Product Images Emtricitabine, Rilpivirine, Tenofovir Disoproxil Fumarate

View Photos of Packaging, Labels & Appearance

Product Label Images

The following 4 images provide visual information about the product associated with Emtricitabine, Rilpivirine, Tenofovir Disoproxil Fumarate NDC 0378-5440 by Mylan Pharmaceuticals Inc., such as packaging, labeling, and the appearance of the drug itself. This resource could be helpful for medical professionals, pharmacists, and patients seeking to verify medication information and ensure they have the correct product.

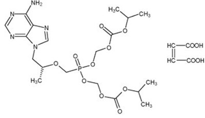
Emtricitabine Structural Formula - image 01

Emtricitabine Structural Formula - image 01

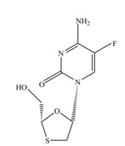
Rilpivirine hydrochloride structural formula - image 02

Rilpivirine hydrochloride structural formula - image 02

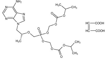
TDF structural formula - image 03

TDF structural formula - image 03

Emtricitabine, Rilpivirine and Tenofovir Disoproxil Fumarate Tablets Carton Label - image 04

Emtricitabine, Rilpivirine and Tenofovir Disoproxil Fumarate Tablets Carton Label - image 04

This text provides information about a medication containing Emtricitabine, Rilpivirine, and Tenofovir Disoproxil, at specific dosages. The dosage form is in tablets (200 mg/25 mg/300 mg). It mentions keeping the medication out of reach, dispensing in the original container, and cautions against alcohol use. The medication is manufactured by a company named Topharmazit and Mylan®. The text also includes references to lot number, expiration date, and variable data coding.*

* The product label images have been analyzed using a combination of traditional computing and machine learning techniques. It should be noted that the descriptions provided may not be entirely accurate as they are experimental in nature. Use the information in this page at your own discretion and risk.