FDA Label for Doxylamine Succinate And Pyridoxine Hydrochloride
View Indications, Usage & Precautions
- 1 INDICATIONS AND USAGE
- 2.1 DOSAGE INFORMATION
- 3 DOSAGE FORMS AND STRENGTHS
- 4 CONTRAINDICATIONS
- 5.1 ACTIVITIES REQUIRING MENTAL ALERTNESS
- 5.2 CONCOMITANT MEDICAL CONDITIONS
- 5.3 INTERFERENCE WITH URINE SCREEN FOR METHADONE, OPIATES AND PHENCYCLIDINE PHOSPHATE (PCP)
- 6 ADVERSE REACTIONS
- 6.1 CLINICAL TRIAL EXPERIENCE
- 6.2 POSTMARKETING EXPERIENCE
- 7.1 DRUG INTERACTIONS
- 7.2 DRUG-FOOD INTERACTIONS
- 7.3 FALSE POSITIVE URINE TESTS FOR METHADONE, OPIATES AND PCP
- RISK SUMMARY
- HUMAN DATA
- 8.2 LACTATION
- 8.4 PEDIATRIC USE
- 10.1 SIGNS AND SYMPTOMS OF OVERDOSE
- 10.2 MANAGEMENT OF OVERDOSE
- 11 DESCRIPTION
- 12.1 MECHANISM OF ACTION
- 12.3 PHARMACOKINETICS
- ABSORPTION
- FOOD EFFECT
- DISTRIBUTION
- METABOLISM
- EXCRETION
- RACE
- HEPATIC IMPAIRMENT
- RENAL IMPAIRMENT
- CARCINOGENICITY
- 14 CLINICAL STUDIES
- 16.1 HOW SUPPLIED
- 16.2 STORAGE AND HANDLING
- 17 PATIENT COUNSELING INFORMATION
- PATIENT INFORMATION
- PRINCIPAL DISPLAY PANEL – 10 MG
Doxylamine Succinate And Pyridoxine Hydrochloride Product Label
The following document was submitted to the FDA by the labeler of this product Mylan Pharmaceuticals Inc.. The document includes published materials associated whith this product with the essential scientific information about this product as well as other prescribing information. Product labels may durg indications and usage, generic names, contraindications, active ingredients, strength dosage, routes of administration, appearance, warnings, inactive ingredients, etc.
1 Indications And Usage
Doxylamine succinate and pyridoxine hydrochloride delayed-release tablets are indicated for the treatment of nausea and vomiting of pregnancy in women who do not respond to conservative management.
Limitations of Use: Doxylamine succinate and pyridoxine hydrochloride delayed-release tablets have not been studied in women with hyperemesis gravidarum.
2.1 Dosage Information
Initially, take two doxylamine succinate and pyridoxine hydrochloride delayed-release tablets orally at bedtime (Day 1). If this dose adequately controls symptoms the next day, continue taking two tablets daily at bedtime. However, if symptoms persist into the afternoon of Day 2, take the usual dose of two tablets at bedtime that night then take three tablets starting on Day 3 (one tablet in the morning and two tablets at bedtime). If these three tablets adequately control symptoms on Day 4, continue taking three tablets daily. Otherwise take four tablets starting on Day 4 (one tablet in the morning, one tablet mid-afternoon and two tablets at bedtime).
The maximum recommended dose is four tablets (one in the morning, one in the mid-afternoon and two at bedtime) daily.
Take on an empty stomach with a glass of water [see Clinical Pharmacology (12.3)]. Swallow tablets whole. Do not crush, chew, or split doxylamine succinate and pyridoxine hydrochloride delayed-release tablets.
Take as a daily prescription and not on an as needed basis. Reassess the woman for continued need for doxylamine succinate and pyridoxine hydrochloride delayed-release tablets as her pregnancy progresses.
3 Dosage Forms And Strengths
Doxylamine Succinate and Pyridoxine Hydrochloride Delayed-Release Tablets are available containing 10 mg of doxylamine succinate, USP and 10 mg of pyridoxine hydrochloride, USP.
• The 10 mg/10 mg tablets are white to off-white, film-coated, round, unscored tablets imprinted with M over DP in black ink on one side of the tablet and blank on the other side.
4 Contraindications
Doxylamine succinate and pyridoxine hydrochloride delayed-release tablets are contraindicated in women with any of the following conditions:
• Known hypersensitivity to doxylamine succinate, other ethanolamine derivative antihistamines, pyridoxine hydrochloride or any inactive ingredient in the formulation• Monoamine oxidase (MAO) inhibitors intensify and prolong the adverse central nervous system effects of doxylamine succinate and pyridoxine hydrochloride delayed-release tablets [see Drug Interactions (7.1)].
5.1 Activities Requiring Mental Alertness
Doxylamine succinate and pyridoxine hydrochloride delayed-release tablets may cause somnolence due to the anticholinergic properties of doxylamine succinate, an antihistamine. Women should avoid engaging in activities requiring complete mental alertness, such as driving or operating heavy machinery, while using doxylamine succinate and pyridoxine hydrochloride delayed-release tablets until cleared to do so by their healthcare provider.
Doxylamine succinate and pyridoxine hydrochloride delayed-release tablets use is not recommended if a woman is concurrently using central nervous system (CNS) depressants including alcohol. The combination may result in severe drowsiness leading to falls or accidents [see Drug Interactions (7.1)].
5.2 Concomitant Medical Conditions
Doxylamine succinate and pyridoxine hydrochloride delayed-release tablets have anticholinergic properties and, therefore, should be used with caution in women with: asthma, increased intraocular pressure, narrow angle glaucoma, stenosing peptic ulcer, pyloroduodenal obstruction and urinary bladder-neck obstruction.
5.3 Interference With Urine Screen For Methadone, Opiates And Phencyclidine Phosphate (Pcp)
There have been reports of false positive urine screening tests for methadone, opiates, and PCP with doxylamine succinate/pyridoxine hydrochloride use [see Drug Interactions (7.3)].
6 Adverse Reactions
The following adverse reactions are discussed elsewhere in the labeling:
• Somnolence [see Warnings and Precautions (5.1)]• Falls or other accidents resulting from the effect of the combined use of doxylamine succinate and pyridoxine hydrochloride delayed-release tablets with CNS depressants including alcohol [see Warnings and Precautions (5.1)]
6.1 Clinical Trial Experience
Because clinical trials are conducted under widely varying conditions, adverse reaction rates observed in the clinical trials of a drug cannot be directly compared to rates in the clinical trials of another drug and may not reflect the rates observed in clinical practice.
The safety and efficacy of doxylamine succinate and pyridoxine hydrochloride delayed-release tablets were compared to placebo in a double-blind, randomized, multi-center trial in 261 women with nausea and vomiting of pregnancy. The mean gestational age at enrollment was 9.3 weeks, range 7 to 14 weeks gestation [see Clinical Studies (14)]. Adverse reactions for doxylamine succinate and pyridoxine hydrochloride delayed-release tablets that occurred at an incidence ≥ 5 percent and exceeded the incidence for placebo are summarized in Table 1.
Doxylamine Succinate and Pyridoxine Hydrochloride Delayed-Release Tablets (N = 133) | Placebo (n = 128) | |
Somnolence | 19 (14.3%) | 15 (11.7%) |
6.2 Postmarketing Experience
The following adverse events, listed alphabetically, have been identified during post-approval use of the combination of 10 mg doxylamine succinate and 10 mg pyridoxine hydrochloride. Because these reactions are reported voluntarily from a population of uncertain size, it is not always possible to reliably estimate their frequency or establish a causal relationship to drug exposure.
Cardiac Disorders: dyspnea, palpitation, tachycardia
Ear and Labyrinth Disorders: vertigo
Eye Disorders: vision blurred, visual disturbances
Gastrointestinal Disorders: abdominal distension, abdominal pain, constipation, diarrhea
General Disorders and Administration Site Conditions: chest discomfort, fatigue, irritability, malaise
Immune System Disorders: hypersensitivity
Nervous System Disorders: dizziness, headache, migraines, paresthesia, psychomotor hyperactivity
Psychiatric Disorders: anxiety, disorientation, insomnia, nightmares
Renal and Urinary Disorders: dysuria, urinary retention
Skin and Subcutaneous Tissue Disorders: hyperhidrosis, pruritus, rash, rash maculo-papular
7.1 Drug Interactions
Use of doxylamine succinate and pyridoxine hydrochloride delayed-release tablets is contraindicated in women who are taking monoamine oxidase inhibitors (MAOIs), which prolong and intensify the anticholinergic (drying) effects of antihistamines. Concurrent use of alcohol and other CNS depressants (such as hypnotic sedatives and tranquilizers) with doxylamine succinate and pyridoxine hydrochloride delayed-release tablets is not recommended.
7.2 Drug-Food Interactions
A food-effect study demonstrated that the delay in the onset of action of doxylamine succinate and pyridoxine hydrochloride delayed-release tablets may be further delayed, and a reduction in absorption may occur when tablets are taken with food [see Dosage and Administration (2), Clinical Pharmacology (12.3)]. Therefore, doxylamine succinate and pyridoxine hydrochloride delayed-release tablets should be taken on an empty stomach with a glass of water [see Dosage and Administration (2)].
7.3 False Positive Urine Tests For Methadone, Opiates And Pcp
False positive drug screens for methadone, opiates, and PCP can occur with doxylamine succinate/pyridoxine hydrochloride use. Confirmatory tests, such as Gas Chromatography Mass Spectrometry (GC-MS), should be used to confirm the identity of the substance in the event of a positive immunoassay result.
Risk Summary
Doxylamine succinate and pyridoxine hydrochloride delayed-release tablets are intended for the treatment of nausea and vomiting of pregnancy in women who do not respond to conservative management. Maternal risks are discussed throughout the labeling. No increased risk for congenital malformations has been reported in epidemiologic studies in pregnant women.
In the U.S. general population, the estimated background risks for major birth defects and miscarriage in clinically recognized pregnancies are 2-4% and 15-20%, respectively.
Human Data
The combination of doxylamine succinate and pyridoxine hydrochloride has been the subject of many epidemiological studies (cohort, case control and meta-analyses) designed to detect possible teratogenicity. A meta-analysis of 16 cohort and 11 case-control studies published between 1963 and 1991 reported no increased risk for malformations from first trimester exposures to doxylamine succinate and pyridoxine hydrochloride, with or without dicyclomine hydrochloride. A second meta-analysis of 12 cohort and 5 case-control studies published between 1963 and 1985 reported no statistically significant relationships between fetal abnormalities and the first trimester use of the combination doxylamine succinate and pyridoxine hydrochloride with or without dicyclomine hydrochloride.
8.2 Lactation
Women should not breastfeed while using doxylamine succinate and pyridoxine hydrochloride delayed-release tablets.
The molecular weight of doxylamine succinate is low enough that passage into breast milk can be expected. Excitement, irritability and sedation have been reported in nursing infants presumably exposed to doxylamine succinate through breast milk. Infants with apnea or other respiratory syndromes may be particularly vulnerable to the sedative effects of doxylamine succinate and pyridoxine hydrochloride resulting in worsening of their apnea or respiratory conditions.
Pyridoxine hydrochloride is excreted into breast milk. There have been no reports of adverse events in infants presumably exposed to pyridoxine hydrochloride through breast milk.
8.4 Pediatric Use
The safety and effectiveness of doxylamine succinate and pyridoxine hydrochloride delayed-release tablets in children under 18 years of age have not been established.
Fatalities have been reported from doxylamine overdose in children. The overdose cases have been characterized by coma, grand mal seizures and cardiorespiratory arrest. Children appear to be at a high risk for cardiorespiratory arrest. A toxic dose for children of more than 1.8 mg/kg has been reported. A 3 year old child died 18 hours after ingesting 1,000 mg doxylamine succinate. However, there is no correlation between the amount of doxylamine ingested, the doxylamine plasma level and clinical symptomatology.
10.1 Signs And Symptoms Of Overdose
Doxylamine succinate and pyridoxine hydrochloride delayed-release tablets are a delayed-release formulation, therefore, signs and symptoms of intoxication may not be apparent immediately.
Signs and symptoms of overdose may include restlessness, dryness of mouth, dilated pupils, sleepiness, vertigo, mental confusion and tachycardia.
At toxic doses, doxylamine exhibits anticholinergic effects, including seizures, rhabdomyolysis, acute renal failure and death.
10.2 Management Of Overdose
If treatment is needed, it consists of gastric lavage or activated charcoal, whole bowel irrigation and symptomatic treatment. For additional information about overdose treatment, call a poison control center (1-800-222-1222).
11 Description
Doxylamine succinate and pyridoxine hydrochloride delayed-release tablets are round, white to off-white, film-coated, delayed-release tablets containing 10 mg of doxylamine succinate and 10 mg of pyridoxine hydrochloride. Tablets are imprinted with M over DP in black ink on one side of the tablet and blank on the other side.
Inactive ingredients are as follows: hypromellose, magnesium stearate, magnesium trisilicate, methacrylic acid copolymer dispersion, microcrystalline cellulose, polyethylene glycol, polysorbate 80, propylene glycol and talc. In addition, the black imprinting ink contains ammonium hydroxide, black iron oxide, propylene glycol and shellac glaze.
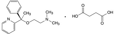
Doxylamine Succinate: Doxylamine succinate is classified as an antihistamine. The chemical name for doxylamine succinate is 2-[α[2-(Dimethylamino)ethoxy]-α-methylbenzyl]pyridine succinate (1:1). The molecular formula is C17H22N2O • C4H6O4 and the molecular mass is 388.46. The structural formula is:
Doxylamine succinate, USP is a white or almost white powder, having a characteristic odor, that is very soluble in water and alcohol, freely soluble in chloroform and very slightly soluble in ether and benzene.
Pyridoxine Hydrochloride: Pyridoxine hydrochloride is a vitamin B6 analog. The chemical name for pyridoxine hydrochloride is 3,4-Pyridinedimethanol, 5-hydroxy-6-methyl-, hydrochloride. The molecular formula is C8H12ClNO3 and the molecular mass is 205.6. The structural formula is:
Pyridoxine hydrochloride, USP is white or practically white crystals or crystalline powder that is freely soluble in water, slightly soluble in alcohol and insoluble in ether.
12.1 Mechanism Of Action
The mechanism of action of doxylamine succinate and pyridoxine hydrochloride delayed-release tablets is unknown.
12.3 Pharmacokinetics
The pharmacokinetics of doxylamine succinate and pyridoxine hydrochloride delayed-release tablets have been characterized in healthy non-pregnant adult women. Pharmacokinetic results for doxylamine and pyridoxine, including its vitamin B6 metabolites, pyridoxal, pyridoxal 5’-phosphate, pyridoxamine and pyridoxamine 5’-phosphate, are summarized in Tables 2 to 5.
Absorption
A single-dose (two tablets) and multiple-dose (four tablets daily), open-label study was conducted to assess the safety and pharmacokinetic profile of doxylamine succinate and pyridoxine hydrochloride delayed-release tablets administered in healthy non-pregnant adult women. Single-doses (two tablets at bedtime) were administered on Days 1 and 2. Multiple-doses (one tablet in the morning, one tablet in the afternoon and two tablets at bedtime) were administered on Days 3-18.
Blood samples for pharmacokinetic analysis were collected pre-and post-dose on Days 2 and 18 as well as pre-dose prior to bedtime dose only (trough) on Days 9, 10, 11, 16, 17, and 18.
Doxylamine and pyridoxine are absorbed in the gastrointestinal tract, mainly in the jejunum.
The Cmax of doxylamine and pyridoxine are achieved within 7.5 and 5.5 hours, respectively (see Table 2).
Single Dose | Multiple Dose | |||||
AUC0-inf (ng•h/mL) | Cmax (ng/mL) | Tmax (h) | AUC0-inf (ng•h/mL) | Cmax (ng/mL) | Tmax (h) | |
Doxylamine | 1280.9 ± 369.3 | 83.3 ± | 7.2 ± | 3721.5 ± 1318.5 | 168.6 ± 38.5 | 7.8 ± |
Pyridoxine | 43.4 ± | 32.6 ± | 5.7 ± | 64.5 ± 36.4 | 46.1 ± | 5.6 ± |
Pyridoxal | 211.6 | 74.3 ± | 6.5 ± | 1587.2 ± 550.0 | 210.0 ± | 6.8 ± |
Pyridoxal 5’-Phosphate | 1536.4 | 30.0 ± | 11.7 ± | 6099.7 ± 1383.7 | 84.9 ± | 6.3 ± |
Pyridoxamine | 4.1 ± | 0.5 ± | 5.9 ± | 2.6 ± | 0.5 ± | 6.6 ± |
Pyridoxamine 5’-Phosphate | 5.2 ± | 0.7 ± | 14.8 ± | 94.5 ± | 2.3 ± | 12.4 ± 11.2 |
Multiple- dose administration of doxylamine succinate and pyridoxine hydrochloride delayed-release tablets results in increased concentrations of doxylamine as well as increases in doxylamine Cmax and AUC0-last of absorption. The time to reach the maximum concentration is not affected by multiple doses. The mean accumulation index is more than 1.0 suggesting that doxylamine accumulates following multiple dosing (see Table 3).
Although no accumulation was observed for pyridoxine, the mean accumulation index for each metabolite (pyridoxal, pyridoxal 5’-phosphate, and pyridoxamine 5’-phosphate) is more than 1.0 following multiple-dose administration of doxylamine succinate and pyridoxine hydrochloride delayed-release tablets. The time to reach the maximum concentration is not affected by multiple doses (see Table 2).
AUC0-last (ng•h/mL) | AUC0-inf (ng•h/mL) | Cmax (ng/mL) | Tmax (h) | T1/2el (h) | ||
Doxylamine N = 18 | Single | 911.4 ± 205.6 | 1280.9 ± 369.3 | 83.3 ± | 7.2 ± | 10.1 ± |
Multiple | 3661.3 ± 1279.2 | 3721.5 ± 1318.5 | 168.6 ± 38.5 | 7.8 ± | 11.9 ± | |
Pyridoxine | Single | 39.3 ± | 43.4 ± | 32.6 ± | 5.7 ± | 0.5 ± |
Multiple | 59.3 ± | 64.5 ± | 46.1 ± | 5.6 ± | 0.5 ± | |
Food Effect
The administration of food delays the absorption of both doxylamine and pyridoxine. This delay is associated with a lower peak concentration of doxylamine, but the extent of absorption is not affected (see Table 4).
The effect of food on the peak concentration and the extent of absorption of the pyridoxine component is more complex because the pyridoxal, pyridoxamine, pyridoxal 5’-phosphate and pyridoxamine 5’-phosphate metabolites also contribute to the biological activity. Food significantly reduces the bioavailability of pyridoxine, lowering its Cmax and AUC by approximately 50% compared to fasting conditions. Similarly, food significantly reduces pyridoxal AUC and reduces its Cmax by 50% compared to fasting conditions. In contrast, food slightly increases pyridoxal 5’-phosphate Cmax and extent of absorption. As for pyridoxamine and pyridoxamine 5’-phosphate, the rate and extent of absorption seem to decrease under fed conditions.
AUC0-t (ng•h/mL) | AUC0-inf (ng•h/mL) | Cmax (ng/mL) | Tmax | T1/2el | ||
Doxylamine | Fasted | 1407.2 ± 336.9 | 1447.9 ± 332.2 | 94.9 ± | 5.1 ± | 12.6 ± |
Fed | 1488.0 ± 463.2 | 1579.0 ± 422.7 N = 37 | 75.7 ± | 14.9 ± | 12.5 ± | |
Pyridoxine | Fasted | 33.8 ± | 39.5 ± N = 31 | 35.5 ± | 2.5 ± | 0.4 ± |
Fed | 18.3 ± | 24.2 ± N = 18 | 13.7 ± | 9.3 ± | 0.5 ± | |
Distribution
Pyridoxine is highly protein bound, primarily to albumin. Its main active metabolite, pyridoxal 5’-phosphate (PLP) accounts for at least 60% of circulating vitamin B6 concentrations.
Metabolism
Doxylamine is biotransformed in the liver by N-dealkylation to its principle metabolites N-desmethyl-doxylamine and N, N-didesmethyldoxylamine.
Pyridoxine is a prodrug primarily metabolized in the liver.
Excretion
The principle metabolites of doxylamine, N-desmethyl-doxylamine and N, N-didesmethyldoxylamine, are excreted by the kidney.
The terminal elimination half-life of doxylamine and pyridoxine are 12.5 hours and 0.5 hours, respectively (see Table 5).
T1/2el (h) | |
Doxylamine | 12.6 ± 3.4 |
Pyridoxine | 0.4 ± 0.2 |
Pyridoxal | 2.1 ± 2.2 |
Pyridoxal 5’-Phosphate | 81.6 ± 42.2 |
Pyridoxamine | 3.1 ± 2.5 |
Pyridoxamine 5’-Phosphate | 66.5 ± 51.3 |
Race
No pharmacokinetic studies have been conducted related to race.
Hepatic Impairment
No pharmacokinetic studies have been conducted in hepatic impaired patients.i
Renal Impairment
No pharmacokinetic studies have been conducted in renal impaired patients.
Carcinogenicity
Two-year carcinogenicity studies in rats and mice have been conducted with doxylamine succinate. Doxylamine succinate is not likely to have human carcinogenic potential. The carcinogenic potential of pyridoxine hydrochloride has not been evaluated.
14 Clinical Studies
A double-blind, randomized, multi-center, placebo-controlled study was conducted to support the safety and efficacy of doxylamine succinate and pyridoxine hydrochloride delayed-release tablets in the treatment of nausea and vomiting of pregnancy. Adult women 18 years of age or older and 7 to 14 weeks gestation (median 9 weeks of gestation) with nausea and vomiting of pregnancy were randomized to 14 days of doxylamine succinate and pyridoxine hydrochloride delayed-release tablets or placebo. Two tablets of doxylamine succinate and pyridoxine hydrochloride were administered at bedtime on Day 1. If symptoms of nausea and vomiting persisted into the afternoon hours of Day 2, the woman was directed to take her usual dose of two tablets at bedtime that night and, beginning on Day 3, to take one tablet in the morning and two tablets at bedtime. Based upon assessment of remaining symptoms at her clinic visit on Day 4 (± 1 day), the woman may have been directed to take an additional tablet mid-afternoon. A maximum of four tablets (one in the morning, one in the mid-afternoon and two at bedtime) were taken daily.
Over the treatment period, 19% of doxylamine succinate and pyridoxine hydrochloride delayed-release tablets-treated patients remained on 2 tablets daily, 21% received 3 tablets daily, and 60% received 4 tablets daily.
The primary efficacy endpoint was the change from baseline at Day 15 in the Pregnancy Unique-Quantification of Emesis (PUQE) score. The PUQE score incorporates the number of daily vomiting episodes, number of daily heaves, and length of daily nausea in hours, for an overall score of symptoms rated from 3 (no symptoms) to 15 (most severe).
At baseline, the mean PUQE score was 9.0 in the doxylamine succinate and pyridoxine hydrochloride delayed-release tablets arm and 8.8 in the placebo arm. There was a 0.7 (95% confidence interval 0.2 to 1.2 with p-value 0.006) mean decrease (improvement in nausea and vomiting symptoms) from baseline in PUQE score at Day 15 with doxylamine succinate and pyridoxine hydrochloride delayed-release tablets compared to placebo (see Table 6).
PUQE Score The Pregnancy-Unique Quantification of Emesis and Nausea (PUQE) score incorporated the number of daily vomiting episodes, number of daily heaves, and length of daily nausea in hours, for an overall score of symptoms rated from 3 (no symptoms) to 15 (most severe). Baseline was defined as the PUQE score completed at the enrollment visit. | Doxylamine Succinate | Placebo | Treatment Difference [95% Confidence |
Baseline Change from baseline at Day 15 | 9.0 ± 2.1 -4.8 ± 2.7 | 8.8 ± 2.1 -3.9 ± 2.6 | -0.7 [-1.2, -0.2] |
16.1 How Supplied
Doxylamine Succinate and Pyridoxine Hydrochloride Delayed-Release Tablets are available containing 10 mg of doxylamine succinate, USP and 10 mg of pyridoxine hydrochloride, USP.
The 10 mg/10 mg tablets are white to off-white, film-coated, round, unscored tablets imprinted with M over DP in black ink on one side of the tablet and blank on the other side. They are available as follows:
NDC 0378-4615-01
bottles of 100 tablets
16.2 Storage And Handling
Store at 20° to 25°C (68° to 77°F). [See USP Controlled Room Temperature.] Keep bottle tightly closed. Protect from moisture and light. Do not remove desiccant from bottle.
Dispense in original container or equivalent air tight, light resistant container.
17 Patient Counseling Information
See FDA-approved patient labeling (Patient Information)
Somnolence and Severe Drowsiness: Inform women to avoid engaging in activities requiring complete mental alertness, such as driving or operating heavy machinery, while using doxylamine succinate and pyridoxine hydrochloride delayed-release tablets until cleared to do so.
Inform women of the importance of not taking doxylamine succinate and pyridoxine hydrochloride delayed-release tablets with alcohol or sedating medications, including other antihistamines (present in some cough and cold medications), opiates and sleep aids because somnolence could worsen leading to falls or other accidents.
Interference with Urine Drug Screening: Inform women that use of doxylamine succinate and pyridoxine hydrochloride delayed-release tablets may result in false positive urine drug screening for methadone, opiates and PCP.
Patient Information
Doxylamine Succinate and Pyridoxine Hydrochloride Delayed-Release Tablets (dox il′ a meen sux′ i nate pir″ i dox′ een hye″ droe klor′ ide) |
What are doxylamine succinate and pyridoxine hydrochloride delayed-release tablets?
|
Who should not take doxylamine succinate and pyridoxine hydrochloride delayed-release tablets? Do not take doxylamine succinate and pyridoxine hydrochloride delayed-release tablets if you:
|
Before taking doxylamine succinate and pyridoxine hydrochloride delayed-release tablets, tell your healthcare provider about all of your medical conditions, including if you:
Tell your healthcare provider about all the medicines you take, including prescription or over-the-counter medicines, vitamins, or herbal supplements. |
How should I take doxylamine succinate and pyridoxine hydrochloride delayed-release tablets?
|
What are the possible side effects of doxylamine succinate and pyridoxine hydrochloride delayed-release tablets? Doxylamine succinate and pyridoxine hydrochloride delayed-release tablets may cause serious side effects, including drowsiness. Drowsiness is a common side effect when taking doxylamine succinate and pyridoxine hydrochloride delayed-release tablets, but can also be severe:
Doxylamine succinate and pyridoxine hydrochloride delayed-release tablets may cause false positive urine drug screening test for methadone, opiates and PCP. These are not all the possible side effects of doxylamine succinate and pyridoxine hydrochloride delayed-release tablets. Call your doctor for medical advice about side effects. You may report side effects to FDA at 1-800-FDA-1088. |
How should I store doxylamine succinate and pyridoxine hydrochloride delayed-release tablets?
Keep doxylamine succinate and pyridoxine hydrochloride delayed-release tablets and all medicines out of the reach of children. |
General information about the safe and effective use of doxylamine succinate and pyridoxine hydrochloride delayed-release tablets. Medicines are sometimes prescribed for purposes other than those listed in a Patient Information leaflet. You can ask your pharmacist or healthcare provider for information about doxylamine succinate and pyridoxine hydrochloride delayed-release tablets that is written for health professionals. Do not use doxylamine succinate and pyridoxine hydrochloride delayed-release tablets for a condition for which they were not prescribed. Do not give doxylamine succinate and pyridoxine hydrochloride delayed-release tablets to other people, even if they have the same symptoms that you have. They may harm them. |
What are the ingredients in doxylamine succinate and pyridoxine hydrochloride delayed-release tablets? Active ingredients: doxylamine succinate (an antihistamine) and pyridoxine hydrochloride (vitamin B6). Inactive ingredients: hypromellose, magnesium stearate, magnesium trisilicate, methacrylic acid copolymer dispersion, microcrystalline cellulose, polyethylene glycol, polysorbate 80, propylene glycol and talc. In addition, the black imprinting ink contains ammonium hydroxide, black iron oxide, propylene glycol and shellac glaze. For more information, call Mylan at 1-877-446-3679 (1-877-4-INFO-RX). Manufactured for: Mylan Pharmaceuticals Inc., Morgantown, WV 26505 U.S.A. Manufactured by: Mylan Laboratories Limited, Hyderabad – 500 096, India |
This Patient Information has been approved by the U.S. Food and Drug Administration
The brands listed are trademarks of their respective owners.
Manufactured for:
Mylan Pharmaceuticals Inc.
Morgantown, WV 26505 U.S.A.
Manufactured by:
Mylan Laboratories Limited
Hyderabad – 500 096, India
75059980
Revised: 1/2019
MX:DXPY:R1
Principal Display Panel – 10 Mg
NDC 0378-4615-01
Doxylamine
Succinate and
Pyridoxine HCl
Delayed-Release
Tablets
10 mg/10 mg
WARNING: Swallow tablets whole.
Do not crush, chew, or split the tablets.
Rx only 100 Tablets
Each film-coated tablet contains:
Doxylamine succinate, USP 10 mg
Pyrixodine hydrochloride, USP 10 mg
Usual Dosage: Take two tablets daily at
bedtime. If symptoms are not adequately
controlled, the dose can be increased to a
maximum recommended dose of four tablets
daily (one in the morning, one mid-afternoon
and two at bedtime). See accompanying
prescribing information.
Store at 20° to 25°C (68° to 77°F). [See
USP Controlled Room Temperature.]
Protect from moisture and light.
Manufactured for:
Mylan Pharmaceuticals Inc.
Morgantown, WV 26505 U.S.A.
Made in India
Mylan.com
RMX4615A
Keep this and all medication out of the
reach of children.
Dispense in original container or equivalent
air tight, light resistant container.
Keep container tightly closed.
Code No.: MH/DRUGS/25/NKD/89
* Please review the disclaimer below.

