FDA Label for Amiodarone Hydrochloride
View Indications, Usage & Precautions
- 1 INDICATIONS AND USAGE
- 2 DOSAGE AND ADMINISTRATION
- 3 DOSAGE FORMS AND STRENGTHS
- 4 CONTRAINDICATIONS
- 5 WARNINGS AND PRECAUTIONS
- 6 ADVERSE REACTIONS
- 7 DRUG INTERACTIONS
- 8 USE IN SPECIFIC POPULATIONS
- 10 OVERDOSAGE
- 11 DESCRIPTION
- 12 CLINICAL PHARMACOLOGY
- 13 NONCLINICAL TOXICOLOGY
- 14 CLINICAL STUDIES
- 16 HOW SUPPLIED/STORAGE AND HANDLING
- 17 PATIENT COUNSELING
- SAMPLE PACKAGE LABEL
Amiodarone Hydrochloride Product Label
The following document was submitted to the FDA by the labeler of this product Henry Schein, Inc.. The document includes published materials associated whith this product with the essential scientific information about this product as well as other prescribing information. Product labels may durg indications and usage, generic names, contraindications, active ingredients, strength dosage, routes of administration, appearance, warnings, inactive ingredients, etc.
1 Indications And Usage
Amiodarone Hydrochloride Injection, USP is indicated for initiation of treatment and prophylaxis of frequently recurring ventricular fibrillation (VF) and hemodynamically unstable ventricular tachycardia (VT) in patients refractory to other therapy. Amiodarone Hydrochloride Injection, USP also can be used to treat patients with VT/VF for whom oral amiodarone is indicated, but who are unable to take oral medication. During or after treatment with Amiodarone Hydrochloride Injection, USP patients may be transferred to oral amiodarone therapy [see Dosage and Administration (2)].
Use Amiodarone Hydrochloride Injection, USP for acute treatment until the patient's ventricular arrhythmias are stabilized. Most patients will require this therapy for 48 to 96 hours, but Amiodarone Hydrochloride Injection may be safely administered for longer periods if necessary.
2 Dosage And Administration
Amiodarone shows considerable interindividual variation in response. Although a starting dose adequate to suppress life-threatening arrhythmias is needed, close monitoring with adjustment of dose is essential. The recommended starting dose of amiodarone is about 1000 mg over the first 24 hours of therapy, delivered by the following infusion regimen:
After the first 24 hours, continue the maintenance infusion rate of 0.5 mg/min (720 mg per 24 hours) utilizing a concentration of 1 to 6 mg/mL (Use a central venous catheter for amiodarone concentrations greater than 2 mg/mL). The rate of the maintenance infusion may be increased to achieve effective arrhythmia suppression.
In the event of breakthrough episodes of VF or hemodynamically unstable VT, use 150 mg supplemental infusions of amiodarone (mixed in 100 mL of D5W and infused over 10 minutes to minimize the potential for hypotension).
The first 24-hour dose may be individualized for each patient; however, in controlled clinical trials, mean daily doses above 2100 mg were associated with an increased risk of hypotension. Do not exceed an initial infusion rate of 30 mg/min.
Based on the experience from clinical studies of intravenous amiodarone, a maintenance infusion of up to 0.5 mg/min can be continued for 2 to 3 weeks regardless of the patient's age, renal function, or left ventricular function. There has been limited experience in patients receiving intravenous amiodarone for longer than 3 weeks.
The surface properties of solutions containing injectable amiodarone are altered such that the drop size may be reduced. This reduction may lead to underdosage of the patient by up to 30% if drop counter infusion sets are used. Amiodarone must be delivered by a volumetric infusion pump.
Administer amiodarone, whenever possible, through a central venous catheter dedicated to that purpose. Use an in-line filter during administration.
Intravenous amiodarone loading infusions at much higher concentrations and rates of infusion much faster than recommended have resulted in hepatocellular necrosis and acute renal failure, leading to death [see Warnings and Precautions (5.3)].
Intravenous amiodarone concentrations greater than 3 mg/mL in D5W have been associated with a high incidence of peripheral vein phlebitis; however, concentrations of 2.5 mg/mL or less appear to be less irritating. Therefore, for infusions longer than 1 hour, do not exceed amiodarone concentrations of 2 mg/mL, unless a central venous catheter is used [see Adverse Reactions (6.2)].
Amiodarone infusions exceeding 2 hours must be administered in glass or polyolefin bottles containing D5W. Do not use evacuated glass containers for admixing, as incompatibility with a buffer in the container may cause precipitation.
Amiodarone adsorbs to polyvinyl chloride (PVC) tubing, but all of the clinical experience has been with PVC tubing and the concentrations and rates of infusion provided in DOSAGE AND ADMINISTRATION reflect dosing in these studies.
Amiodarone has been found to leach out plasticizers, including DEHP [di-(2-ethylhexyl)phthalate] from intravenous tubing (including PVC tubing). The degree of leaching increases when infusing amiodarone at higher concentrations and lower flow rates than provided in DOSAGE AND ADMINISTRATION. Polysorbate 80, a component of amiodarone injection, is also known to leach DEHP from PVC [see Description (11)].
Amiodarone does not need to be protected from light during administration.
NOTE: Inspect parenteral drug products for particulate matter and discoloration prior to administration, whenever solution and container permit.
Admixture Incompatibility
Amiodarone in D5W is incompatible with the drugs shown in Table 3.
Intravenous to Oral Transition
Patients whose arrhythmias have been suppressed by amiodarone may be switched to oral amiodarone. When changing to oral amiodarone therapy, clinical monitoring is recommended, particularly for elderly patients. See package insert for oral amiodarone.
Since grapefruit juice is known to inhibit CYP3A-mediated metabolism of oral amiodarone in the intestinal mucosa, resulting in increased plasma levels of amiodarone, do not drink grapefruit juice during treatment with oral amiodarone [see Drug Interactions (7)].
Table 4 provides suggested doses of oral amiodarone to be initiated after varying durations of amiodarone administration. These recommendations are made on the basis of a similar total body amount of amiodarone delivered by the intravenous and oral routes, based on 50% bioavailability of oral amiodarone.
3 Dosage Forms And Strengths
Injection, 50 mg/mL
4 Contraindications
Amiodarone is contraindicated in patients with:
- Known hypersensitivity to any of the components of amiodarone, including iodine. Hypersensitivity reactions may involve rash, angioedema, cutaneous/mucosal hemorrhage (bleeding), fever, arthralgias (joint pains), eosinophilia (abnormal blood counts), urticaria (hives), thrombotic thrombocytopenic purpura, or severe periarteritis (inflammation around blood vessels).
- Cardiogenic shock.
- Marked sinus bradycardia.
- Second- or third-degree atrio-ventricular (AV) block unless a functioning pacemaker is available.
5 Warnings And Precautions
Amiodarone should be administered only by physicians who are experienced in the treatment of life-threatening arrhythmias, who are thoroughly familiar with the risks and benefits of amiodarone therapy, and who have access to facilities adequate for monitoring the effectiveness and side effects of treatment.
5.1 Hypotension
Hypotension is the most common adverse reaction seen with intravenous amiodarone. In clinical trials, treatment-emergent, drug-related hypotension was reported as an adverse effect in 288 (16%) of 1836 patients treated with intravenous amiodarone. Clinically significant hypotension during infusions was seen most often in the first several hours of treatment and was not dose related, but appeared to be related to the rate of infusion. Hypotension necessitating alterations in intravenous amiodarone therapy was reported in 3% of patients, with permanent discontinuation required in less than 2% of patients.
Treat hypotension initially by slowing the infusion; additional standard therapy may be needed, including the following: vasopressor drugs, positive inotropic agents, and volume expansion. Monitor the initial rate of infusion closely and do not exceed the recommended rate [see Dosage and Administration (2)].
In some cases, hypotension may be refractory and result in a fatal outcome [see Adverse Reactions (6.2)].
5.2 Bradycardia and Atrio-ventricular Block
In 90 (4.9%) of 1836 patients in clinical trials, drug-related bradycardia that was not dose-related occurred while they were receiving intravenous amiodarone for life-threatening VT/VF. Treat bradycardia by slowing the infusion rate or discontinuing amiodarone. In some patients, a pacemaker is required. Despite such measures, bradycardia was progressive and terminal in 1 patient during the controlled trials. Treat patients with a known predisposition to bradycardia or AV block with amiodarone in a setting where a temporary pacemaker is available.
5.3 Liver Enzyme Elevations
Elevations of blood hepatic enzyme values [alanine aminotransferase (ALT), aspartate aminotransferase (AST), and gamma-glutamyl transferase (GGT)] are commonly seen in patients with immediately life-threatening VT/VF. Interpreting elevated AST activity can be difficult because the values may be elevated in patients who have had recent myocardial infarction, congestive heart failure, or multiple electrical defibrillations. Approximately 54% of patients receiving intravenous amiodarone in clinical studies had baseline liver enzyme elevations, and 13% had clinically significant elevations. In 81% of patients with both baseline and on-therapy data available, the liver enzyme elevations either improved during therapy or remained at baseline levels. Baseline abnormalities in hepatic enzymes are not a contraindication to treatment.
Acute, centrolobular confluent hepatocellular necrosis leading to hepatic coma, acute renal failure, and death has been associated with the administration of intravenous amiodarone at a much higher loading dose concentration and much faster rate of infusion than recommended (see Dosage and Administration (2)).
In patients with life-threatening arrhythmias, the potential risk of hepatic injury should be weighed against the potential benefit of amiodarone therapy. Carefully monitor patients receiving amiodarone for evidence of progressive hepatic injury. In such cases, consider reducing the rate of administration or withdrawing amiodarone.
5.4 Proarrhythmia
Amiodarone may cause a worsening of existing arrhythmias or precipitate a new arrhythmia. Proarrhythmia, primarily torsade de pointes (TdP), has been associated with prolongation, by intravenous amiodarone, of the QTc interval to 500 ms or greater. Although QTc prolongation occurred frequently in patients receiving intravenous amiodarone, TdP or new-onset VF occurred infrequently (less than 2%). Monitor patients for QTc prolongation during infusion with amiodarone. Reserve the combination of amiodarone with other antiarrhythmic therapies that prolong the QTc to patients with life-threatening ventricular arrhythmias who are incompletely responsive to a single agent.
Fluoroquinolones, macrolide antibiotics, and azoles are known to cause QTc prolongation. There have been reports of QTc prolongation, with or without TdP, in patients taking amiodarone when fluoroquinolones, macrolide antibiotics, or azoles were administered concomitantly [see Drug Interactions (7)].
Amiodarone causes thyroid dysfunction in some patients, which may lead to potentially fatal breakthrough or exacerbated arrhythmias.
5.5 Pulmonary Disorders
Early-onset Pulmonary Toxicity
There have been postmarketing reports of acute-onset (days to weeks) pulmonary injury in patients treated with intravenous amiodarone. Findings have included pulmonary infiltrates and masses on X-ray, bronchospasm, wheezing, fever, dyspnea, cough, hemoptysis, and hypoxia. Some cases have progressed to respiratory failure or death.
ARDS
Two percent (2%) of patients were reported to have adult respiratory distress syndrome (ARDS) during clinical studies involving 48 hours of therapy.
Pulmonary Fibrosis
Only 1 of more than 1000 patients treated with intravenous amiodarone in clinical studies developed pulmonary fibrosis. In that patient, the condition was diagnosed 3 months after treatment with intravenous amiodarone, during which time the patient received oral amiodarone. Pulmonary toxicity is a well-recognized complication of long-term amiodarone use (see package insert for oral amiodarone).
5.6 Loss of Vision
Cases of optic neuropathy and optic neuritis, usually resulting in visual impairment, have been reported in patients treated with oral amiodarone. In some cases, visual impairment has progressed to permanent blindness. Optic neuropathy and neuritis may occur at any time following initiation of therapy. A causal relationship to the drug has not been clearly established. Perform an ophthalmic examination if symptoms of visual impairment appear, such as changes in visual acuity and decreases in peripheral vision. Re-evaluate the necessity of amiodarone therapy if optic neuropathy or neuritis is suspected. Perform regular ophthalmic examination, including fundoscopy and slit-lamp examination, during administration of amiodarone.
5.7 Long-Term Use
There has been limited experience in patients receiving intravenous amiodarone for longer than 3 weeks. See package insert for oral amiodarone.
5.8 Thyroid Abnormalities
Amiodarone inhibits peripheral conversion of thyroxine (T4) to triiodothyronine (T3) and may cause increased T4 levels, decreased T3 levels, and increased levels of inactive reverse T3 (rT3) in clinically euthyroid patients. Amiodarone is also a potential source of large amounts of inorganic iodine and can cause either hypothyroidism or hyperthyroidism. Evaluate thyroid function prior to treatment and periodically thereafter, particularly in elderly patients, and in any patient with a history of thyroid nodules, goiter, or other thyroid dysfunction. Because of the slow elimination of amiodarone and its metabolites, high plasma iodide levels, altered thyroid function, and abnormal thyroid-function tests may persist for months following amiodarone withdrawal.
There have been postmarketing reports of thyroid nodules/thyroid cancer in patients treated with amiodarone. In some instances hyperthyroidism was also present [see Adverse Reactions (6.2)].
Hyperthyroidism and Thyrotoxicosis
Hyperthyroidism occurs in about 2% of patients receiving amiodarone, but the incidence may be higher among patients with prior inadequate dietary iodine intake. Amiodarone-induced hyperthyroidism usually poses a greater hazard to the patient than hypothyroidism because of the possibility of thyrotoxicosis and arrhythmia breakthrough or aggravation, all of which may result in death. There have been reports of death associated with amiodarone-induced thyrotoxicosis. Consider the possibility of hyperthyroidism if any new signs of arrhythmia appear.
Identify hyperthyroidism by relevant clinical signs and symptoms, subnormal serum levels of thyroid stimulating hormone (TSH), abnormally elevated serum free T4, and elevated or normal serum T3. Since arrhythmia breakthroughs may accompany amiodarone-induced hyperthyroidism, aggressive medical treatment is indicated, including, if possible, dose reduction or withdrawal of amiodarone. Amiodarone hyperthyroidism may be followed by a transient period of hypothyroidism.
The institution of antithyroid drugs, β-adrenergic blockers or temporary corticosteroid therapy may be necessary. The action of antithyroid drugs may be especially delayed in amiodarone-induced thyrotoxicosis because of substantial quantities of preformed thyroid hormones stored in the gland. Radioactive iodine therapy is contraindicated because of the low radioiodine uptake associated with amiodarone-induced hyperthyroidism.
When aggressive treatment of amiodarone-induced thyrotoxicosis has failed or amiodarone cannot be discontinued because it is the only drug effective against the resistant arrhythmia, surgical management may be an option. Experience with thyroidectomy as a treatment for amiodarone-induced thyrotoxicosis is limited, and this form of therapy could induce thyroid storm. Therefore, surgical and anesthetic management require careful planning.
Neonatal Hypo- or Hyperthyroidism
Amiodarone can cause fetal harm when administered to a pregnant woman. Although amiodarone use during pregnancy is uncommon, there have been a small number of published reports of congenital goiter/hypothyroidism and hyperthyroidism associated with oral administration. Inform the patient of the potential hazard to the fetus if amiodarone is administered during pregnancy or if the patient becomes pregnant while taking amiodarone.
Hypothyroidism
Hypothyroidism has been reported in 2 to 4% of patients in most series, but in 8 to 10% in some series. This condition may be identified by relevant clinical symptoms and particularly by elevated serum TSH levels. In some clinically hypothyroid amiodarone-treated patients, free thyroxine index values may be normal. Manage hypothyroidism by reducing the amiodarone dose and considering the need for thyroid hormone supplement. However, therapy must be individualized, and it may be necessary to discontinue amiodarone in some patients.
5.9 Surgery
Perform close perioperative monitoring in patients undergoing general anesthesia who are on amiodarone therapy as they may be more sensitive to the myocardial depressant and conduction defects of halogenated inhalational anesthetics.
5.10 Corneal Refractive Laser Surgery
Advise patients that most manufacturers of corneal refractive laser surgery devices contraindicate corneal refractive laser surgery in patients taking amiodarone.
5.11 Electrolyte Disturbances
Correct hypokalemia or hypomagnesemia whenever possible before initiating treatment with amiodarone, as these disorders can exaggerate the degree of QTc prolongation and increase the potential for TdP. Give special attention to electrolyte and acid-base balance in patients experiencing severe or prolonged diarrhea or in patients receiving concomitant diuretics.
6 Adverse Reactions
6.1 Clinical Trials Experience
Because clinical trials are conducted under widely varying conditions, adverse reaction rates observed in the clinical trials of a drug cannot be directly compared to rates in the clinical trials of another drug and may not reflect the rates observed in practice.
In a total of 1836 patients in controlled and uncontrolled clinical trials, 14% of patients received intravenous amiodarone for at least one week, 5% received it for at least 2 weeks, 2% received it for at least 3 weeks, and 1% received it for more than 3 weeks, without an increased incidence of severe adverse reactions. The mean duration of therapy in these studies was 5.6 days; median exposure was 3.7 days.
The most important adverse reactions were hypotension, asystole/cardiac arrest/pulseless electrical activity (PEA), cardiogenic shock, congestive heart failure, bradycardia, liver function test abnormalities, VT, and AV block. Overall, treatment was discontinued for about 9% of the patients because of adverse reactions. The most common adverse reactions leading to discontinuation of intravenous amiodarone therapy were hypotension (1.6%), asystole/cardiac arrest/PEA (1.2%), VT (1.1%), and cardiogenic shock (1%).
Table 5 lists the most common (incidence ≥2%) adverse reactions during intravenous amiodarone therapy considered at least possibly drug-related. These data were collected in clinical trials involving 1836 patients with life-threatening VT/VF. Data from all assigned treatment groups are pooled because none of the adverse reactions appeared to be dose-related.
Other adverse reactions reported in less than 2% of patients receiving intravenous amiodarone in controlled and uncontrolled studies included the following: abnormal kidney function, atrial fibrillation, diarrhea, increased ALT, increased AST, lung edema, nodal arrhythmia, prolonged QT interval, respiratory disorder, shock, sinus bradycardia, Stevens-Johnson syndrome, thrombocytopenia, VF, and vomiting.
6.2 Postmarketing Experience
The following adverse reactions have been identified during post-approval use of amiodarone. Because these reactions are reported voluntarily from a population of uncertain size, it is not always possible to reliably estimate their frequency or establish a causal relationship to drug exposure.
Body as a Whole: anaphylactic/anaphylactoid reaction (including shock), fever
Cardiovascular: hypotension (sometimes fatal), sinus arrest
Dermatologic: toxic epidermal necrolysis (sometimes fatal), exfoliative dermatitis, erythema multiforme, Stevens-Johnson syndrome, skin cancer, pruritus, angioedema
Endocrine: syndrome of inappropriate antidiuretic hormone secretion (SIADH)
Hematologic: pancytopenia, neutropenia, hemolytic anemia, aplastic anemia, thrombocytopenia, agranulocytosis, granuloma
Hepatic: hepatitis, cholestatic hepatitis, cirrhosis
Injection Site Reactions: pain, erythema, edema, pigment changes, venous thombosis, phlebitis, thrombophlebitis, cellulitis, necrosis, and skin sloughing
Musculoskeletal: myopathy, muscle weakness, rhabdomyolysis
Nervous System: hallucination, confusional state, disorientation, and delirium, pseudotumor cerebri
Pancreatic: pancreatitis
Renal: renal impairment, renal insufficiency, acute renal failure
Respiratory: bronchospasm, possibly fatal respiratory disorders (including distress, failure, arrest and ARDS), bronchiolitis obliterans organizing pneumonia (possibly fatal), dyspnea, cough, hemoptysis, wheezing, hypoxia, pulmonary infiltrates, and /or mass, pleuritis
Thyroid: thyroid nodules/thyroid cancer
Vascular: vasculitis
7 Drug Interactions
Amiodarone is metabolized to the active metabolite desethylamiodarone by the cytochrome P450 (CYP450) enzyme group, specifically cytochromes P4503A4 (CYP3A) and CYP2C8. The CYP3A isoenzyme is present in both the liver and intestines.
Amiodarone is an inhibitor of CYP3A. Therefore, amiodarone has the potential for interactions with drugs or substances that may be substrates, inhibitors or inducers of CYP3A. While only a limited number of in vivo drug-drug interactions with amiodarone have been reported, chiefly with the oral formulation, the potential for other interactions should be anticipated. This is especially important for drugs associated with serious toxicity, such as other antiarrhythmics. If such drugs are needed, reassess their dose and, where appropriate, measure plasma concentrations. In view of the long and variable half-life of amiodarone, potential for drug interactions exists not only with concomitant medication but also with drugs administered after discontinuation of amiodarone.
Since amiodarone is a substrate for CYP3A and CYP2C8, drugs/substances that inhibit these isoenzymes may decrease the metabolism and increase serum concentration of amiodarone. Reported examples include the following:
Protease inhibitors:
Protease inhibitors are known to inhibit CYP3A to varying degrees. A case report of one patient taking amiodarone 200 mg and indinavir 800 mg three times a day resulted in increases in amiodarone concentrations from 0.9 mg/L to 1.3 mg/L. DEA concentrations were not affected. There was no evidence of toxicity. Consider monitoring for amiodarone toxicity and serial measurement of amiodarone serum concentration during concomitant protease inhibitor therapy.
Histamine H1 antagonists:
Loratadine, a non-sedating antihistaminic, is metabolized primarily by CYP3A. QT interval prolongation and TdP have been reported with the coadministration of loratadine and amiodarone.
Histamine H2 antagonists:
Cimetidine inhibits CYP3A and can increase serum amiodarone levels.
Antidepressants:
Trazodone, an antidepressant, is metabolized primarily by CYP3A. QT interval prolongation and TdP have been reported with the coadministration of trazodone and amiodarone.
Other substances:
Grapefruit juice given to healthy volunteers increased amiodarone AUC by 50% and Cmax by 84%, resulting in increased plasma levels of amiodarone. Do not take grapefruit juice during treatment with amiodarone.
Amiodarone inhibits p-glycoprotein and certain CYP450 enzymes, including CYP1A2, CYP2C9, CYP2D6, and CYP3A. This inhibition can result in unexpectedly high plasma levels of other drugs which are metabolized by those CYP450 enzymes or are substrates for p-glycoprotein. Reported examples of this interaction include the following:
Immunosuppressives:
Cyclosporine(CYP3A substrate) administered in combination with oral amiodarone has been reported to produce persistently elevated plasma concentrations of cyclosporine resulting in elevated creatinine, despite reduction in dose of cyclosporine.
HMG-CoA Reductase Inhibitors:
Simvastatin (CYP3A substrate) in combination with amiodarone has been associated with reports of myopathy/rhabdomyolysis.
Cardiovasculars:
Cardiac glycosides: In patients receiving digoxin therapy, administration of oral amiodarone regularly results in an increase in serum digoxin concentration that may reach toxic levels with resultant clinical toxicity. Amiodarone taken concomitantly with digoxin increases the serum digoxin concentration by 70% after one day. On administration of oral amiodarone, review the need for digitalis therapy and reduce the dose of digitalis by approximately 50% or discontinue digitalis. If digitalis treatment is continued, monitor serum levels closely and observe patients for clinical evidence of toxicity.
Antiarrhythmics:
Other antiarrhythmic drugs, such as quinidine, procainamide, disopyramide, and phenytoin, have been used concurrently with amiodarone. There have been case reports of increased steady-state levels of quinidine, procainamide, and phenytoin during concomitant therapy with amiodarone. Phenytoin decreases serum amiodarone levels. Amiodarone taken concomitantly with quinidine increases quinidine serum concentration by 33% after two days. Amiodarone taken concomitantly with procainamide for less than seven days increases plasma concentrations of procainamide and n-acetyl procainamide by 55% and 33%, respectively. Reduce quinidine and procainamide doses by one-third when either is administered with amiodarone.
Plasma levels of flecainide have been reported to increase in the presence of oral amiodarone; adjust the dose of flecainide when these drugs are administered concomitantly. In general, initiate any added antiarrhythmic drug at a lower than usual dose and monitor the patient carefully.
Reserve the combination of amiodarone with other antiarrhythmic therapy to patients with life-threatening ventricular arrhythmias who are incompletely responsive to a single agent or incompletely responsive to amiodarone. During transfer to oral amiodarone, reduce the dose levels of previously administered agents by 30 to 50% several days after the addition of oral amiodarone. Review the continued need for the other antiarrhythmic agent after the effects of amiodarone have been established, and attempt discontinuation. If the treatment is continued, carefully monitor these patients for adverse effects, especially for conduction disturbances and exacerbation of tachyarrhythmias. In amiodarone-treated patients who require additional antiarrhythmic therapy, the initial dose of such agents should be approximately half of the usual recommended dose.
Antihypertensives:
Use amiodarone with caution in patients receiving ß-receptor blocking agents (e.g., propranolol, a CYP3A inhibitor) or calcium channel antagonists (e.g., verapamil, a CYP3A substrate, and diltiazem, a CYP3A inhibitor) because of the possible potentiation of bradycardia, sinus arrest, and AV block; if necessary, amiodarone can continue to be used after insertion of a pacemaker in patients with severe bradycardia or sinus arrest.
Anticoagulants:
Potentiation of warfarin-type (CYP2C9 and CYP3A substrate) anticoagulant response is almost always seen in patients receiving amiodarone and can result in serious or fatal bleeding. Since the concomitant administration of warfarin with amiodarone increases the prothrombin time by 100% after 3 to 4 days, reduce the dose of the anticoagulant by one-third to one-half, and monitor prothrombin times closely.
Clopidogrel, an inactive thienopyridine prodrug, is metabolized in the liver by CYP3A to an active metabolite. A potential interaction between clopidogrel and amiodarone resulting in ineffective inhibition of platelet aggregation has been reported.
Some drugs/substances are known to accelerate the metabolism of amiodarone by stimulating the synthesis of CYP3A (enzyme induction). This may lead to low amiodarone serum levels and potential decrease in efficacy. Reported examples of this interaction include the following:
Antibiotics:
Rifampin is a potent inducer of CYP3A. Administration of rifampin concomitantly with oral amiodarone has been shown to result in decreases in serum concentrations of amiodarone and desethylamiodarone.
Other substances, including herbal preparations:
St. John's Wort (Hypericum perforatum) induces CYP3A. Since amiodarone is a substrate for CYP3A, St. John's Wort likely reduces amiodarone levels.
Other reported interactions with amiodarone:
Fentanyl (CYP3A substrate) in combination with amiodarone may cause hypotension, bradycardia, and decreased cardiac output.
Sinus bradycardia has been reported with oral amiodarone in combination with lidocaine (CYP3A substrate) given for local anesthesia. Seizure, associated with increased lidocaine concentrations, has been reported with concomitant administration of intravenous amiodarone.
Dextromethorphan is a substrate for both CYP2D6 and CYP3A. Amiodarone inhibits CYP2D6.
Cholestyramine increases enterohepatic elimination of amiodarone and may reduce its serum levels and t½.
Disopyramide causes QT prolongation which could induce arrhythmia.
Fluoroquinolones, macrolide antibiotics, and azoles are known to cause QTc prolongation. There have been reports of QTc prolongation, with or without TdP, in patients taking amiodarone when fluoroquinolones, macrolide antibiotics, or azoles were administered concomitantly [see Warnings and Precautions (5.4)].
Hemodynamic and electrophysiologic interactions have also been observed after concomitant administration with propranolol, diltiazem, and verapamil.
Volatile Anesthetic Agents: Patients who are on amiodarone therapy may be more sensitive to the myocardial depressant and conduction defects of halogenated inhalational anesthetics [see Warnings and Precautions (5.9)].
In addition to the interactions noted above, chronic (> 2 weeks) oral amiodarone administration impairs metabolism of phenytoin, dextromethorphan, and methotrexate.
8 Use In Specific Populations
8.1 Pregnancy
Pregnancy Category D [see Warnings and Precautions (5.8)].
In addition to causing infrequent congenital goiter/hypothyroidism and hyperthyroidism, amiodarone has caused a variety of adverse effects in animals.
In a reproductive study in which amiodarone was given intravenously to rabbits at dosages of 5, 10, or 25 mg/kg per day (about 0.1, 0.3, and 0.7 times the maximum recommended human dose [MRHD] on a body surface area basis), maternal deaths occurred in all groups, including controls. Embryotoxicity (as manifested by fewer full-term fetuses and increased resorptions with concomitantly lower litter weights) occurred at dosages of 10 mg/kg and above. No evidence of embryotoxicity was observed at 5 mg/kg and no teratogenicity was observed at any dosages.
In a teratology study in which amiodarone was administered by continuous IV infusion to rats at dosages of 25, 50, or 100 mg/kg per day (about 0.4, 0.7, and 1.4 times the MRHD when compared on a body surface area basis), maternal toxicity (as evidenced by reduced weight gain and food consumption) and embryotoxicity (as evidenced by increased resorptions, decreased live litter size, reduced body weights, and retarded sternum and metacarpal ossification) were observed in the 100 mg/kg group.
Use amiodarone during pregnancy only if the potential benefit to the mother justifies the risk to the fetus.
8.2 Labor and Delivery
It is not known whether the use of amiodarone during labor or delivery has any immediate or delayed adverse effects. Preclinical studies in rodents have not shown any effect on the duration of gestation or on parturition.
8.3 Nursing Mothers
Amiodarone and one of its major metabolites, desethylamiodarone (DEA), are excreted in human milk, suggesting that breastfeeding could expose the nursing infant to a significant dose of the drug. Nursing offspring of lactating rats administered amiodarone have demonstrated reduced viability and reduced body weight gains. The risk of exposing the infant to amiodarone must be weighed against the potential benefit of arrhythmia suppression in the mother. Advise the mother to discontinue nursing.
8.4 Pediatric Use
The safety and effectiveness of amiodarone in pediatric patients have not been established; therefore, the use of amiodarone in pediatric patients is not recommended. In a pediatric trial of 61 patients, aged 30 days to 15 years, hypotension (36%), bradycardia (20%), and AV block (15%) were common dose-related adverse reactions and were severe or life-threatening in some cases. Injection site reactions were seen in 5 (25%) of the 20 patients receiving intravenous amiodarone through a peripheral vein irrespective of dose regimen.
Amiodarone injection contains the preservative benzyl alcohol [see Description (11)]. There have been reports of fatal "gasping syndrome" in neonates (children less than one month of age) following the administration of intravenous solutions containing the preservative benzyl alcohol. Symptoms include a striking onset of gasping respiration, hypotension, bradycardia, and cardiovascular collapse.
8.5 Geriatric Use
Clinical studies of amiodarone did not include sufficient numbers of subjects aged 65 and over to determine whether they respond differently from younger subjects. Other reported clinical experience has not identified differences in responses between the elderly and younger patients. Carefully consider dose selection in an elderly patient. In general, start at the low end of the dosing range in the elderly to reflect the greater frequency of decreased hepatic, renal, or cardiac function, and concomitant disease or other drug therapy.
10 Overdosage
There have been cases, some fatal, of amiodarone overdose. Effects of an inadvertent overdose of intravenous amiodarone include hypotension, cardiogenic shock, bradycardia, AV block, and hepatotoxicity. Treat hypotension and cardiogenic shock by slowing the infusion rate or with standard therapy: vasopressor drugs, positive inotropic agents, and volume expansion. Bradycardia and AV block may require temporary pacing. Monitor hepatic enzyme concentrations closely. Amiodarone is not dialyzable.
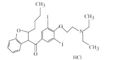
11 Description
Amiodarone Hydrochloride Injection contains Amiodarone Hydrochloride (C25H29I2NO3•HCl), a class III antiarrhythmic drug. Amiodarone Hydrochloride is (2-butyl-3-benzo-furanyl)[4-[2-(diethylamino)ethoxy]-3,5-diiodophenyl]methanone hydrochloride.
Amiodarone Hydrochloride has the following structural formula:
Amiodarone Hydrochloride is a white to slightly yellow crystalline powder, and is very slightly soluble in water. It has a molecular weight of 681.78 and contains 37.3% iodine by weight. Amiodarone Hydrochloride Injection is a sterile clear, pale-yellow micellar solution visually free from particulates. Each milliliter of the amiodarone formulation contains 50 mg of amiodarone hydrochloride, 20.2 mg of benzyl alcohol, 100 mg of polysorbate 80, and water for injection.
Amiodarone Hydrochloride Injection contains polysorbate 80, which is known to leach di-(2-ethylhexyl)phthalate (DEHP) from polyvinylchloride (PVC) [(see Dosage and Administration (2)].
12 Clinical Pharmacology
12.1 Mechanism of Action
Amiodarone is generally considered a class III antiarrhythmic drug, but it possesses electrophysiologic characteristics of all four Vaughan Williams classes. Like class I drugs, amiodarone blocks sodium channels at rapid pacing frequencies, and like class II drugs, amiodarone exerts a noncompetitive antisympathetic action. One of its main effects, with prolonged administration, is to lengthen the cardiac action potential, a class III effect. The negative chronotropic effect of amiodarone in nodal tissues is similar to the effect of class IV drugs. In addition to blocking sodium channels, amiodarone blocks myocardial potassium channels, which contributes to slowing of conduction and prolongation of refractoriness. The antisympathetic action and the block of calcium and potassium channels are responsible for the negative dromotropic effects on the sinus node and for the slowing of conduction and prolongation of refractoriness in the atrioventricular (AV) node. Its vasodilatory action can decrease cardiac workload and consequently myocardial oxygen consumption.
Intravenous amiodarone administration prolongs intranodal conduction (Atrial-His, AH) and refractoriness of the atrioventricular node (ERP AVN), but has little or no effect on sinus cycle length (SCL), refractoriness of the right atrium and right ventricle (ERP RA and ERP RV), repolarization (QTc), intraventricular conduction (QRS), and infra-nodal conduction (His-ventricular, HV). A comparison of the electrophysiologic effects of intravenous amiodarone and oral amiodarone is shown in the table below.
↔ No change
At higher doses (>10 mg/kg) of intravenous amiodarone, prolongation of the ERP RV and modest prolongation of the QRS have been seen. These differences between oral and IV administration suggest that the initial acute effects of intravenous amiodarone may be predominately focused on the AV node, causing an intranodal conduction delay and increased nodal refractoriness due to slow channel blockade (class IV activity) and noncompetitive adrenergic antagonism (class II activity).
12.2 Pharmacodynamics
Intravenous amiodarone has been reported to produce negative inotropic and vasodilatory effects in animals and humans. In clinical studies of patients with refractory VF or hemodynamically unstable VT, treatment-emergent, drug-related hypotension occurred in 288 of 1836 patients (16%) treated with intravenous amiodarone. No correlations were seen between the baseline ejection fraction and the occurrence of clinically significant hypotension during infusion of intravenous amiodarone.
No data are available on the activity of DEA in humans, but in animals, it has significant electrophysiologic and antiarrhythmic effects generally similar to amiodarone itself. DEA's precise role and contribution to the antiarrhythmic activity of oral amiodarone are not certain. The development of maximal ventricular class III effects after oral amiodarone administration in humans correlates more closely with DEA accumulation over time than with amiodarone accumulation. On the other hand, after intravenous amiodarone administration, there is evidence of activity well before significant concentrations of DEA are attained [see Clinical Trials(14)].
12.3 Pharmacokinetics
Disposition:
Amiodarone exhibits complex disposition characteristics after intravenous administration. Peak serum concentrations after single 5 mg/kg 15-minute intravenous infusions in healthy subjects range between 5 and 41 mg/L. Peak concentrations after 10-minute infusions of 150 mg intravenous amiodarone in patients with ventricular fibrillation (VF) or hemodynamically unstable ventricular tachycardia (VT) range between 7 and 26 mg/L. Due to rapid distribution, serum concentrations decline to 10% of peak values within 30 to 45 minutes after the end of the infusion. In clinical trials, after 48 hours of continued infusions (125, 500 or 1000 mg/day) plus supplemental (150 mg) infusions (for recurrent arrhythmias), amiodarone mean serum concentrations between 0.7 to 1.4 mg/L were observed (n=260).
Metabolism:
N-desethylamiodarone (DEA) is the major active metabolite of amiodarone in humans. DEA serum concentrations above 0.05 mg/L are not usually seen until after several days of continuous infusion but with prolonged therapy reach approximately the same concentration as amiodarone. Amiodarone is metabolized to DEA by the cytochrome P450 enzyme group, specifically cytochromes CYP3A and CYP2C8. The CYP3A isoenzyme is present in both the liver and intestines. The highly variable systemic availability of oral amiodarone may be attributed to large interindividual variability in CYP3A activity.
Distribution/Elimination:
From in vitro studies, the protein binding of amiodarone is >96%. Amiodarone and DEA cross the placenta and both appear in breast milk. Neither amiodarone nor DEA is dialyzable.
Amiodarone is eliminated primarily by hepatic metabolism and biliary excretion and there is negligible excretion of amiodarone or DEA in urine. In studies in healthy subjects following single intravenous administration (5 mg/kg of amiodarone over 15 min), the plasma concentration vs. time profile could be characterized by linear sum of four exponential terms with terminal elimination half-lives (t½) of 9 - 36 days for amiodarone and 9 - 30 days for DEA. The clearance of amiodarone and DEA ranged between 63 - 231 mL/hr/kg and 140 - 400 mL/hr/kg, respectively. In clinical studies of 2 to 7 days, clearance of amiodarone after intravenous administration in patients with VT and VF ranged between 220 and 440 mL/hr/kg.
Special Populations:
Effect of Age: The pharmacokinetics of amiodarone and DEA are affected by age. Normal subjects over 65 years of age show lower clearances (about 100 mL/hr/kg) than younger subjects (about 150 mL/hr/kg) and an increase in t½ from about 20 to 47 days.
Effect of Gender: Pharmacokinetics of amiodarone and DEA are similar in males and females.
Renal Impairment: Renal disease does not influence the pharmacokinetics of amiodarone or DEA.
Hepatic Impairment: After a single dose of intravenous amiodarone to cirrhotic patients, significantly lower Cmax and average concentration values are seen for DEA, but mean amiodarone levels are unchanged.
Cardiac Disease: In patients with severe left ventricular dysfunction, the pharmacokinetics of amiodarone are not significantly altered but the terminal elimination t½ of DEA is prolonged.
Although no dosage adjustment for patients with renal, hepatic, or cardiac abnormalities has been defined during chronic treatment with oral amiodarone, close clinical monitoring is prudent for elderly patients and those with severe left ventricular dysfunction.
Exposure-Response:
There is no established relationship between drug concentration and therapeutic response for short-term intravenous use.
13 Nonclinical Toxicology
13.1 Carcinogenesis, Mutagenesis, Impairment of Fertility
No carcinogenicity studies were conducted with intravenous administration of amiodarone. However, oral amiodarone caused a statistically significant, dose-related increase in the incidence of thyroid tumors (follicular adenoma and carcinoma) in rats. The incidence of thyroid tumors in rats was greater than the incidence in controls even at the lowest dose level tested, i.e., 5 mg/kg/day (much less, on a body surface area basis, than the maximum recommended human maintenance dose of 600 mg/day).
Mutagenicity studies conducted with amiodarone hydrochloride (Ames, micronucleus, and lysogenic induction tests) were negative.
No fertility studies were conducted with intravenous administration of amiodarone. However, in a study in which amiodarone hydrochloride was orally administered to male and female rats, beginning 9 weeks prior to mating, reduced fertility was observed at a dose level of 90 mg/kg/day (approximately 1.4 times the maximum recommended human maintenance dose of 600 mg/day).
14 Clinical Studies
Apart from studies in patients with VT or VF, described below, there are two other studies of amiodarone showing an antiarrhythmic effect before significant levels of DEA could have accumulated. A placebo-controlled study of intravenous amiodarone (300 mg over 2 hours followed by 1200 mg/day) in post-coronary artery bypass graft patients with supraventricular and 2- to 3-consecutive-beat ventricular arrhythmias showed a reduction in arrhythmias from 12 hours on. A baseline-controlled study using a similar IV regimen in patients with recurrent, refractory VT/VF also showed rapid onset of antiarrhythmic activity; amiodarone therapy reduced episodes of VT by 85% compared to baseline.
The acute effectiveness of intravenous amiodarone in suppressing recurrent VF or hemodynamically unstable VT is supported by two randomized, parallel, dose-response studies of approximately 300 patients each. In these studies, patients with at least two episodes of VF or hemodynamically unstable VT in the preceding 24 hours were randomly assigned to receive doses of approximately 125 or 1000 mg over the first 24 hours, an 8-fold difference. In one study, a middle dose of approximately 500 mg was evaluated. The dose regimen consisted of an initial rapid loading infusion, followed by a slower 6-hour loading infusion, and then an 18-hour maintenance infusion. The maintenance infusion was continued up to hour 48. Additional 10-minute infusions of 150 mg intravenous amiodarone were given for "breakthrough" VT/VF more frequently to the 125 mg dose group, thereby considerably reducing the planned 8-fold differences in total dose to 1.8- and 2.6-fold, respectively, in the two studies.
The prospectively defined primary efficacy end point was the rate of VT/VF episodes per hour. For both studies, the median rate was 0.02 episodes per hour in patients receiving the high dose and 0.07 episodes per hour in patients receiving the low dose, or approximately 0.5 versus 1.7 episodes per day (p=0.07, 2-sided, in both studies). In one study, the time to first episode of VT/VF was significantly prolonged (approximately 10 hours in patients receiving the low dose and 14 hours in patients receiving the high dose). In both studies, significantly fewer supplemental infusions were given to patients in the high-dose group. At the end of double-blind therapy or after 48 hours, all patients were given open access to whatever treatment (including intravenous amiodarone) was deemed necessary. Mortality was not affected in these studies.
16 How Supplied/Storage And Handling
Store at 20°-25°C (68°-77°F) [See USP Controlled Room Temperature].
Protect from light and excessive heat.
Use carton to protect contents from light until time of use.
| From Original Manufacturer/Distributor's NDC and Unit of Sale | To Henry Schein Repackaged Product NDC and Unit of Sale | Total Strength/Total Volume (Concentration) per unit |
| NDC 0143-9875-25 Carton of 25 vials | NDC 0404-9772-03 1 3 mL Single Dose Vial in a bag (Vial bears NDC 0143-9875-01) | 50 mg/mL |
17 Patient Counseling
Amiodarone has the potential to cause serious side effects that limit its use to life-threatening and hemodynamically unstable cardiac arrhythmias. Advise female patients to discontinue nursing while being treated with amiodarone, as breast-feeding could expose the nursing infant to a significant dose of the drug. Recommend that patients avoid grapefruit juice, over-the-counter cough medicine (which commonly contain dextromethorphan), and St. John's Wort. Inform patients that most manufacturers of corneal refractive laser surgery devices contraindicate corneal refractive laser surgery in patients taking amiodarone. Discuss the symptoms of hypo- and hyper-thyroidism, particularly if patients will be transitioned to oral amiodarone.
Manufactured by:
HIKMA FARMACÊUTICA (PORTUGAL), S.A.
Estrada do Rio da Mó, n° 8, 8A e 8B - Fervença,
2705 - 906 Terrugem SNT
PORTUGAL
Distributed by:
Hikma Pharmaceuticals USA Inc.
Berkeley Heights, NJ 07922
Revised: June 2020
PIN193-WES/5
Sample Package Label
* Please review the disclaimer below.





