Injection. Dextrose Injection has been adjusted to 3.74% and 2.22% for the 1 g and 2 g doses, respectively, such that the reconstituted solution is iso-osmotic.
Ceftriaxone for Injection and Dextrose Injection is supplied sterile and nonpyrogenic in the DUPLEX® Drug Delivery System containers packaged 24 units per case.
| NDC | REF | Dose | Volume |
| 0264-3153-11 | 3153-11 | 1 g | 50 mL |
| 0264-3155-11 | 3155-11 | 2 g | 50 mL |
Store the unactivated unit at 20-25°C (68-77°F). Excursions permitted to 15 - 30°C (59-86°F). Do not freeze.
Precautions
As with other cephalosporins, reconstituted Ceftriaxone for Injection and Dextrose Injection tends to darken depending on storage conditions, within the stated recommendations. However, product potency is not adversely affected.
Use only if prepared solution is clear and free from particulate matter.
Do not use in series connection.
Do not introduce additives into the DUPLEX® container.
17 Patient Counseling Information
Patients should be advised that allergic reactions, including serious allergic reactions could occur and that serious reactions require immediate treatment and discontinuation of ceftriaxone. Patients should report to their health care provider any previous allergic reactions to ceftriaxone, cephalosporins, penicillins, or other similar antibacterials.
Advise patients of neurological adverse reactions that could occur with Ceftriaxone for Injection and Dextrose Injection use. Instruct patients to inform a healthcare provider at once of any neurological signs and symptoms, including encephalopathy (disturbance of consciousness including confusion, hallucinations, stupor, and coma), myoclonus, and seizures, for immediate treatment, dosage adjustment, or discontinuation of Ceftriaxone for Injection and Dextrose Injection.
Patients should be advised that diarrhea is a common problem caused by antibacterials, which usually ends when the antibacterial is discontinued. Sometimes after starting treatment with antibacterials, patients can develop watery and bloody stools (with or without stomach cramps and fever) even as late as two or more months after having taken the last dose of the antibacterial. If this occurs, patients should contact a physician as soon as possible.
Patients should be counseled that antibacterial drugs, including Ceftriaxone for Injection and Dextrose Injection should only be used to treat bacterial infections. They do not treat viral infections (e.g., the common cold). When Ceftriaxone for Injection and Dextrose Injection is prescribed to treat a bacterial infection, patients should be told that although it is common to feel better early in the course of therapy, the medication should be taken exactly as directed. Skipping doses or not completing the full course of therapy may (1) decrease the effectiveness of the immediate treatment and (2) increase the likelihood that bacteria will develop resistance and will not be treatable by Ceftriaxone for Injection and Dextrose Injection or other antibacterial drugs in the future.
* Please review the disclaimer below.



