Product Images Lokelma

View Photos of Packaging, Labels & Appearance

Product Label Images

The following 7 images provide visual information about the product associated with Lokelma NDC 0310-1105 by Astrazeneca Pharmaceuticals Lp, such as packaging, labeling, and the appearance of the drug itself. This resource could be helpful for medical professionals, pharmacists, and patients seeking to verify medication information and ensure they have the correct product.

Figure 1 - Figure 1

Figure 1 - Figure 1

Figure 2 - Figure 2

Figure 2 - Figure 2

This is a list of medication doses, including Amlodipine, Atorvastatin, Clopidogrel, Dabigatran, Furosemide, Glipizide, Levothyroxine, Thyroxine, Triiodothyronine, Losartan, and Warfarin. There are also measurements for AUC and Cmax for each medication. The text ends with a ratio for LOKELMA plus co-administered drug versus co-administered drug alone.*

Figure 3 - Figure 3

Figure 3 - Figure 3

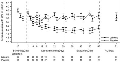
This appears to be a table of measurements for serum potassium levels in a study involving different doses of medication and a placebo. The table shows the mean serum potassium levels with a 95% confidence interval, as well as the number of participants in each group at different timepoints of the study. There is also a mention of a primary endpoint assessment. However, without further context or information, it is unclear what type of study this is and what the medication being tested is.*

Figure 4 - Figure 4

Figure 4 - Figure 4

image 01

image 01

LOKELMA 10 mg NDC 0310-1110-30 Carton - lokelma 10mg ndc0310 1110 30 carton PDP

LOKELMA 10 mg NDC 0310-1110-30 Carton - lokelma 10mg ndc0310 1110 30 carton PDP

This is the label information for 4LOKELMA, a prescription medication containing sodium zirconium cyclosilicate for oral suspension. The NDC number is provided, as well as the number of packets in each container (30). There is no additional information about the medication's uses or dosing.*

LOKELMA 5 g NDC 0310-1105-30 Carton - lokelma 5g ndc0310 1105 30 carton PDP

LOKELMA 5 g NDC 0310-1105-30 Carton - lokelma 5g ndc0310 1105 30 carton PDP

* The product label images have been analyzed using a combination of traditional computing and machine learning techniques. It should be noted that the descriptions provided may not be entirely accurate as they are experimental in nature. Use the information in this page at your own discretion and risk.