FDA Label for Heparin Sodium In Dextrose
View Indications, Usage & Precautions
- 1 INDICATIONS AND USAGE
- 2.1 PREPARATION FOR ADMINISTRATION
- 2.2 LABORATORY MONITORING FOR EFFICACY AND SAFETY
- 2.3 THERAPEUTIC ANTICOAGULANT EFFECT WITH FULL-DOSE HEPARIN
- 2.4 PEDIATRIC USE
- 2.5 CARDIOVASCULAR SURGERY
- 2.6 CONVERTING TO WARFARIN
- 2.7 CONVERTING TO ORAL ANTICOAGULANTS OTHER THAN WARFARIN
- 2.8 EXTRACORPOREAL DIALYSIS
- 3 DOSAGE FORMS AND STRENGTHS
- 4 CONTRAINDICATIONS
- 5.1 FATAL MEDICATION ERRORS
- 5.2 HEMORRHAGE
- 5.3 HEPARIN-INDUCED THROMBOCYTOPENIA (HIT) (WITH OR WITHOUT THROMBOSIS)
- 5.4 THROMBOCYTOPENIA
- 5.5 COAGULATION TESTING AND MONITORING
- 5.6 HEPARIN RESISTANCE
- 5.7 HYPERSENSITIVITY REACTIONS
- 6 ADVERSE REACTIONS
- 6.1 POSTMARKETING EXPERIENCE
- 7.1 ORAL ANTICOAGULANTS
- 7.2 PLATELET INHIBITORS
- 7.3 OTHER INTERACTIONS
- 7.4 DRUG/LABORATORY TESTS INTERACTIONS
- RISK SUMMARY
- HUMAN DATA
- ANIMAL DATA
- 8.4 PEDIATRIC USE
- 8.5 GERIATRIC USE
- 10 OVERDOSAGE
- 11 DESCRIPTION
- 12.1 MECHANISM OF ACTION
- 12.2 PHARMACODYNAMICS
- PLASMA CONCENTRATIONS
- 13.1 CARCINOGENESIS, MUTAGENESIS, IMPAIRMENT OF FERTILITY
- 16 HOW SUPPLIED/STORAGE AND HANDLING
- 17 PATIENT COUNSELING INFORMATION
- PRINCIPAL DISPLAY PANEL - 500 ML CONTAINER
- PRINCIPAL DISPLAY PANEL - 250 ML CONTAINER
Heparin Sodium In Dextrose Product Label
The following document was submitted to the FDA by the labeler of this product B. Braun Medical Inc.. The document includes published materials associated whith this product with the essential scientific information about this product as well as other prescribing information. Product labels may durg indications and usage, generic names, contraindications, active ingredients, strength dosage, routes of administration, appearance, warnings, inactive ingredients, etc.
1 Indications And Usage
Heparin sodium is indicated for:
- Prophylaxis and treatment of venous thrombosis and pulmonary embolism;
- Prophylaxis and treatment of thromboembolic complications associated with atrial fibrillation;
- Treatment of acute and chronic consumption coagulopathies (disseminated intravascular coagulation);
- Prevention of clotting in arterial and cardiac surgery;
- Prophylaxis and treatment of peripheral arterial embolism;
- Anticoagulant use in blood transfusions, extracorporeal circulation, and dialysis procedures.
2.1 Preparation For Administration
Confirm the selection of the correct formulation and strength prior to administration of the drug.
Do not use Heparin Sodium in 5% Dextrose Injection as a “catheter lock flush” product.
Do not admix with other drugs.
Do not use plastic containers in series connection.
This product should not be infused under pressure.
Parenteral drug products should be inspected visually for particulate matter and discoloration prior to administration, whenever solution and container permit.
2.2 Laboratory Monitoring For Efficacy And Safety
Adjust the dosage of heparin sodium according to the patient’s coagulation test results. When heparin is given by continuous intravenous infusion, determine the coagulation time approximately every 4 hours in the early stages of treatment. When the drug is administered intermittently by intravenous injection, perform coagulation tests before each injection during the early stages of treatment and at appropriate intervals thereafter. Dosage is considered adequate when the activated partial thromboplastin time (APTT) is 1.5 to 2 times the normal or when the whole blood clotting time is elevated approximately 2.5 to 3 times the control value.
Periodic platelet counts, hematocrits, and tests for occult blood in stool are recommended during the entire course of heparin therapy.
2.3 Therapeutic Anticoagulant Effect With Full-Dose Heparin
The dosing recommendations in Table 1 are based on clinical experience. Although dosage must be adjusted for the individual patient according to the results of suitable laboratory tests, the following dosage schedules may be used as guidelines:
Table 1: Recommended Adult Full-Dose Heparin Regimens for Therapeutic Anticoagulant Effect
| Method of Administration | Frequency | Recommended Dose Based on 150 lb. (68-kg) patient. |
| Intermittent Intravenous Injection | Initial Dose | 10,000 Units |
| Every 4 to 6 hours | 5,000 – 10,000 Units | |
| Continuous Intravenous Infusion | Initial Dose | 5,000 Units by IV injection |
| Continuous | 20,000 – 40,000 Units/24 hours |
2.4 Pediatric Use
There are no adequate and well controlled studies on heparin use in pediatric patients. Pediatric dosing recommendations are based on clinical experience. In general, the following dosage schedule may be used as a guideline in pediatric patients:
| Initial Dose | 75 to 100 units/kg (IV bolus over 10 minutes) |
| Maintenance Dose | Infants: 25 to 30 units/kg/hour; Infants < 2 months have the highest requirements (average 28 units/kg/hour) Children > 1 year of age: 18 to 20 units/kg/hour; Older children may require less heparin, similar to weight-adjusted adult dosage. |
| Monitoring | Adjust heparin to maintain APTT of 60 to 85 seconds, assuming this reflects an anti-Factor Xa level of 0.35 to 0.70. |
2.5 Cardiovascular Surgery
Patients undergoing total body perfusion for open-heart surgery should receive an initial dose of not less than 150 units of heparin sodium per kilogram of body weight. Frequently, a dose of 300 units per kilogram is used for procedures estimated to last less than 60 minutes or 400 units per kilogram for those estimated to last longer than 60 minutes.
2.6 Converting To Warfarin
To ensure continuous anticoagulation when converting from HEPARIN SODIUM to warfarin, continue full heparin therapy for several days until the INR (prothrombin time) has reached a stable therapeutic range. Heparin therapy may then be discontinued without tapering [see Drug Interactions (7.4)].
2.7 Converting To Oral Anticoagulants Other Than Warfarin
For patients currently receiving intravenous heparin, stop intravenous infusion of heparin sodium immediately after administering the first dose of oral anticoagulant; or for intermittent intravenous administration of heparin sodium, start oral anticoagulant 0 to 2 hours before the time that the next dose of heparin was to have been administered.
2.8 Extracorporeal Dialysis
Follow equipment manufacturer’s operating directions carefully. A dose of 25 to 30 units/kg followed by an infusion rate of 1,500 to 2,000 units/hour is suggested based on pharmacodynamic data if specific manufacturers’ recommendations are not available.
3 Dosage Forms And Strengths
HEPARIN SODIUM IN 5% DEXTROSE INJECTION is available as:
• Heparin Sodium 20,000 USP units per 500 mL (40 USP units per mL) in 5% Dextrose Injection.
• Heparin Sodium 25,000 USP units per 500 mL (50 USP units per mL) in 5% Dextrose Injection.
• Heparin Sodium 25,000 USP units per 250 mL (100 USP units per mL) in 5% Dextrose Injection.
4 Contraindications
The use of HEPARIN SODIUM is contraindicated in patients:
• With history of heparin-induced thrombocytopenia (HIT) (With or Without Thrombosis) [see Warnings and Precautions (5.3)]
• With a known hypersensitivity to heparin or pork products (e.g., anaphylactoid reactions) [see Adverse Reactions (6.1)]
• In whom suitable blood coagulation tests — e.g., the whole blood clotting time, partial thromboplastin time, etc., — cannot be performed at appropriate intervals (this contraindication refers to full-dose heparin; there is usually no need to monitor coagulation parameters in patients receiving low-dose heparin) [see Warnings and Precautions (5.5)]
5.1 Fatal Medication Errors
Do not use this product as a “catheter lock flush” product. Heparin is supplied in various strengths. Fatal hemorrhages have occurred due to medication errors. Carefully examine all heparin products to confirm the correct container choice prior to administration of the drug.
5.2 Hemorrhage
Hemorrhage, including fatal events, has occurred in patients receiving HEPARIN SODIUM. Avoid using heparin in the presence of major bleeding, except when the benefits of heparin therapy outweigh the potential risks.
Hemorrhage can occur at virtually any site in patients receiving heparin. Adrenal hemorrhage (with resultant acute adrenal insufficiency), ovarian hemorrhage, and retroperitoneal hemorrhage have occurred during anticoagulant therapy with heparin [see Adverse Reactions (6.1)]. A higher incidence of bleeding has been reported in patients, particularly women, over 60 years of age [see Clinical Pharmacology (12.3)]. An unexplained fall in hematocrit or fall in blood pressure should lead to serious consideration of a hemorrhagic event.
Use heparin sodium with caution in disease states in which there is increased risk of hemorrhage, including:
- Cardiovascular — Subacute bacterial endocarditis. Severe hypertension.
- Surgical — During and immediately following (a) spinal tap or spinal anesthesia or (b) major surgery, especially involving the brain, spinal cord or eye.
- Hematologic — Conditions associated with increased bleeding tendencies, such as hemophilia, thrombocytopenia and some vascular purpuras.
- Patients with hereditary antithrombin III deficiency receiving concurrent antithrombin III therapy – The anticoagulant effect of heparin is enhanced by concurrent treatment with antithrombin III (human) in patients with hereditary antithrombin III deficiency. To reduce the risk of bleeding, reduce the heparin dose during concomitant treatment with antithrombin III (human).
- Gastrointestinal — Ulcerative lesions and continuous tube drainage of the stomach or small intestine.
Other — Menstruation, liver disease with impaired hemostasis.
5.3 Heparin-Induced Thrombocytopenia (Hit) (With Or Without Thrombosis)
HIT is a serious antibody-mediated reaction resulting from irreversible aggregation of platelets. HIT may progress to the development of venous and arterial thromboses, a condition known as HIT with thrombosis. Thrombotic events may also be the initial presentation for HIT. These serious thromboembolic events include deep vein thrombosis, pulmonary embolism, cerebral vein thrombosis, limb ischemia, stroke, myocardial infarction, thrombus formation on a prosthetic cardiac valve, mesenteric thrombosis, renal arterial thrombosis, skin necrosis, gangrene of the extremities that may lead to amputation, and possibly death. Monitor thrombocytopenia of any degree closely. If the platelet count falls below 100,000/mm3 or if recurrent thrombosis develops, promptly discontinue heparin, evaluate for HIT, and, if necessary, administer an alternative anticoagulant.
HIT can occur up to several weeks after the discontinuation of heparin therapy. Patients presenting with thrombocytopenia or thrombosis after discontinuation of heparin should be evaluated for HIT.
5.4 Thrombocytopenia
Thrombocytopenia has been reported to occur in patients receiving heparin with a reported incidence of up to 30%. It can occur 2 to 20 days (average 5 to 9) following the onset of heparin therapy. Obtain platelet counts before and periodically during heparin therapy. Monitor thrombocytopenia of any degree closely. If the count falls below 100,000/mm3 or if recurrent thrombosis develops, promptly discontinue heparin, evaluate for HIT, and, if necessary, administer an alternative anticoagulant [see Warnings and Precautions (5.3)].
5.5 Coagulation Testing And Monitoring
When using a full dose heparin regimen, adjust the heparin dose based on frequent blood coagulation tests. If the coagulation test is unduly prolonged or if hemorrhage occurs, heparin sodium should be discontinued promptly [see Overdosage (10)]. Periodic platelet counts, hematocrits are recommended during the entire course of heparin therapy [see Dosage and Administration (2.2)].
5.6 Heparin Resistance
Increased resistance to heparin is frequently encountered in fever, thrombosis, thrombophlebitis, infections with thrombosing tendencies, myocardial infarction, cancer and in postsurgical patients, and patients with antithrombin III deficiency. Close monitoring of coagulation tests is recommended in these cases. Adjustment of heparin doses based on anti-Factor Xa levels may be warranted.
5.7 Hypersensitivity Reactions
Patients with documented hypersensitivity to heparin should be given the drug only in clearly life-threatening situations [see Adverse Reactions (6.1)].
Because Heparin Sodium in 5% Dextrose Injection is derived from animal tissue, monitor for signs and symptoms of hypersensitivity when it is used in patients with a history of allergy.
This product contains sodium metabisulfite, a sulfite that may cause allergic-type reactions including anaphylactic symptoms and life-threatening or less severe asthmatic episodes in certain susceptible people. The overall prevalence of sulfite sensitivity in the general population is unknown and probably low. Sulfite sensitivity is seen more frequently in asthmatic than in nonasthmatic people.
6 Adverse Reactions
The following serious adverse reactions are described elsewhere in the labeling:
Fatal Medication Errors [see Warnings and Precautions (5.1)]
Hemorrhage [see Warnings and Precautions (5.2)]
Heparin-induced Thrombocytopenia (HIT) (With or Without Thrombosis) [see Warnings and Precautions (5.3)]
Thrombocytopenia [see Warnings and Precautions (5.4)]
Heparin Resistance [see Warnings and Precautions (5.6)]
Hypersensitivity [see Warnings and Precautions (5.7)]
6.1 Postmarketing Experience
The following adverse reactions have been identified during post-approval use of heparin sodium. Because these reactions are reported voluntarily from a population of uncertain size, it is not always possible to reliably estimate their frequency.
Hemorrhage - Hemorrhage is the chief complication that may result from heparin therapy [see Warnings and Precautions (5.2)]. Gastrointestinal or urinary tract bleeding during anticoagulant therapy may indicate the presence of an underlying occult lesion. Bleeding can occur at any site but certain specific hemorrhagic complications may be difficult to detect:
Adrenal hemorrhage, with resultant acute adrenal insufficiency, has occurred with heparin therapy, including fatal cases. Ovarian (corpus luteum) hemorrhage developed in a number of women of reproductive age receiving short- or long-term anticoagulant therapy.
Retroperitoneal hemorrhage.
Heparin-induced Thrombocytopenia (HIT) (With or Without Thrombosis) and Thrombocytopenia: [see Warnings and Precautions (5.3 and 5.4)]
Hypersensitivity - Generalized hypersensitivity reactions have been reported with chills, fever, and urticaria as the most usual manifestations, and asthma, rhinitis, lacrimation, headache, nausea and vomiting, and anaphylactoid reactions, including shock, occurring more rarely. Itching and burning, especially on the plantar site of the feet, may occur [see Warnings and Precautions (5.5)].
Elevations of serum aminotransferases –Significant elevations of aspartate aminotransferase (AST) and alanine aminotransferase (ALT) levels have occurred in patients who have received heparin.
Others - Osteoporosis following long-term administration of high-doses of heparin, cutaneous necrosis after systemic administration, suppression of aldosterone synthesis, delayed transient alopecia, priapism, and rebound hyperlipemia on discontinuation of heparin sodium have also been reported.
7.1 Oral Anticoagulants
Heparin sodium may prolong the one-stage prothrombin time. Therefore, when heparin sodium is given with dicumarol or warfarin sodium, a period of at least 5 hours after the last intravenous dose or 24 hours after the last subcutaneous dose should elapse before blood is drawn if a valid prothrombin time is to be obtained.
7.2 Platelet Inhibitors
Drugs such as acetylsalicylic acid, dextran, phenylbutazone, ibuprofen, indomethacin, dipyridamole, hydroxychloroquine and others that interfere with platelet-aggregation reactions (the main hemostatic defense of heparinized patients) may induce bleeding and should be used with caution in patients receiving heparin sodium.
7.3 Other Interactions
Digitalis, tetracyclines, nicotine, antihistamines, or IV nitroglycerine may partially counteract the anticoagulant action of heparin sodium. Intravenous nitroglycerin administered to heparinized patients may result in a decrease of the partial thromboplastin time with subsequent rebound effect upon discontinuation of nitroglycerin. Careful monitoring of partial thromboplastin time and adjustment of heparin dosage are recommended during coadministration of heparin and intravenous nitroglycerin.
7.4 Drug/Laboratory Tests Interactions
Prothrombin time – Heparin sodium may prolong the one-stage prothrombin time. Therefore, when heparin sodium is given with warfarin, allow a period of at least 5 hours after the last intravenous dose or 24 hours after the last subcutaneous dose of heparin to elapse before blood is drawn to obtain a valid prothrombin time.
Risk Summary
In published reports, heparin exposure during pregnancy did not show evidence of an increased risk of adverse maternal or fetal outcomes in humans. No teratogenicity was observed in animal reproduction studies with administration of heparin sodium to pregnant rats and rabbits during organogenesis at doses up to 10,000 USP units/kg/day, approximately 10 times the maximum recommended human dose (MRHD) of 40,000 USP units/24 hours infusion [see Data]. In pregnant animals, doses up to 10 times higher than the maximum human daily dose based on body weight resulted in increased resorptions. Consider the benefits and risks of HEPARIN SODIUM IN 5% DEXTROSE INJECTION to a pregnant woman and possible risks to the fetus when prescribing HEPARIN SODIUM IN 5% DEXTROSE INJECTION.
The estimated background risk of major birth defects and miscarriage for the indicated population is unknown. In the U.S. general population, the estimated background risk of major birth defects and miscarriage in clinically recognized pregnancies is 2-4% and 15-20%, respectively.
There is no information regarding the presence of HEPARIN SODIUM IN 5% DEXTROSE INJECTION in human milk, the effects on the breastfed infant, or the effects on milk production. Due to its large molecular weight, heparin is not likely to be excreted in human milk, and any heparin in milk would not be orally absorbed by a nursing infant. The developmental and health benefits of breastfeeding should be considered along with the mother’s clinical need for HEPARIN SODIUM IN 5% DEXTROSE INJECTION and any potential adverse effects on the breastfed infant from HEPARIN SODIUM IN 5% DEXTROSE INJECTION or from the underlying maternal condition [see Use in Specific Populations (8.4)].
Human Data
The maternal and fetal outcomes associated with uses of heparin via various dosing methods and administration routes during pregnancy have been investigated in numerous studies. These studies generally reported normal deliveries with no maternal or fetal bleeding and no other complications.
Animal Data
In a published study conducted in rats and rabbits, pregnant animals received heparin intravenously during organogenesis at a dose of 10,000 USP units/kg/day, approximately 10 times the maximum human daily dose based on body weight. The number of early resorptions increased in both species. There was no evidence of teratogenic effects.
8.4 Pediatric Use
There are no adequate and well controlled studies on heparin use in pediatric patients. Pediatric dosing recommendations are based on clinical experience [see Dosage and Administration (2.4)].
8.5 Geriatric Use
There are limited adequate and well-controlled studies in patients 65 years and older. However, a higher incidence of bleeding has been reported in patients over 60 years of age, especially women [see Warnings and Precautions (5.2)]. Lower doses of heparin may be indicated in these patients [see Clinical Pharmacology (12.3)].
10 Overdosage
Bleeding is the chief sign of heparin overdosage.
Neutralization of heparin effect:
When clinical circumstances (bleeding) require reversal of heparinization, protamine sulfate (1% solution) by slow infusion will neutralize heparin sodium. No more than 50 mg should be administered, very slowly, in any 10 minute period. Each mg of protamine sulfate neutralizes approximately 100 USP Heparin Units. The amount of protamine required decreases over time as heparin is metabolized. Although the metabolism of heparin is complex, it may, for the purpose of choosing a protamine dose, be assumed to have a half-life of about 1/2 hour after intravenous injection.
Because fatal reactions often resembling anaphylaxis have been reported, protamine sulfate should be given only when resuscitation techniques and treatment of anaphylactoid shock are readily available.
For additional information, consult the prescribing information for Protamine Sulfate Injection, USP.
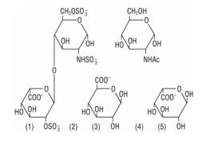
11 Description
Heparin is a heterogenous group of straight-chain anionic mucopolysaccharides, called glycosaminoglycans having anticoagulant properties. It is composed of polymers of alternating derivations of alpha-L-iduronic acid 2-sulfate (1), 2-deoxy-2-sulfamino- alpha-D-glucose 6-sulfate (2), beta-D-glucuronic acid (3), 2-acetamido-2- deoxy-alpha-D-glucose (4), and alpha-L-iduronic acid (5).
Structure of Heparin Sodium (representative subunits):
Heparin Sodium in 5% Dextrose Injection is a sterile, nonpyrogenic solution prepared from heparin sodium (derived from porcine intestinal mucosa and standardized for use as an anticoagulant) and Hydrous Dextrose USP in Water for Injection USP. It is to be administered by intravenous injection. The potency is determined by a biological assay using a USP reference standard based on units of heparin activity per milligram.
The pH range is 5.6 (4.5 – 7.0) and the osmolarity mOsmol/L (calc.) is 315. The concentration of electrolytes is 38 mEq/L Sodium, 30 mEq/L Phosphate, and 15 mEq/L Citrate.
40 USP units/mL: Each 100 mL of the 20,000 USP units per 500 mL preparation contains: 4,000 USP units of heparin sodium, 5 g Hydrous Dextrose USP, 0.41 g Dibasic Sodium Phosphate, 0.093 g Citric Acid Anhydrous USP, 0.0686 g Sodium Metabisulfite NF (antioxidant), and Water for Injection USP until quantity sufficient.
50 USP units/mL: Each 100 mL of the 25,000 USP units per 500 mL preparation contains: 5,000 USP units of heparin sodium, 5 g Hydrous Dextrose USP, 0.41 g Dibasic Sodium Phosphate, 0.093 g Citric Acid Anhydrous USP, 0.0686 g Sodium Metabisulfite NF (antioxidant), and Water for Injection USP until quantity sufficient.
100 USP units/mL: Each 100 mL of the 25,000 USP units per 250 mL preparation contains: 10,000 USP units of heparin sodium, 5 g Hydrous Dextrose USP, 0.41 g Dibasic Sodium Phosphate, 0.093 g Citric Acid Anhydrous USP, 0.0686 g Sodium Metabisulfite NF (antioxidant), and Water for Injection USP until quantity sufficient.
The plastic container is made from a multilayered film specifically developed for parenteral drugs. It contains no plasticizers and exhibits virtually no leachables. The solution contact layer is a rubberized copolymer of ethylene and propylene. The container is nontoxic and biologically inert. The container-solution unit is a closed system and is not dependent upon entry of external air during administration. The container is overwrapped to provide protection from the physical environment and to provide an additional moisture barrier when necessary.
The plastic container is not made with natural rubber latex, PVC or DEHP.
The closure system has two ports; the one for the administration set has a tamper evident plastic protector.
12.1 Mechanism Of Action
Heparin inhibits reactions that lead to the clotting of blood and the formation of fibrin clots both in vitro and in vivo. Heparin acts at multiple sites in the normal coagulation system. Small amounts of heparin in combination with antithrombin III (heparin cofactor) can inhibit thrombosis by inactivating activated Factor X and inhibiting the conversion of prothrombin to thrombin. Once active thrombosis has developed, larger amounts of heparin can inhibit further coagulation by inactivating thrombin and preventing the conversion of fibrinogen to fibrin. Heparin also prevents the formation of a stable fibrin clot by inhibiting the activation of the fibrin stabilizing factor. Heparin does not have fibrinolytic activity; therefore, it will not lyse existing clots.
12.2 Pharmacodynamics
Bleeding time is usually unaffected by heparin. Clotting time is prolonged by full therapeutic doses of heparin; in most cases it is not measurably affected by low doses of heparin.
Plasma Concentrations
Peak plasma levels of heparin are achieved 2-4 hours following subcutaneous administration, although there are considerable individual variations. Loglinear plots of heparin plasma concentrations with time for a wide range of dose levels are linear which suggests the absence of zero order processes. Liver and the reticuloendothelial system are the sites of biotransformation. The biphasic elimination curve, a rapidly declining alpha phase (t½ = 10 minutes) and after the age of 40 a slower beta phase, indicates uptake in organs. The absence of a relationship between anticoagulant half-life and concentration half-life may reflect factors such as protein binding of heparin.
Patients over 60 years of age, following similar doses of heparin, may have higher plasma levels of heparin and longer activated partial thromboplastin times (APTTs) compared with patients under 60 years of age.
13.1 Carcinogenesis, Mutagenesis, Impairment Of Fertility
Long term studies in animals to evaluate the carcinogenic potential, reproduction studies in animals to determine effects on fertility of males and females, and the studies to determine mutagenic potential have not been conducted.
16 How Supplied/Storage And Handling
Heparin Sodium in 5% Dextrose Injection is supplied sterile and nonpyrogenic in EXCEL® Containers packaged 24 per case.
| NDC | REF | Concentration | Size |
| 0264-9567-10 | P5671 | Heparin Sodium 20,000 USP units per 500 mL (40 USP units per mL) in 5% Dextrose Injection | 500 mL |
| 0264-9577-10 | P5771 | Heparin Sodium 25,000 USP units per 500 mL (50 USP units per mL) in 5% Dextrose Injection | 500 mL |
| 0264-9587-20 | P5872 | Heparin Sodium 25,000 USP units per 250 mL (100 USP units per mL) in 5% Dextrose Injection | 250 mL |
Exposure of pharmaceutical products to heat should be minimized. Avoid excessive heat. Protect from freezing. It is recommended that the product be stored at room temperature (25°C); however, brief exposure up to 40°C does not adversely affect the product.
Storage in automated dispensing machines: Brief exposure up to 2 weeks to ultraviolet or fluorescent light does not adversely affect the product labeling legibility; prolonged exposure can cause fading of the red label. Rotate stock frequently.
17 Patient Counseling Information
Hemorrhage
Inform patients that it may take them longer than usual to stop bleeding, that they may bruise and/or bleed more easily when they are treated with heparin, and that they should report any unusual bleeding or bruising to their physician. Hemorrhage can occur at virtually any site in patients receiving heparin. Fatal hemorrhages have occurred [see Warnings and Precautions (5.2)].
Prior to Surgery
Advise patients to inform physicians and dentists that they are receiving heparin before any surgery is scheduled [see Warnings and Precautions (5.2)].
Heparin-Induced Thrombocytopenia
Inform patients of the risk of heparin-induced thrombocytopenia (HIT). HIT may progress to the development of venous and arterial thromboses, a condition known as heparin-induced thrombocytopenia and thrombosis (HITT). HIT (With or Without Thrombosis) can occur up to several weeks after the discontinuation of heparin therapy [see Warnings and Precautions (5.3 and 5.4)].
Hypersensitivity
Inform patients that generalized hypersensitivity reactions have been reported. Necrosis of the skin has been reported at the site of subcutaneous injection of heparin [see Warnings and Precautions (5.7), Adverse Reactions (6)].
Other Medications
Because of the risk of hemorrhage, advise patients to inform their physicians and dentists of all medications they are taking, including non-prescription medications, and before starting any new medication [see Drug Interactions (7.2)].
Principal Display Panel - 500 Ml Container
HEPARIN SODIUM
20,000 USP units per 500 mL
(40 USP units per mL)
in 5% Dextrose Injection
NDC 0264-9567-10
500 mL
EXCEL® CONTAINER
20,000 USP units per 500 mL
(40 USP units per mL)
HEPARIN
LD-306-4 Y94-003-288
Each 100 mL contains: Heparin Sodium USP
(porcine intestinal mucosa) 4,000 USP Heparin units
Hydrous Dextrose USP 5 g
Dibasic Sodium Phosphate•7H2O USP 0.41 g
Citric Acid Anhydrous USP 0.093 g
Sodium Metabisulfite NF (antioxidant) <0.07 g
Water for Injection USP qs
Electrolytes (mEq/liter): Sodium 38
Phosphate (HPO ) 30 Citrate 15
WARNING: CONTAINS SULFITES.
Do not admix with other drugs.
Sterile. Single dose container. For intravenous use only.
Recommended Storage: Room temperature (25°C). Avoid
excessive heat. Protect from freezing. See Package Insert.
Do not remove overwrap until ready for use.
REF P5671
Not made with natural rubber latex, PVC or DEHP.
Rx only
B. Braun Medical Inc.
Bethlehem, PA 18018-3524 USA
API from Spain
LD-305-4 Y94-003-287
EXP
LOT
HEPARIN SODIUM
25,000 USP units per 500 mL
(50 USP units per mL)
in 5% Dextrose Injection
NDC 0264-9577-10
500 mL
EXCEL® CONTAINER
25,000 USP units per 500 mL
(50 USP units per mL)
HEPARIN
LD-308-4 Y94-003-290
Each 100 mL contains: Heparin Sodium USP
(porcine intestinal mucosa) 5,000 USP Heparin units
Hydrous Dextrose USP 5 g
Dibasic Sodium Phosphate•7H2O USP 0.41 g
Citric Acid Anhydrous USP 0.093 g
Sodium Metabisulfite NF (antioxidant) <0.07 g
Water for Injection USP qs
Electrolytes (mEq/liter): Sodium 38
Phosphate (HPO) 30 Citrate 15
WARNING: CONTAINS SULFITES.
Do not admix with other drugs.
Sterile. Single dose container. For intravenous use only.
Recommended Storage: Room temperature (25°C). Avoid
excessive heat. Protect from freezing. See Package Insert.
Do not remove overwrap until ready for use.
REF P5771
Not made with natural rubber latex, PVC or DEHP.
Rx only
B. Braun Medical Inc.
Bethlehem, PA 18018-3524 USA
API from Spain
LD-307-4 Y94-003-289
EXP
LOT
Principal Display Panel - 250 Ml Container
HEPARIN SODIUM
25,000 USP units per 250 mL
(100 USP units per mL)
in 5% Dextrose Injection
NDC 0264-9587-20
250 mL EXCEL® CONTAINER
25,000 USP units per 250 mL
(100 USP units per mL)
HEPARIN
LD-310-5 Y94-003-308
Each 100 mL contains: Heparin
Sodium USP (porcine intestinal mucosa)
10,000 USP Heparin units; Hydrous
Dextrose USP 5 g; Dibasic Sodium
Phosphate•7H2O USP 0.41 g; Citric
Acid Anhydrous USP 0.093 g; Sodium
Metabisulfite NF (antioxidant) <0.07 g;
Water for Injection USP qs
Electrolytes (mEq/liter): Sodium 38
Phosphate (HPO ) 30; Citrate 15
WARNING: CONTAINS SULFITES.
Do not admix with other drugs.
Sterile. Single dose container.
For intravenous use only.
Recommended Storage: Room temperature
(25°C). Avoid excessive heat. Protect from
freezing. See Package Insert. Do not remove
overwrap until ready for use.
Not made with natural rubber latex, PVC or DEHP.
REF P5872
Rx only
B. Braun Medical Inc.
Bethlehem, PA 18018-3524 USA
API from Spain
LD-309-5 Y94-003-307
EXP
LOT
* Please review the disclaimer below.


