Product Images Farxiga
View Photos of Packaging, Labels & Appearance
- Figure 4 - Figure 4
- Figure 5 - Figure 5
- Figure 6A - Figure 6a
- Figure 6B - Figure 6b
- Figure 6C - Figure 6c
- Figure 7 - Figure 7
- Dapagliflozin Chemical Structure - dapagliflozin struct
- Farxiga 10 mg Bottle Label - farxiga 10mg 30s
- Farxiga 5 mg Bottle Label - farxiga 5mg 30s
- Figure 1 - farxiga fig1
- Figure 8 - figure 8
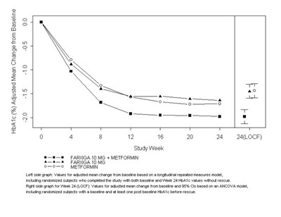
- FARXIGA Figure 2 - image 01
- FARXIGA Figure 3 - image 02
Product Label Images
The following 13 images provide visual information about the product associated with Farxiga NDC 0310-6210 by Astrazeneca Pharmaceuticals Lp, such as packaging, labeling, and the appearance of the drug itself. This resource could be helpful for medical professionals, pharmacists, and patients seeking to verify medication information and ensure they have the correct product.
Figure 6A - Figure 6a

This is a comparison between the effectiveness of the drug FARXIGA versus a placebo treatment in reducing an event in patients. The graph shows the percentage of patients with a positive outcome over the course of 24 months from randomization. The drug FARXIGA was found to be more effective at reducing the occurrence of the event compared to the placebo treatment as evidenced by the HR (hazard ratio) of 0.74 and a p-value that was not made available.*
Figure 6B - Figure 6b

The text seems to be a statistical comparison between two groups (FARXIGA and Placebo) in a medical study, represented in a graph showing the percentage of patients with an event over months from randomization. FARXIGA group had a HR (hazard ratio) of 0.82 and a P-value of 0.0294 compared to Placebo. The graph also shows the number of patients at risk over the duration of the study.*
Figure 6C - Figure 6c

This appears to be a statistical comparison between a medication called FARXIGA and a placebo. The data shows the percentage of patients with an event, and includes a graph displaying the results over a 24-month period. The HR (hazard ratio) is also provided, along with a P-value of less than 0.0001. Overall, it seems that FARXIGA performed better than the placebo in this study.*
Farxiga 10 mg Bottle Label - farxiga 10mg 30s

This is a description of Farxiga tablets. The package contains 130 tablets with NDC code 0310-6210-30. It is a medication that contains dapagliflozin and should be dispensed with a medication guide. The GTIN code for this package is 00303106210305. The manufacturer is AstraZeneca Pharmaceuticals and is based in Sodertile, Sweden. It is only available with a prescription (Rx only).*
Farxiga 5 mg Bottle Label - farxiga 5mg 30s

This is a description of medication called Farxiga in tablet form with a strength of 5mg. The medication comes in a package with 30 tablets and can be identified using the GTIN as 00303106205301. There is an instruction to dispense the medication with a medication guide, however, no information regarding the medication guide is provided. At the bottom, there is an indication that the medication is patented by AstraZeneca.*
Figure 1 - farxiga fig1

This appears to be a graph showing the relationship between dapagliflozin dose (in mg) and 24-hour urinary glucose (in g) for healthy subjects and subjects with T20M. Fitted lines are shown for both groups. No other information is available.*
Figure 8 - figure 8

This data presents the results of a comparison between FARXIGA and placebo in 244 patients. The patients who took FARXIGA had a significantly lower rate of the event being measured compared to those who took the placebo. The number of patients at risk is given for both groups at each point in time over a 32 month period.*
FARXIGA Figure 3 - image 02

This is a graph showing the adjusted mean change from baseline HbA1c levels over a study period of 24 weeks. It compares the effectiveness of a placebo plus metformin to Farxiga 10 mg plus metformin in randomized subjects completing a short-term period without rescue. The data is based on longitudinal repeated measures and ANCOVA models. The graph and data are useful in determining the efficacy of Farxiga 10 mg plus metformin in managing HbA1c levels.*
* The product label images have been analyzed using a combination of traditional computing and machine learning techniques. It should be noted that the descriptions provided may not be entirely accurate as they are experimental in nature. Use the information in this page at your own discretion and risk.