FDA Label for Ifex
View Indications, Usage & Precautions
- WARNING: MYELOSUPPRESSION, NEUROTOXICITY, AND UROTOXICITY
- 1 INDICATIONS AND USAGE
- 2 DOSAGE AND ADMINISTRATION
- 3 DOSAGE FORMS AND STRENGTHS
- 4 CONTRAINDICATIONS
- 5.1 MYELOSUPPRESSION, IMMUNOSUPPRESSION, AND INFECTIONS
- 5.2 CENTRAL NERVOUS SYSTEM TOXICITY, NEUROTOXICITY
- 5.3 RENAL AND UROTHELIAL TOXICITY AND EFFECTS
- 5.4 CARDIOTOXICITY
- 5.5 PULMONARY TOXICITY
- 5.6 SECONDARY MALIGNANCIES
- 5.7 VENO-OCCLUSIVE LIVER DISEASE
- 5.8 PREGNANCY
- 5.9 EFFECTS ON FERTILITY
- 5.10 ANAPHYLACTIC/ANAPHYLACTOID REACTIONS AND CROSS-SENSITIVITY
- 5.11 IMPAIRMENT OF WOUND HEALING
- 5.12 NURSING
- 6.1 ADVERSE REACTIONS FROM CLINICAL TRIALS
- 6.2 POSTMARKETING EXPERIENCE
- 7 DRUG INTERACTIONS
- 7.1 INDUCERS OF CYP3A4
- 7.2 INHIBITORS OF CYP3A4
- 8.1 PREGNANCY
- 8.3 NURSING MOTHERS
- 8.4 PEDIATRIC USE
- 8.5 GERIATRIC USE
- 8.6 USE IN PATIENTS WITH RENAL IMPAIRMENT
- 8.7 USE IN PATIENTS WITH HEPATIC IMPAIRMENT
- 10 OVERDOSAGE
- 11 DESCRIPTION
- 12.1 MECHANISM OF ACTION
- 12.3 PHARMACOKINETICS
- DISTRIBUTION
- METABOLISM
- EXCRETION
- PEDIATRICS
- EFFECT OF AGE
- 13.1 CARCINOGENESIS, MUTAGENESIS, IMPAIRMENT OF FERTILITY
- 14 CLINICAL STUDIES
- 15 REFERENCES
- 16 HOW SUPPLIED/STORAGE AND HANDLING
- 17 PATIENT COUNSELING INFORMATION
- OTHER
- PACKAGE LABEL - PRINCIPLE DISPLAY PANEL
Ifex Product Label
The following document was submitted to the FDA by the labeler of this product Baxter Healthcare Corporation. The document includes published materials associated whith this product with the essential scientific information about this product as well as other prescribing information. Product labels may durg indications and usage, generic names, contraindications, active ingredients, strength dosage, routes of administration, appearance, warnings, inactive ingredients, etc.
Warning: Myelosuppression, Neurotoxicity, And Urotoxicity
Myelosuppression can be severe and lead to fatal infections. Monitor blood counts prior to and at intervals after each treatment cycle. CNS toxicities can be severe and result in encephalopathy and death. Monitor for CNS toxicity and discontinue treatment for encephalopathy. Nephrotoxicity can be severe and result in renal failure. Hemorrhagic cystitis can be severe and can be reduced by the prophylactic use of mesna. [see Warnings and Precautions (5.1-5.3)]
1 Indications And Usage
IFEX is indicated for use in combination with certain other approved antineoplastic agents for third-line chemotherapy of germ cell testicular cancer. It should be used in combination with mesna for prophylaxis of hemorrhagic cystitis.
2 Dosage And Administration
IFEX should be administered intravenously at a dose of 1.2 grams per m2 per day for 5 consecutive days. Treatment is repeated every 3 weeks or after recovery from hematologic toxicity.
In order to prevent bladder toxicity, IFEX should be given with extensive hydration consisting of at least 2 liters of oral or intravenous fluid per day. Mesna should be used to reduce the incidence of hemorrhagic cystitis. IFEX should be administered as a slow intravenous infusion lasting a minimum of 30 minutes. Studies of IFEX in patients with hepatic or renal impairment have not been conducted [see Use in Specific Populations (8.6, 8.7)].
Injections are prepared for parenteral use by adding Sterile Water for Injection, USP or Bacteriostatic Water for Injection, USP (benzyl alcohol or parabens preserved), to the vial and shaking to dissolve. Before parenteral administration, the substance must be completely dissolved. Use the quantity of diluents shown below to constitute the product:
Dosage Strength | Quantity of Diluent | Final Concentration |
1 gram | 20 mL | 50 mg per mL |
3 grams | 60 mL | 50 mg per mL |
Solutions of ifosfamide may be diluted further to achieve concentrations of 0.6 to 20 mg/mL in the following fluids:
5% Dextrose Injection, USP
0.9% Sodium Chloride Injection, USP
Lactated Ringer’s Injections, USP
Sterile Water for Injection, USP
Because essentially identical stability results were obtained for Sterile Water admixtures as for the other admixtures (5% Dextrose Injection, 0.9% Sodium Chloride Injection, and Lactated Ringer’s Injection), the use of large volume parenteral glass bottles, VIAFLEX bags or PAB bags that contain intermediate concentrations or mixtures of excipients (e.g., 2.5% Dextrose Injection, 0.45% Sodium Chloride Injection, or 5% Dextrose and 0.9% Sodium Chloride Injection) is also acceptable.
Constituted or constituted and further diluted solutions of IFEX should be refrigerated and used within 24 hours. Benzyl-alcohol-containing solutions can reduce the stability of ifosfamide.
Parenteral drug products should be inspected visually for particulate matter and discoloration prior to administration, whenever solution and container permit.
3 Dosage Forms And Strengths
1 gram single-dose vial
3 gram single-dose vial
4 Contraindications
IFEX is contraindicated in patients with:
• Known hypersensitivity to administration of ifosfamide.• Urinary outflow obstruction.
5.1 Myelosuppression, Immunosuppression, And Infections
Treatment with ifosfamide may cause myelosuppression and significant suppression of immune responses, which can lead to severe infections. Fatal outcomes of ifosfamide-associated myelosuppression have been reported. Ifosfamide-induced myelosuppression can cause leukopenia, neutropenia, thrombocytopenia (associated with a higher risk of bleeding events), and anemia. The nadir of the leukocyte count tends to be reached approximately during the second week after administration. When IFEX is given in combination with other chemotherapeutic/hematotoxic agents and/or radiation therapy, severe myelosuppression is frequently observed. The risk of myelosuppression is dose-dependent and is increased with administration of a single high dose compared with fractionated administration. The risk of myelosuppression is also increased in patients with reduced renal function.
Severe immunosuppression has led to serious, sometimes fatal, infections. Sepsis and septic shock also have been reported. Infections reported with ifosfamide include pneumonias, as well as other bacterial, fungal, viral, and parasitic infections. Latent infections can be reactivated. In patients treated with ifosfamide, reactivation has been reported for various viral infections. Infections must be treated appropriately. Antimicrobial prophylaxis may be indicated in certain cases of neutropenia at the discretion of the managing physician. In case of neutropenic fever, antibiotics and/or antimycotics must be given. Close hematologic monitoring is recommended. White blood cell (WBC) count, platelet count and hemoglobin should be obtained prior to each administration and at appropriate intervals after administration. Unless clinically essential, IFEX should not be given to patients with a WBC count below 2000/µL and/or a platelet count below 50,000/µL.
IFEX should be given cautiously, if at all, to patients with presence of an infection, severe immunosuppression or compromised bone marrow reserve, as indicated by leukopenia, granulocytopenia, extensive bone marrow metastases, prior radiation therapy, or prior therapy with other cytotoxic agents.
5.2 Central Nervous System Toxicity, Neurotoxicity
Administration of ifosfamide can cause CNS toxicity and other neurotoxic effects. The risk of CNS toxicity and other neurotoxic effects necessitates careful monitoring of the patient. Neurologic manifestations consisting of somnolence, confusion, hallucinations, blurred vision, psychotic behavior, extrapyramidal symptoms, urinary incontinence, seizures, and in some instances, coma, have been reported following IFEX therapy. There have also been reports of peripheral neuropathy associated with ifosfamide use.
Ifosfamide neurotoxicity may manifest within a few hours to a few days after first administration and in most cases resolves within 48 to 72 hours of ifosfamide discontinuation. Symptoms may persist for longer periods of time. Supportive therapy should be maintained until their complete resolution. Occasionally, recovery has been incomplete. Fatal outcomes of CNS toxicity have been reported. Recurrence of CNS toxicity after several uneventful treatment courses has been reported. If encephalopathy develops, administration of ifosfamide should be discontinued.
Due to the potential for additive effects, drugs acting on the CNS (such as antiemetics, sedatives, narcotics, or antihistamines) must be used with particular caution or, if necessary, be discontinued in case of ifosfamide-induced encephalopathy.
Manifestations of CNS toxicity may impair a patient’s ability to operate an automobile or other heavy machinery.
5.3 Renal And Urothelial Toxicity And Effects
Ifosfamide is both nephrotoxic and urotoxic. Glomerular and tubular kidney function must be evaluated before commencement of therapy as well as during and after treatment. Monitor urinary sediment regularly for the presence of erythrocytes and other signs of uro/nephrotoxicity.
Monitor serum and urine chemistries, including phosphorus and potassium regularly. Administer appropriate replacement therapy as indicated. Renal parenchymal and tubular necrosis have been reported in patients treated with ifosfamide. Acute tubular necrosis, acute renal failure, and chronic renal failure secondary to ifosfamide therapy have been reported, and fatal outcome from nephrotoxicity has been documented.
Disorders of renal function, (glomerular and tubular) following ifosfamide administration are very common. Manifestations include a decrease in glomerular filtration rate, increased serum creatinine, proteinuria, enzymuria, cylindruria, aminoaciduria, phosphaturia, and glycosuria as well as tubular acidosis. Fanconi syndrome, renal rickets, and growth retardation in children as well as osteomalacia in adults also have been reported. Development of a syndrome resembling SIADH (syndrome of inappropriate antidiuretic hormone secretion) has been reported with ifosfamide.
Tubular damage may become apparent during therapy, months or even years after cessation of treatment. Glomerular or tubular dysfunction may resolve with time, remain stable, or progress over a period of months or years, even after completion of ifosfamide treatment.
The risk and expected benefits of ifosfamide therapy should be carefully weighed when considering the use of ifosfamide in patients with preexisting renal impairment or reduced nephron reserve.
Urotoxic side effects, especially hemorrhagic cystitis, have been very commonly associated with the use of IFEX (ifosfamide). These urotoxic effects can be reduced by prophylactic use of mesna.
Hemorrhagic cystitis requiring blood transfusion has been reported with ifosfamide. The risk of hemorrhagic cystitis is dose-dependent and increased with administration of single high doses compared to fractionated administration. Hemorrhagic cystitis after a single dose of ifosfamide has been reported. Past or concomitant radiation of the bladder or busulfan treatment may increase the risk for hemorrhagic cystitis.
Before starting treatment, it is necessary to exclude or correct any urinary tract obstructions [see Contraindications (4)].
During or immediately after administration, adequate amounts of fluid should be ingested or infused to force dieresis in order to reduce the risk of urinary tract toxicity. Obtain a urinalysis prior to each dose of IFEX (ifosfamide). If microscopic hematuria (greater than 10 RBCs per high power field) is present, then subsequent administration should be withheld until complete resolution. Further administration of IFEX should be given with vigorous oral or parenteral hydration.
Ifosfamide should be used with caution, if at all, in patients with active urinary tract infections.
5.4 Cardiotoxicity
Manifestations of cardiotoxicity reported with ifosfamide treatment include:
1. Supraventricular or ventricular arrhythmias, including atrial/supraventricular tachycardia, atrial fibrillation, pulseless ventricular tachycardia2. Decreased QRS voltage and ST-segment or T-wave changes3. Toxic cardiomyopathy leading to heart failure with congestion and hypotension4. Pericardial effusion, fibrinous pericarditis, and epicardial fibrosis
Fatal outcome of ifosfamide-associated cardiotoxicity has been reported.
The risk of developing cardiotoxic effects is dose-dependent. It is increased in patients with prior or concomitant treatment with other cardiotoxic agents or radiation of the cardiac region and, possibly, renal impairment.
Particular caution should be exercised when ifosfamide is used in patients with risk factors for cardiotoxicity and in patients with preexisting cardiac disease.
5.5 Pulmonary Toxicity
Interstitial pneumonitis, pulmonary fibrosis, and other forms of pulmonary toxicity have been reported with ifosfamide treatment. Pulmonary toxicity leading to respiratory failure as well as fatal outcome has also been reported. Monitor for signs and symptoms of pulmonary toxicity and treat as clinically indicated.
5.6 Secondary Malignancies
Treatment with ifosfamide involves the risk of secondary tumors and their precursors as late sequelae. The risk of myelodysplastic alterations, some progressing to acute leukemias, is increased. Other malignancies reported after use of ifosfamide or regimens with ifosfamide include lymphoma, thyroid cancer, and sarcomas.
The secondary malignancy may develop several years after chemotherapy has been discontinued.
5.7 Veno-Occlusive Liver Disease
Veno-occlusive liver disease has been reported with chemotherapy that included ifosfamide.
5.8 Pregnancy
IFEX can cause fetal harm when administered to a pregnant woman. Fetal growth retardation and neonatal anemia have been reported following exposure to ifosfamide-containing chemotherapy regimens during pregnancy. Ifosfamide is genotoxic and mutagenic in male and female germ cells. Embryotoxic and teratogenic effects have been observed in mice, rats and rabbits at doses 0.05 to 0.075 times the human dose.
Women should not become pregnant and men should not father a child during therapy with ifosfamide. Further, men should not father a child for up to 6 months after the end of therapy. If this drug is used during pregnancy, or if the patient becomes pregnant while taking this drug or after treatment, the patient should be apprised of the potential hazard to a fetus [see Use in Specific Populations (8.1)].
5.9 Effects On Fertility
Ifosfamide interferes with oogenesis and spermatogenesis. Amenorrhea, azoospermia, and sterility in both sexes have been reported. Development of sterility appears to depend on the dose of ifosfamide, duration of therapy, and state of gonadal function at the time of treatment. Sterility may be irreversible in some patients.
Female Patients
Amenorrhea has been reported in patients treated with ifosfamide. The risk of permanent chemotherapy-induced amenorrhea increases with age. Pediatric patients treated with ifosfamide during prepubescence subsequently may not conceive and those who retain ovarian function after completing treatment are at increased risk of developing premature menopause.
Male Patients
Men treated with ifosfamide may develop oligospermia or azoospermia. Pediatric patients treated with ifosfamide during prepubescence might not develop secondary sexual characteristics normally, but may have oligospermia or azoospermia. Azoospermia may be reversible in some patients, though the reversibility may not occur for several years after cessation of therapy. Sexual function and libido are generally unimpaired in these patients. Some degree of testicular atrophy may occur. Patients treated with ifosfamide have subsequently fathered children.
5.10 Anaphylactic/Anaphylactoid Reactions And Cross-Sensitivity
Anaphylactic/anaphylactoid reactions have been reported in association with ifosfamide.
Cross-sensitivity between oxazaphosphorine cytotoxic agents has been reported.
5.11 Impairment Of Wound Healing
Ifosfamide may interfere with normal wound healing.
5.12 Nursing
Ifosfamide is excreted in breast milk. Women must not breastfeed during treatment with ifosfamide [see Use in Specific Populations (8.3)].
6.1 Adverse Reactions From Clinical Trials
Because clinical trials are conducted from widely varying conditions, adverse reaction rates observed in the clinical trials of a drug cannot be directly compared to rates in the clinical trials of another drug and may not reflect the rates observed in clinical practice. The adverse reactions and frequencies below are based on 30 publications describing clinical experience with fractionated administration of ifosfamide as monotherapy with a total dose of 4 to 12 g/m2 per course.
System Organ Class (SOC) | Adverse Reaction | Percentage (Ratio) | |
INFECTIONS AND INFESTATIONS | Infection | 9.9% (112/1128) | |
BLOOD AND LYMPHATIC SYSTEM DISORDERS | Leukopenia The following adverse reaction terms have been reported for leukopenia: neutropenia, granulocytopenia, lymphopenia, and pancytopenia. For neutropenic fever, see below. (any) | -- | |
Leukopenia <1 x 103/µL | 43.5% (267/614) | ||
Thrombocytopenia Thrombocytopenia may also be complicated by bleeding. Bleeding with fatal outcome has been reported. (any) | -- | ||
Thrombocytopenia, 50 x 103/µL | 4.8% (35/729) | ||
Anemia Includes cases reported as anemia and decrease in hemoglobin/hematocrit. | 37.9% (202/533) | ||
METABOLISM AND NUTRITION DISORDERS | Anorexia | 1.1% (15/1317) | |
NERVOUS SYSTEM DISORDERS | Central nervous system toxicity Encephalopathy with coma and death has been reported. ,Central nervous system toxicity was reported to be manifested by the following signs and symptoms: Abnormal behavior, Affect lability Aggression, Agitation, Anxiety, Aphasia, Asthenia, Ataxia, Cerebellar syndrome, Cerebral function deficiency, Cognitive disorder, Coma, Confusional state, Convulsions, Cranial nerve dysfunction, Depressed state of consciousness, Depression, Disorientation, Dizziness, Electroencephalogram abnormal, Encephalopathy, Flat affect. Hallucinations, Headache, Ideation, Lethargy, Memory impairment, Mood change, Motor dysfunction, Muscle spasms, Myoclonus, Progressive loss of brainstem reflexes, Psychotic reaction, Restlessness, Somnolence, Tremor, Urinary incontinence. | 15.4% (154/1001) | |
Peripheral neuropathy | 0.4% (5/1317) | ||
CARDIAC DISORDERS | Cardiotoxicity Cardiotoxicity was reported as congestive heart failure, tachycardia, pulmonary edema. Fatal outcome has been reported. | 0.5% (7/1317) | |
VASCULAR DISORDERS | Hypotention Hypotension leading to shock and fatal outcome has been reported. | 0.3% (4/1317) | |
GASTROINTESTINAL DISORDERS | Nausea/Vomiting | 46.8% (443/964) | |
Diarrhea | 0.7% (9/1317) | ||
Stomatitis | 0.3% (4/1317) | ||
HEPATOBILIARY DISORDERS | Hepatotoxicity Hepatotoxicity was reported as increases in liver enzymes, i.e., serum alanine aminotransferase, serum aspartate aminotransferase, alkaline phosphatase, gamma-glutamyltransferase and lactate dehydrogenase, increased bilirubin, jaundice, hepatorenal syndrome. | 1.8% (22/1190) | |
SKIN AND SUBCUTANEOUS TISSUES DISORDERS | Alopecia | 89.6% (540/603) | |
Dermatitis | 0.08% (1/1317) | ||
Papular rash | 0.08% (1/1317) | ||
RENAL AND URINARY DISORDERS | Hemorrhagic cystitis Reported symptoms of hemorrhagic cystitis included dysuria and pollakiuria. See also Post-marketing Adverse Reactions (6.2). | -- | |
Hematuria | |||
- without mesna | 44.1% (282/640) | ||
- with mesna | 21.3% (33/155) | ||
Macrohematuria | |||
- without mesna | 11.1% (66/594) | ||
- with mesna | 5.2% (5/97) | ||
Renal dysfunction Renal dysfunction was reported to be manifested as: Renal failure (including acute renal failure, irreversible renal failure; fatal outcomes have been reported), Serum creatinine increased, BUN increased, Creatinine clearance decreased, Metabolic acidosis, Anuria, Oliguria, Glycosuria, Hyponatremia, Uremia, Creatinine clearance increased. Renal structural damage was reported to be manifested as: Acute tubular necrosis, renal parenchymal damage, Enzymuria, Cylindruria, Proteinuria. | -- | ||
Renal structural damage | -- | ||
GENERAL DISORDERS AND ADMINISTRATIVE SITE CONDITIONS | Phlebitis Includes cases reported as phlebitis and irritation of the venous walls. | 2.8% (37/1317) | |
Neutropenic fever Includes cases reported as granulocytopenic fever. | 1.0% (13/1317) | ||
Fatigue | 0.3% (4/1317) | ||
Malaise | Unable to calculate | ||
6.2 Postmarketing Experience
The following adverse reactions have been identified during post-approval use of IFEX. Because these reactions are reported voluntarily from a population of uncertain size, it is not always possible to reliably estimate their frequency or establish a causal relationship to drug exposure.
INFECTIONS AND INFESTATIONS:
The following manifestations have been associated with myelosuppression and immunosuppression caused by ifosfamide: increased risk for and severity of infections†, pneumonias†, sepsis and septic shock (including fatal outcomes), as well as reactivation of latent infections, including viral hepatitis†, Pneumocystis jiroveci†, herpes zoster, Strongyloides, progressive multifocal leukoencephalopathy†, and other viral and fungal infections.
† Severe immunosuppression has led to serious, sometimes fatal, infections.
NEOPLASMS, BENIGN AND MALIGNANT AND UNSPECIFIED (INCL CYSTS AND POLYPS):
As treatment-related secondary malignancy*, Acute leukemia* (Acute myeloid leukemia)*, Acute promyelocytic leukemia*, Acute lymphocytic leukemia*, Myelodysplastic syndrome, Lymphoma (Non-Hodgkin’s lymphoma), Sarcomas*, Renal cell carcinoma, Thyroid cancer
BLOOD AND LYMPHATIC SYSTEM DISORDERS:
Hematotoxicity*, Myelosuppression manifested as Bone marrow failure, Agranulocytosis; Febrile bone marrow aplasia; Disseminated intravascular coagulation, Hemolytic uremic syndrome, Hemolytic anemia, Neonatal anemia, Methemoglobinemia
IMMUNE SYSTEM DISORDERS:
Angioedema*, Anaphylactic reaction, Immunosuppression, Urticaria, Hypersensitivity reaction
ENDOCRINE DISORDERS:
Syndrome of inappropriate antidiuretic hormone secretion (SIADH)
METABOLISM AND NUTRITION DISORDERS:
Tumor lysis syndrome, Metabolic acidosis, Hypokalemia, Hypocalcemia, Hypophosphatemia, Hyperglycemia, Polydipsia
PSYCHIATRIC DISORDERS:
Panic attack, Catatonia, Mania, Paranoia, Delusion, Delirium, Bradyphrenia, Mutism, Mental status change, Echolalia, Logorrhea, Perseveration, Amnesia
NERVOUS SYSTEM DISORDERS:
Convulsion*, Status epilepticus (convulsive and nonconvulsive), reversible posterior leukoencephalopathy syndrome, Leukoencephalopathy, Extrapyramidal disorder, Asterixis, Movement disorder, Polyneuropathy, Dysesthesia, Hypothesia, Paresthesia, Neuralgia, Gait disturbance, Fecal incontinence, Dysarthria
Ifosfamide has been reintroduced after neurotoxicity. While some patients did not experience neurotoxicity, others had recurrent, including fatal, events.
EYE DISORDERS:
Visual impairment, Vision blurred, Conjunctivitis, Eye irritation
EAR AND LABYRINTH DISORDERS:
Deafness, Hypoacusis, Vertigo, Tinnitus
CARDIAC DISORDERS:
Cardiotoxicity*, Cardiac arrest*, Ventricular fibrillation*, Ventricular tachycardia*, Cardiogenic shock*, Myocardial infarction*, Cardiac failure*, Bundle branch block left, Bundle branch block right, Pericardial effusion, Myocardial hemorrhage, Angina pectoris, Left ventricular failure, Cardiomyopathy*, Congestive cardiomyopathy, Myocarditis*, Arrhythmia*, Pericarditis, Atrial fibrillation, Atrial flutter, Bradycardia, Supraventricular extrasystoles, Premature atrial contractions, Ventricular extrasystoles, Myocardial depression, Palpitations, Ejection fraction decreased*, Electrocardiogram ST-segment abnormal, Electrocardiogram T-wave inversion, Electrocardiogram QRS complex abnormal
VASCULAR DISORDERS:
Pulmonary embolism, Deep vein thrombosis, Capillary leak syndrome, Vasculitis, Hypertension, Flushing, Blood pressure decreased
RESPIRATORY, THORACIC, AND MEDIASTINAL DISORDERS:
Respiratory failure*, Acute respiratory distress syndrome*, Pulmonary hypertension*, Interstitial lung disease* as manifested by Pulmonary fibrosis*, Alveolitis allergic, Interstitial pneumonitis, Pneumonitis*, Pulmonary edema*, Pleural effusion, Bronchospasm, Dyspnea, Hypoxia, Cough
GASTROINTESTINAL DISORDERS:
Cecitis, Colitis, Enterocolitis, Pancreatitis, Ileus, Gastrointestinal hemorrhage, Mucosal ulceration, Constipation, Abdominal pain, Salivary hypersecretion
HEPATOBILIARY DISORDERS:
Hepatic failure*, Hepatitis fulminant*, Veno-occlusive liver disease, Portal vein thrombosis, Cytolytic hepatitis, Cholestasis
SKIN AND SUBCUTANEOUS TISSUE DISORDERS:
Toxic epidermal necrolysis, Stevens-Johnson syndrome, Palmar-plantar erythrodysesthesia syndrome, Radiation recall dermatitis, Skin necrosis, Facial swelling, Petechiae, Macular rash, Rash, Pruritus, Erythema, Skin hyperpigmentation, Hyperhidrosis, nail disorder
MUSCULOSKELETAL AND CONNECTIVE TISSUE DISORDER:
Rhabdomyolysis, Osteomalacia, Rickets, Growth retardation, Myalgia, Arthralgia, Pain in extremity, Muscle twitching
RENAL AND URINARY DISORDERS:
Fanconi syndrome, Tubulointerstitial nephritis, Nephrogenic diabetes insipidus, Phosphaturia, Aminoaciduria, Polyuria, Enuresis, Feeling of residual urine
Fatal outcomes from acute and chronic renal failure have been documented.
REPRODUCTIVE SYSTEM AND BREAST DISORDERS:
Infertility, Ovarian failure, Premature menopause, Amenorrhea, Ovarian disorder, Ovulation disorder, Azoospermia, Oligospermia, Impairment of spermatogenesis, Blood estrogen decreased, Blood gonadotrophin increased
CONGENITAL, FAMILIAL AND GENETIC DISORDERS:
Fetal growth retardation
GENERAL DISORDERS AND ADMINISTRATIVE SITE CONDITIONS:
Multi-organ failure*, General physical deterioration, Injection/Infusion site reactions including swelling, inflammation, pain, erythema, tenderness, pruritus; Chest pain, Edema, Mucosal inflammation, Pain, Pyrexia, Chills
* Including fatal outcomes
7 Drug Interactions
Ifosfamide is a substrate for both CYP3A4 and CYP2B6.
7.1 Inducers Of Cyp3a4
CYP3A4 inducers (e.g., carbamazepine, phenytoin, fosphenytoin, phenobarbital, rifampin, St. John Wort) may increase the metabolism of ifosfamide to its active alkylating metabolites. CYP3A4 inducers may increase the formation of the neurotoxic/nephrotoxic ifosfamide metabolite, chloroacetaldehyde. Closely monitor patients taking ifosfamide with CYP3A4 inducers for toxicities and consider dose adjustment.
7.2 Inhibitors Of Cyp3a4
CYP3A4 inhibitors (e.g., ketoconazole, fluconazole, itraconazole, sorafenib, aprepitant, fosaprepitant, grapefruit, grapefruit juice) may decrease the metabolism of ifosfamide to its active alkylating metabolites, perhaps decreasing the effectiveness of ifosfamide treatment.
8.1 Pregnancy
IFEX can cause fetal harm when administered to a pregnant woman. Fetal growth retardation and neonatal anemia have been reported following exposure to ifosfamide‑containing chemotherapy regimens during pregnancy.
Animal studies indicate that ifosfamide is capable of causing gene mutations and chromosomal damage in vivo. In pregnant mice, resorptions increased and anomalies were present at day 19 after a 30 mg/m2 dose of ifosfamide was administered on day 11 of gestation. Embryo-lethal effects were observed in rats following the administration of 54 mg/m2 doses of ifosfamide from the 6th through the 15th day of gestation and embryotoxic effects were apparent after dams received 18 mg/m2 doses over the same dosing period. Ifosfamide is embryotoxic to rabbits receiving 88 mg/m2/day doses from the 6th through the 18th day after mating. The number of anomalies was also significantly increased over the control group.
Women should not become pregnant and men should not father a child during therapy with ifosfamide. Further, men should not father a child for up to 6 months after the end of therapy. If this drug is used during pregnancy, or if the patient becomes pregnant while taking this drug or after treatment, the patient should be apprised of the potential hazard to a fetus.
8.3 Nursing Mothers
Ifosfamide is excreted in breast milk. Because of the potential for serious adverse events and the tumorigenicity shown for ifosfamide in animal studies, a decision should be made whether to discontinue nursing or to discontinue the drug, taking into account the importance of the drug to the mother. Women must not breastfeed during treatment with ifosfamide.
8.4 Pediatric Use
Safety and effectiveness have not been established in pediatric patients.
8.5 Geriatric Use
In general, dose selection for an elderly patient should be cautious, reflecting the greater frequency of decreased hepatic, renal, or cardiac function, and of concomitant disease or other drug therapy.
A study of patients 40 to 71 years of age indicated that elimination half-life appears to increase with advancing age [see Pharmacokinetics (12.3)]. This apparent increase in half-life appeared to be related to increases in volume of distribution of ifosfamide with age. No significant changes in total plasma clearance or renal or non-renal clearance with age were reported.
Ifosfamide and its metabolites are known to be substantially excreted by the kidney, and the risk of toxic reactions to this drug may be greater in patients with impaired renal function. Because elderly patients are more likely to have decreased renal function, care should be taken in dose selection, and it may be useful to monitor renal function.
8.6 Use In Patients With Renal Impairment
No formal studies were conducted in patients with renal impairment. Ifosfamide and its metabolites are known to be excreted by the kidneys and may accumulate in plasma with decreased renal function. Patients with renal impairment should be closely monitored for toxicity and dose reduction may be considered. Ifosfamide and its metabolites are dialyzable.
8.7 Use In Patients With Hepatic Impairment
No formal studies were conducted in patients with hepatic impairment. Ifosfamide is extensively metabolized in the liver and forms both efficacious and toxic metabolites. IFEX should be given cautiously to patients with impaired hepatic function.
10 Overdosage
No specific antidote for IFEX is known.
Patients who receive an overdose should be closely monitored for the development of toxicities. Serious consequences of overdosage include manifestations of dose-dependent toxicities such as CNS toxicity, nephrotoxicity, myelosuppression, and mucositis [see Warnings and Precautions (5)].
Management of overdosage would include general supportive measures to sustain the patient through any period of toxicity that might occur, including appropriate state-of-the-art treatment for any concurrent infection, myelosuppression, or other toxicity. Ifosfamide as well as ifosfamide metabolites are dialyzable.
Cystitis prophylaxis with mesna may be helpful in preventing or limiting urotoxic effects with overdose.
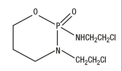
11 Description
IFEX (ifosfamide for injection, USP) single-dose vials for constitution and administration by intravenous infusion each contain 1 gram or 3 grams of sterile ifosfamide. Ifosfamide is a chemotherapeutic agent chemically related to the nitrogen mustards and a synthetic analog of cyclophosphamide. Ifosfamide is 3-(2-chloroethyl)-2-[(2-chloroethyl)amino]tetrahydro-2H-1,3,2-oxazaphosphorine 2-oxide. The molecular formula is C7H15Cl2N2O2P and its molecular weight is 261.1. Ifosfamide is a white crystalline powder soluble in water. There are no excipients in the formulation. Each vial contains 1 gram or 3 grams of sterile ifosfamide alone.
Its structural formula is:
12.1 Mechanism Of Action
Ifosfamide is a prodrug that requires metabolic activation by hepatic cytochrome P450 isoenzymes to exert its cytotoxic activity. Activation occurs by hydroxylation at the ring carbon atom forming the unstable intermediate 4-hydroxyifosfamide and its ring-opened aldo tautomer, which decomposes to yield the cytotoxic and urotoxic compound acrolein and an alkylating isophosphoramide mustard as well as multiple other nontoxic products. The exact mechanism of action of ifosfamide has not been determined, but its cytotoxic action is primarily through DNA crosslinks caused by alkylation by the isophosphoramide mustard at guanine N-7 positions. The formation of inter- and intra-strand cross-links in the DNA results in cell death.
12.3 Pharmacokinetics
Ifosfamide exhibits dose-dependent pharmacokinetics in humans. At single doses of 3.8 to 5.0 g/m2, the plasma concentrations decay biphasically and the mean terminal elimination half-life is about 15 hours. At doses of 1.6 to 2.4 g/m2/day, the plasma decay is monoexponential and the terminal elimination half-life is about 7 hours.
Ifosfamide exhibits time-dependent pharmacokinetics in humans. Following intravenous administration of 1.5 g/m2 over 0.5 hour once daily for 5 days to 15 patients with neoplastic disease, a decrease in the median elimination half-life from 7.2 hour on Day 1 to 4.6 hours on Day 5 occurred with a concomitant increase in the median clearance from 66 mL/min on Day 1 to 115 mL/min on Day 5. There was no significant change in the volume of distribution on Day 5 compared with Day 1.
Distribution
Ifosfamide volume of distribution (Vd) approximates the total body water volume, suggesting that distribution takes place with minimal tissue binding. Following intravenous administration of 1.5 g/m2 over 0.5 hour once daily for 5 days to 15 patients with neoplastic disease, the median Vd of ifosfamide was 0.64 L/kg on Day 1 and 0.72 L/kg on Day 5. Ifosfamide shows little plasma protein binding. Ifosfamide and its active metabolites are extensively bound by red blood cells. Ifosfamide is not a substrate for P-glycoprotein.
Metabolism
Ifosfamide is extensively metabolized in humans through two metabolic pathways: ring oxidation ("activation") to form the active metabolite, 4-hydroxy-ifosfamide and side-chain oxidation to form the inactive metabolites, 3-dechloro-ethylifosfamide or 2-dechloroethylifosfamide with liberation of the toxic metabolite, chloroacetaldehyde. Small quantities (nmol/mL) of ifosfamide mustard and 4-hydroxyifosfamide are detectable in human plasma. Metabolism of ifosfamide is required for the generation of the biologically active species and while metabolism is extensive, it is also quite variable among patients.
Excretion
After administration of doses of 5 g/m2 of 14C-labeled ifosfamide, from 70% to 86% of the dosed radioactivity was recovered in urine as metabolites, with about 61% of the dose excreted as parent compound. At doses of 1.6 to 2.4 g/m2 only 12% to 18% of the dose was excreted in the urine as unchanged drug within 72 hours. Two different dechloroethylated derivatives of ifosfamide, 4-carboxyifosfamide, thiodiacetic acid and cysteine conjugates of chloroacetic acid have been identified as the major urinary metabolites of ifosfamide in humans and only small amounts of 4-hydroxyifosfamide and acrolein are present.
Pediatrics
Population PK analysis was performed on plasma data from 32 pediatric patients various malignant diseases aged between 1 and 18 years. Patients received a total of 45 courses of ifosfamide at doses of 1.2, 2.0 and 3.0 g/m2 given intravenously over 1 or 3 hours on 1, 2, or 3 days. The mean±standard error population estimates for the initial clearance and volume of distribution of ifosfamide were 2.4±0.33 L/h/m2 and 21±1.6 L/m2 with an interindividual variability of 43% and 32%, respectively.
Effect Of Age
A study of 20 patients between 40 to 71 years of age receiving 1.5 g/m2 of ifosfamide daily for 3 or 5 days indicated that elimination half-life appears to increase with age. The elimination half-life increase appeared to be related to the increase in ifosfamide volume of distribution with age. No significant changes in total plasma clearance or renal clearance with age were reported.
13.1 Carcinogenesis, Mutagenesis, Impairment Of Fertility
Ifosfamide has been shown to be carcinogenic in rats when administered by intraperitoneal injection at 6 mg/kg (37 mg/m2, or about 3% of the daily human dose on a mg/m2 basis) 3 times a week for 52 weeks. Female rats had a significantly higher incidence of uterine leiomyosarcomas and mammary fibroadenomas than vehicle controls.
The mutagenic potential of ifosfamide has been documented in bacterial systems in vitro and mammalian cells in vivo. In vivo, ifosfamide has induced mutagenic effects in mice and Drosophila melanogaster germ cells, and has induced a significant increase in dominant lethal mutations in male mice as well as recessive sex-linked lethal mutations in Drosophila.
Ifosfamide was administered to male and female beagle dogs at doses of 1.00 or 4.64 mg/kg/day (20 or 93 mg/m2) orally 6 days a week for 26 weeks. Male dogs at 4.64 mg/kg (about 7.7% of the daily clinical dose on a mg/m2 basis) had testicular atrophy with degeneration of the seminiferous tubular epithelium. In a second study, male and female rats were given 0, 25, 50, or 100 mg/kg (0, 150, 300, or 600 mg/m2) ifosfamide intraperitoneally once every 3 weeks for 6 months. Decreased spermatogenesis was observed in most male rats given 100 mg/kg (about half the daily clinical dose on a mg/m2 basis).
14 Clinical Studies
Patients with refractory testicular cancer (n=59) received a combination of ifosfamide, cisplatin, and either etoposide (VePesid) or vinblastine (VIP) as third-line therapy or later. The selection of etoposide or vinblastine (“V” in the VIP regimen) was guided by the therapeutic effect achieved with prior regimens. The contribution of ifosfamide to the VIP combination was determined in patients treated with cisplatin-etoposide prior to ifosfamide- cisplatin-etoposide or those who received cisplatin-vinblastine prior to ifosfamide-cisplatin-vinblastine.
A total of 59 patients received a third-line salvage regimen which consisted of ifosfamide 1.2 g/m2/day intravenously on days 1 to 5, cisplatin 20 mg/m2/day intravenously on days 1 to 5, and either etoposide 75 mg/m2/day intravenously on days 1 to 5 or vinblastine 0.22 mg/kg intravenously on day 1. Efficacy results with the VIP regimen were compared to data pooled from six single agent phase II trials conducted between August 1980 and October 1985 including a total of 90 patients of whom 65 were eligible as controls of this study. Twenty-three patients in the VIP regimen became free of disease with VIP alone or VIP plus surgery, whereas a single patient in the historical control group achieved complete response. The median survival time exceeded two years in the VIP group versus less than one year in the control group. Performance status ≥ 80, embryonal carcinoma and minimal disease were favorable prognostic factors for survival. In all prognostic categories, the difference between VIP and historical controls remained highly significant.
Number. (%) of Patients | |||
VIP | Control | p-value | |
Total Patients | 59 (100) | 65 (100) | |
Disease-free | 23 (39) | 1 (2) | < 0.001 |
Chemotherapy alone | 15 (25) | 1 (2) | < 0.001 |
Chemotherapy plus surgery | 8 (14) | 0 | |
Overall Response | 32 (54) | 2 (3) | < 0.001 |
Time to progression (weeks) | |||
Median | 19 | 4 | < 0.001 Gehan-Breslow and Mantel-Cox tests |
Range | 1 – 205+ | 1 – 29 | |
Disease-free interval (weeks) | |||
Median | 114 | 29 | |
Range | 13 – 205+ | -- | |
Survival (weeks) | |||
Median | 53 | 10 | < 0.001 |
Range | 1 – 205+ | 1 – 123+ | |
In a study, 50 fully evaluable patients with germ cell testicular cancer were treated with IFEX in combination with cisplatin and either vinblastine or etoposide after failing (47 of 50 patients) at least two prior chemotherapy regimens consisting of cisplatin/vinblastine/bleomycin, (PVB), cisplatin/vinblastine/actinomycin D/bleomycin/cyclophosphamide, (VAB6), or the combination of cisplatin and etoposide. Patients were selected for remaining cisplatin sensitivity because they had previously responded to a cisplatin containing regimen and had not progressed while on the cisplatin containing regimen or within 3 weeks of stopping it. Patients served as their own control based on the premise that long term complete responses could not be achieved by retreatment with a regimen to which they had previously responded and subsequently relapsed.
Ten of 50 fully evaluable patients were still alive 2 to 5 years after treatment. Four of the 10 long term survivors were rendered free of cancer by surgical resection after treatment with the ifosfamide regimen; median survival for the entire group of 50 fully evaluable patients was 53 weeks.
15 References
1. NIOSH Alert: Preventing occupational exposures to antineoplastic and other hazardous drugs in healthcare settings. 2004. U.S. Department of Health and Human Services, Public Health Service, Centers for Disease Control and Prevention, National Institute for Occupational Safety and Health, DHHS (NIOSH) Publication No. 2004-165.
16 How Supplied/Storage And Handling
IFEX (ifosfamide for injection, USP) is available in single-dose vials as follows:
IFEX (ifosfamide for injection) NDC 0338-3991-01 1-gram Single-Dose Vial NDC 0338-3993-01 3-gram Single-Dose Vial
Store at controlled room temperature 20°C to 25°C (68°F to 77°F).
Protect from temperatures above 30°C (86°F).
Exercise caution when handling IFEX. The handling and preparation of ifosfamide should always be in accordance with current guidelines on safe handling of cytotoxic agents. Several guidelines on this subject have been published.1-4 Skin reactions associated with accidental exposure to IFEX may occur. To minimize the risk of dermal exposure, always wear impervious gloves when handling vials and solutions containing IFEX. If IFEX solution contacts the skin or mucosa, immediately wash the skin thoroughly with soap and water or rinse the mucosa with copious amounts of water.
17 Patient Counseling Information
Myelosuppression, Immunosuppression, and Infections
• Advise patients that treatment with IFEX may cause myelosuppression which can be severe and lead to infections and fatal outcomes.• Inform patients of the risks associated with the use of IFEX and plan for regular blood monitoring during therapy [see Boxed Warning, Warnings and Precautions (5.1)].• Inform patients to report fever or other symptoms of an infection [see Boxed Warning, Warnings and Precautions (5.1), Adverse Reactions (6.2)].• Advise patients on the risks of bleeding and anemia [see Warnings and Precautions (5.1, 5.8), Adverse Reactions (6.2)], Use in Specific Populations (8.1)].• Advise patients on the risk of CNS toxicity and other neurotoxic effects with fatal outcome [see Boxed Warning, Warnings and Precautions (5.2)].• Advise patients on the risk of bladder and kidney toxicity.• Advise patients of the need to increase fluid intake and frequent voiding to prevent accumulation in the bladder [see Warnings and Precautions (5.3)].• Advise patients on the risk of cardiotoxicity and fatal outcome. Advise patients to report preexisting cardiac disease and manifestations of cardiotoxicity [see Warnings and Precautions (5.4), Adverse Reactions (6.2)].• Advise patients on the risk of pulmonary toxicity leading to respiratory failure with fatal outcome.• Inform patients to report signs and symptoms of pulmonary toxicity [see Warnings and Precautions (5.5)].• Advise patients on the risk of secondary malignancies due to therapy [see Warnings and Precautions (5.6)].• Advise patients on the risk of veno-occlusive liver disease [see Warnings and Precautions (5.7)].• Advise patients on the potential hazard to a fetus if a patient becomes pregnant or fathers a child during therapy and for up to 6 months after therapy.• Advise patients to use effective contraception during therapy and for up to 6 months after therapy [see Warnings and Precautions (5.8), Adverse Reactions (6.2)].• Advise patients on the potential for serious adverse reactions and tumorigenicity when children are breastfed during therapy [see Use in Specific Populations (8.3)].• Advise patients on the risk of amenorrhea, premature menopause, and sterility [see Warnings and Precautions (5.9), Adverse Reactions (6.2)].• Advise patients on the risk of alopecia, wound healing, and other serious skin and subcutaneous tissue disorders [see Warnings and Precautions (5.11), Adverse Reactions (6.2)].• Advise patients that the therapy may cause gastrointestinal disorders and alcohol may increase nausea and vomiting [see Adverse Reactions (6.2)].• Advise patients on the risk of stomatitis and the importance of proper oral hygiene [seeAdverse Reactions (6.2)].• Advise patients on the risk of eye disorders such as visual impairment, blurred vision, and eye irritation [see Adverse Reactions (6.2)].• Advise patients on the risk of ear and labyrinth disorders such as deafness, vertigo, and tinnitus [seeAdverse Reactions (6.2)].
Central Nervous System Toxicity, Neurotoxicity
Renal and Urothelial Toxicity and Effects
Cardiotoxicity
Pulmonary Toxicity
Secondary Malignancies
Veno-occlusive Liver Disease
Pregnancy
Lactation
Reproductive System Disorders
Skin and Subcutaneous Tissue Disorders
Gastrointestinal Disorders
Eye Disorders
Ear and Labyrinth Disorders
Other
Manufactured by:
Baxter Healthcare Corporation
Deerfield, IL 60015 USA
For Product Inquiry 1-800 ANA DRUG (1-800-262-3784)
Made in Germany
Baxter, Ifex and Viaflex are trademarks of Baxter International Inc.
PAB is a trademark of B Braun
HA-30-01-800
Package Label - Principle Display Panel
NDC 0338-3991-01
IFEX
IFOSFAMIDE FOR INJECTION, USP
1 g/vial
Rx only
SINGLE-DOSE VIAL
This vial contains 1g ifosfamide.
Add 20 mL Sterile Water for
Injection, USP, or Sterile
Bacteriostatic Water for Injection,
USP, (benzyl alcohol or parabens
preserved), shaking to dissolve,
for a reconstituted concentration
of 50 mg per mL.
Store at controlled room
temperature 20° C to 25° C
(68° F to 77° F)
Protect from temperatures
above 30° C (86° F).
FOR IV USE
READ ACCOMPANYING
PACKAGE INSERT for detailed
indications, dosage, and
precautions.
Manufactured by:
Baxter Healthcare Corporation
Deerfield, IL 60015 USA
USA HA-65-01-561
C130
Bar Code
N(01)1 03 0338 3991 01 7
Lot:/Exp.:
JMXXX
MMJJJJ
1 vial
NDC 0338-3991-01
IFEX
(ifosfamide for injection, USP)
Single-Dose Vial
FOR IV USE
Rx only
1 g
Baxter Logo
Manufactured by
Baxter Healthcare Corporation
Deerfield, IL 60015 USA
See bottom panel for lot
number and expiration date.
Bar Code
N3 0338399101 0
This vial contains 1 g ifosfamide. Add
20 mL Sterile Water for Injection, USP,
or Sterile Bacteriostatic Water for
Injection, USP, (benzyl alcohol or
parabens preserved), shaking to
dissolve, for a reconstituted
concentration of 50 mg per mL.
READ ACCOMPANYING PACKAGE
INSERT for detailed indications,
dosage, and precautions.
Store at controlled room
temperature 20° C to 25° C
(68° F to 77° F). Protect from
temperatures above 30° C (86° F).
Constituted solutions should be
refrigerated and used within 24 hours.
Manufactured by:
Baxter Healthcare Corporation
Deerfield, IL 60015 USA
Made in Germany
NDC 0338-3993-01
IFEX
IFOSFAMIDE FOR INJECTION, USP
3 g/vial
Rx only
SINGLE-DOSE VIAL
This vial contains 3g ifosfamide.
Add 60 mL Sterile Water for
Injection, USP, or Sterile
Bacteriostatic Water for Injection,
USP, (benzyl alcohol or parabens
preserved), shaking to dissolve,
for a reconstituted concentration
of 50 mg per mL.
Store at controlled room
temperature 20° C to 25° C
(68° F to 77° F)
Protect from temperatures
above 30° C (86° F).
FOR IV USE
READ ACCOMPANYING
PACKAGE INSERT for detailed
indications, dosage, and
precautions.
Manufactured by:
Baxter Healthcare Corporation
Deerfield, IL 60015 USA
USA HA-65-01-564
C 132
Bar Code
N(01)1 03 0338 3993 01 1
Lot:/Exp.:
JMXXX
MM.JJJJ
1 vial
NDC 0338-3993-01
IFEX
(ifosfamide for injection, USP)
Single-Dose Vial
FOR IV USE
Rx only
3 g /vial
Baxter Logo
Manufactured by
Baxter Healthcare Corporation
Deerfield, IL 60015 USA
HA-80-02-154
USA
See bottom panel for lot
number and expiration date.
Baxter Logo
Manufactured by
Baxter Healthcare Corporation
Deerfield, IL 60015 USA
C
837
(01) 0030338993014
(21) XXXXXXXXXXXX
(17) JJMMTT
(10)JMXXXA
1 vial NDC 0338-3993-01
IFEX
(Ifosfamide for injection, USP)
Single Dose Vial
Rx only
FOR IV USE
3 g /vial
Baxter Logo
Manufactured by
Baxter Healthcare Corporation
Deerfield, IL 60015 USA
Lot/Exp.:
JMXXXA
MMJJJJ
2617B5079
Barcode
FOLDING BOX
CAN BE RECYCLED symbol
This vial contains 3 g ifosfamide.
Add 60 mL Sterile Water for
Injection, USP, or Sterile
Bacteriostatic Water for Injection,
USP, (benzyl alcohol or parabens
preserved), shaking to dissolve,
for a reconstituted concentration
of 50 mg per mL.
READ ACCOMPANYING PACKAGE
INSERT for detailed indications,
dosage, and precautions.
Store at controlled room
temperature 20° C to 25° C
(68° F to 77° F). Protect from
temperatures above 30° C (86° F).
Constituted solutions should be
refrigerated and used within 24 hours.
Manufactured by:
Baxter Healthcare Corporation
Deerfield, IL 60015 USA
Made in Germany
* Please review the disclaimer below.

