FDA Label for Cefazolin
View Indications, Usage & Precautions
- 1 INDICATIONS AND USAGE
- 2 DOSAGE AND ADMINISTRATION
- 3 DOSAGE FORMS AND STRENGTHS
- 4 CONTRAINDICATIONS
- 5 WARNINGS AND PRECAUTIONS
- 6 ADVERSE REACTIONS
- 7 DRUG INTERACTIONS
- 8 USE IN SPECIFIC POPULATIONS
- 11 DESCRIPTION
- 21 CLINICAL PHARMACOLOGY
- 13 NONCLINICAL TOXICOLOGY
- HOW SUPPLIED
- 17 PATIENT COUNSELING INFORMATION
- SAMPLE PACKAGE LABEL
Cefazolin Product Label
The following document was submitted to the FDA by the labeler of this product Henry Schein, Inc.. The document includes published materials associated whith this product with the essential scientific information about this product as well as other prescribing information. Product labels may durg indications and usage, generic names, contraindications, active ingredients, strength dosage, routes of administration, appearance, warnings, inactive ingredients, etc.
1 Indications And Usage
To reduce the development of drug-resistant bacteria and maintain the effectiveness of Cefazolin for Injection, USP and other antibacterial drugs, Cefazolin for Injection, USP should be used only to treat or prevent infections that are proven or strongly suspected to be caused by susceptible bacteria. When culture and susceptibility information are available, they should be considered in selecting or modifying antibacterial therapy. In the absence of such data, local epidemiology and susceptibility patterns may contribute to the empiric selection of therapy.
Cefazolin for Injection, USP is indicated for the treatment of the following serious infections due to susceptible organisms.
1.1 Respiratory Tract Infections
Respiratory tract infections due to S. pneumoniae, Klebsiella species, H. influenzae, S. aureus (penicillin-sensitive and penicillin-resistant), and group A beta-hemolytic streptococci.
Injectable benzathine penicillin is considered to be the drug of choice in treatment and prevention of streptococcal infections, including the prophylaxis of rheumatic fever.
Cefazolin for Injection is effective in the eradication of streptococci from the nasopharynx; however, data establishing the efficacy of Cefazolin for Injection in the subsequent prevention of rheumatic fever are not available at present.
1.2 Urinary Tract Infections
Urinary tract infections due to Escherichia coli, and Proteus mirabilis, Klebsiella species, and some strains of enterobacter and enterococci.
1.3 Skin and Skin Structure Infections
Skin and skin structure infections due to S. aureus (penicillin-sensitive and penicillin-resistant), group A beta-hemolytic streptococci, and other strains of streptococci.
1.4 Biliary Tract Infections
Biliary infections due to E. coli, various strains of streptococci, P. mirabilis, Klebsiella species, and S. aureus.
1.5 Bone and Joint Infections
Bone and joint infections due to S. aureus.
1.6 Genital Infections
Genital infections (i.e., prostatitis, epididymitis) due to E. coli, P. mirabilis, Klebsiella species, and some strains of enterococci.
1.7 Septicemia
Septicemia due to S. pneumoniae, S. aureus (penicillin-sensitive and penicillin-resistant), P. mirabilis, E. coli, and Klebsiella species.
1.8 Endocarditis
Endocarditis due to S. aureus (penicillin-sensitive and penicillin-resistant) and group A beta-hemolytic streptococci.
1.9 Perioperative Prophylaxis
The prophylactic administration of Cefazolin for Injection preoperatively, intraoperatively, and postoperatively may reduce the incidence of certain postoperative infections in patients undergoing surgical procedures which are classified as contaminated or potentially contaminated (e.g., vaginal hysterectomy, and cholecystectomy in high-risk patients such as those older than 70 years, with acute cholecystitis, obstructive jaundice, or common duct bile stones).
The perioperative use of Cefazolin for Injection may also be effective in surgical patients in whom infection at the operative site would present a serious risk (e.g., during open-heart surgery and prosthetic arthroplasty).
The prophylactic administration of cefazolin should usually be discontinued within a 24 hour period after the surgical procedure. In surgery where the occurrence of infection may be particularly devastating (e.g., open-heart surgery and prosthetic arthroplasty), the prophylactic administration of cefazolin may be continued for 3 to 5 days following the completion of surgery.
If there are signs of infection, specimens for cultures should be obtained for the identification of the causative organism so that appropriate therapy may be instituted [See Dosage and Administration(2.1)].
To reduce the development of drug-resistant bacteria and maintain the effectiveness of Cefazolin for Injection and other antibacterial drugs, Cefazolin for Injection should be used only to treat or prevent infections that are proven or strongly suspected to be caused by susceptible bacteria. When culture and susceptibility information are available, they should be considered in selecting or modifying antibacterial therapy. In the absence of such data, local epidemiology and susceptibility patterns may contribute to the empiric selection of therapy.
2 Dosage And Administration
2.1 Adult Population
The recommended adult dosages are outlined in TABLE 1. Cefazolin for Injection should be administered intravenously or intramuscularly.
2.2 Perioperative Prophylactic Use
To prevent postoperative infection in contaminated or potentially contaminated surgery, recommended doses are:
- 1 gram intravenous or intramuscular administered 1/2 hour to 1 hour prior to the start of surgery.
- For lengthy operative procedures (e.g., 2 hours or more), 500 mg to 1 gram intravenous or intramuscular during surgery (administration modified depending on the duration of the operative procedure).
- 500 mg to 1 gram intravenous or intramuscular every 6 to 8 hours for 24 hours postoperatively.
It is important that (i) the preoperative dose be given just prior (1/2 hour to 1 hour) to the start of surgery so that adequate antibiotic levels are present in the serum and tissues at the time of initial surgical incision; and (ii) Cefazolin for Injection be administered, if necessary, at appropriate intervals during surgery to provide sufficient levels of the antibiotic drug at the anticipated moments of greatest exposure to infective organisms.
In surgery where the occurrence of infection may be particularly devastating (e.g., open-heart surgery and prosthetic arthroplasty), the prophylactic administration of cefazolin may be continued for 3 to 5 days following the completion of surgery.
2.3 Patients with Renal Impairment
Cefazolin for Injection may be used in patients with reduced renal function with the following dosage adjustments: Patients with a creatinine clearance of 55 mL/min. or greater or a serum creatinine of 1.5 mg % or less can be given full doses. Patients with creatinine clearance rates of 35 to 54 mL/min. or serum creatinine of 1.6 to 3.0 mg % can also be given full doses but dosage should be restricted to at least 8 hour intervals. Patients with creatinine clearance rates of 11 to 34 mL/min. or serum creatinine of 3.1 to 4.5 mg % should be given 1/2 the usual dose every 12 hours. Patients with creatinine clearance rates of 10 mL/min. or less or serum creatinine of 4.6 mg % or greater should be given 1/2 the usual dose every 18 to 24 hours. All reduced dosage recommendations apply after an initial loading dose appropriate to the severity of the infection. Patients undergoing peritoneal dialysis: [see Clinical Pharmacology (12.3)].
2.4 Pediatric Population
In pediatric patients, a total daily dosage of 25 to 50 mg per kg (approximately 10 to 20 mg per pound) of body weight, divided into 3 or 4 equal doses, is effective for most mild to moderately severe infections. Total daily dosage may be increased to 100 mg per kg (45 mg per pound) of body weight for severe infections. Since safety for use in premature infants and in neonates has not been established, the use of cefazolin for injection in these patients is not recommended.
In pediatric patients with mild to moderate renal impairment (creatinine clearance of 70 to 40 mL/min.), 60 percent of the normal daily dose given in equally divided doses every 12 hours should be sufficient. In patients with moderate impairment (creatinine clearance of 40 to 20 mL/min.), 25 percent of the normal daily dose given in equally divided doses every 12 hours should be adequate. Pediatric patients with severe renal impairment (creatinine clearance of 20 to 5 mL/min.) may be given 10 percent of the normal daily dose every 24 hours. All dosage recommendations apply after an initial loading dose.
2.5 Preparation of Parenteral Solution
Parenteral drug products should be SHAKEN WELL when reconstituted, and inspected visually for particulate matter prior to administration. If particulate matter is evident in reconstituted fluids, the drug solutions should be discarded.
When reconstituted or diluted according to the instructions below, Cefazolin for Injection is stable for 24 hours at room temperature or for 10 days if stored under refrigeration (5°C or 41°F). Reconstituted solutions may range in color from pale yellow to yellow without a change in potency.
Single-Dose Vials
For Intramuscular injection, Intravenous direct (bolus) injection or Intravenous infusion, reconstitute with Sterile Water for Injection according to the following table. SHAKE WELL.
2.6 Intramuscular Administration
Reconstitute vials with Sterile Water for Injection according to the dilution table above. Shake well until dissolved. Cefazolin should be injected into a large muscle mass. Pain on injection is infrequent with Cefazolin for Injection.
2.7 Intravenous Administration
Direct (bolus) injection: Following reconstitution according to the above table, further dilute vials with approximately 5 mL Sterile Water for Injection. Inject the solution slowly over 3 to 5 minutes, directly or through tubing for patients receiving parenteral fluids (see list below).
Intermittent or continuous infusion: Dilute reconstituted Cefazolin for Injection in 50 to 100 mL of 1 of the following solutions:
Sodium Chloride Injection, USP
5% or 10% Dextrose Injection, USP
5% Dextrose in Lactated Ringer’s Injection, USP
5% Dextrose and 0.9% Sodium Chloride Injection, USP
5% Dextrose and 0.45% Sodium Chloride Injection, USP
5% Dextrose and 0.2% Sodium Chloride Injection, USP
Lactated Ringer’s Injection, USP
Invert Sugar 5% or 10% in Sterile Water for Injection
Ringer’s Injection, USP
5% Sodium Bicarbonate Injection, USP
3 Dosage Forms And Strengths
Single-dose vials:
- 1 g Cefazolin for Injection
4 Contraindications
Cefazolin for injection is contraindicated in patients with known allergy to the cephalosporin group of antibiotics.
5 Warnings And Precautions
5.1 Hypersensitivity Reactions to Cefazolin, Cephalosporins, Penicillins, or Other Beta-lactams
Before therapy with Cefazolin for Injection is instituted, careful inquiry should be made to determine whether the patient has had previous hypersensitivity reactions to cefazolin, cephalosporins, penicillins, or other drugs. If this product is given to penicillin-sensitive patients, caution should be exercised because cross-hypersensitivity among beta-lactam antibiotics has been clearly documented and may occur in up to 10% of patients with a history of penicillin allergy. If an allergic reaction to Cefazolin for Injection occurs, discontinue treatment with the drug. Serious acute hypersensitivity reactions may require treatment with epinephrine and other emergency measures, including oxygen, intravenous fluids, intravenous antihistamines, corticosteroids, pressor amines, and airway management, as clinically indicated.
5.2 Use in Patients with Renal Impairment
As with other β-lactam antibiotics, seizures may occur if inappropriately high doses are administered to patients with impaired renal function (creatinine clearance less than 55 mL/min.) [see Dosage and Administration (2.3)].
5.3 Clostridium difficile-associated Diarrhea
Clostridium difficile-associated diarrhea (CDAD) or pseudomembranous colitis has been reported with nearly all antibacterial agents, including cefazolin, and may range in severity from mild to life-threatening. Therefore, it is important to consider this diagnosis in patients who present with diarrhea subsequent to the administration of antibacterial agents.
Treatment with antibacterial agents alters the normal flora of the colon and may permit overgrowth of clostridia. Studies indicate that a toxin produced by Clostridium difficile is a primary cause of “antibiotic-associated colitis.”
Cefazolin for Injection, as with all cephalosporins, should be prescribed with caution in individuals with a history of gastrointestinal disease, particularly colitis.
After the diagnosis of CDAD or pseudomembranous colitis has been established, therapeutic measures should be initiated. Mild cases of pseudomembranous colitis usually respond to drug discontinuation alone. In moderate to severe cases, consideration should be given to management with fluids and electrolytes, protein supplementation, and treatment with an oral antibacterial drug clinically effective against C. difficile colitis.
5.4 Risk of Development of Drug-resistant Bacteria
Prescribing cefazolin in the absence of a proven or strongly suspected bacterial infection or a prophylactic indication is unlikely to provide benefit to the patient and increases the risk of the development of drug-resistant bacteria.
As with other antimicrobials, prolonged use of cefazolin for injection may result in overgrowth of nonsusceptible microorganisms. Repeated evaluation of the patient's condition is essential. Should superinfection occur during therapy, appropriate measures should be taken.
5.5 Drug/Laboratory Test Interactions
Urinary Glucose
The administration of cefazolin may result in a false-positive reaction for glucose in the urine with Benedict's solution, Fehling's solution or with CLINITEST® tablets. It is recommended that glucose tests based on enzymatic glucose oxidase reactions (e.g., CLINISTIX® ) be used.
Coombs’ Test
Positive direct Coombs' tests have been reported during treatment with cefazolin. In hematologic studies or in transfusion cross-matching procedures when antiglobulin tests are performed on the minor side or in Coombs' testing of newborns whose mothers have received cephalosporin antibacterial drugs before parturition, it should be recognized that a positive Coombs' test may be due to the drug.
6 Adverse Reactions
The following reactions have been reported:
- Hypersensitivity reactions [see Warnings and Precautions (5.1)]
- Clostridium difficile-associated diarrhea [see Warnings and Precautions (5.3)]
6.1 Clinical Trials Experience
The following adverse reactions were reported from clinical trials:
Gastrointestinal: Diarrhea, oral candidiasis (oral thrush), vomiting, nausea, stomach cramps, anorexia, and pseudomembranous colitis. Onset of pseudomembranous colitis symptoms may occur during or after antibiotic treatment [see Warnings and Precautions (5.3)]. Nausea and vomiting have been reported rarely.
Allergic: Anaphylaxis, eosinophilia, itching, drug fever, skin rash, Stevens-Johnson syndrome.
Hematologic: Neutropenia, leukopenia, thrombocytopenia, thrombocythemia.
Hepatic: Transient rise in SGOT, SGPT, and alkaline phosphatase levels has been observed. As with other cephalosporins, reports of hepatitis have been received.
Renal: As with other cephalosporins, reports of increased BUN and creatinine levels, as well as renal failure, have been received.
Local Reactions: Rare instances of phlebitis have been reported at site of injection. Pain at the site of injection after intramuscular administration has occurred infrequently. Some induration has occurred.
Other Reactions: Genital and anal pruritus (including vulvar pruritus, genital moniliasis, and vaginitis).
6.2 Cephalosporin-class Adverse Reactions
In addition to the adverse reactions listed above that have been observed in patients treated with cefazolin, the following adverse reactions and altered laboratory tests have been reported for cephalosporin-class antibacterials: Stevens-Johnson syndrome, erythema multiforme, toxic epidermal necrolysis, renal impairment, toxic nephropathy, aplastic anemia, hemolytic anemia, hemorrhage, hepatic impairment including cholestasis, and pancytopenia.
7 Drug Interactions
Probenecid may decrease renal tubular secretion of cephalosporins when used concurrently, resulting in increased and more prolonged cephalosporin blood levels.
8 Use In Specific Populations
8.1 Pregnancy
Reproduction studies have been performed in rats, mice, and rabbits at doses up to 25 times the human dose and have revealed no evidence of impaired fertility or harm to the fetus due to cefazolin. There are, however, no adequate and well-controlled studies in pregnant women. Because animal reproduction studies are not always predictive of human response, this drug should be used during pregnancy only if clearly needed.
8.2 Labor and Delivery
When cefazolin has been administered prior to caesarean section, drug levels in cord blood have been approximately one quarter to one third of maternal drug levels. The drug appears to have no adverse effect on the fetus.
8.3 Nursing Mothers
Cefazolin for Injection is present in very low concentrations in the milk of nursing mothers. Caution should be exercised when Cefazolin for Injection is administered to a nursing woman.
8.4 Pediatric Use
Safety and effectiveness for use in premature infants and neonates have not been established. See Dosage and Administration (2.4) for recommended dosage in pediatric patients older than 1 month.
8.5 Geriatric Use
Of the 920 subjects who received cefazolin in clinical studies, 313 (34%) were 65 years and over, while 138 (15%) were 75 years and over. No overall differences in safety or effectiveness were observed between these subjects and younger subjects. Other reported clinical experience has not identified differences in responses between the elderly and younger patients, but greater sensitivity of some older individuals cannot be ruled out.
This drug is known to be substantially excreted by the kidney, and the risk of toxic reactions to this drug may be greater in patients with impaired renal function. Because elderly patients are more likely to have decreased renal function, care should be taken in dose selection, and it may be useful to monitor renal function [see Dosage and Administration (2.3) and Warnings and Precautions (5.2)].
8.6 Patients with Renal Impairment
When cefazolin for injection is administered to patients with low urinary output because of impaired renal function (creatinine clearance less than 55 mL/min.), lower daily dosage is required [see Dosage and Administration (2.3) and Warnings and Precautions (5.2)].
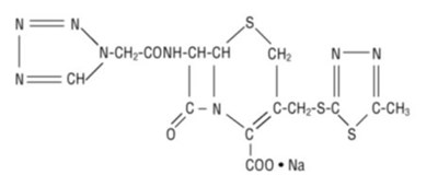
11 Description
Cefazolin for Injection, USP is a semi-synthetic cephalosporin for parenteral administration. It is the sodium salt of 3-{[(5-methyl-1,3,4-thiadiazol-2-yl)thio]-methyl}-8-oxo-7-[2-(1H-tetrazol-1-yl)acetamido]-5-thia-1-azabicyclo[4.2.0]oct-2-ene-2-carboxylic acid.
Structural Formula:
Cefazolin for Injection, USP is a sterile white or off-white powder or crystalline powder.
The sodium content is 48 mg (2 mEq sodium ion) per 1 gram of cefazolin.
21 Clinical Pharmacology
12.1 Mechanism of Action
Cefazolin is an antibacterial drug [see Microbiology (12.4)].
12.2 Pharmacodynamics
The pharmacokinetic/pharmacodynamic relationship for cefazolin has not been evaluated in patients.
12.3 Pharmacokinetics
After intramuscular administration of Cefazolin for Injection to normal volunteers, the mean serum concentrations were 37 mcg/mL at 1 hour and 3 mcg/mL at 8 hours following a 500 mg dose, and 64 mcg/mL at 1 hour and 7 mcg/mL at 8 hours following a 1 gram dose.
Studies have shown that following intravenous administration of Cefazolin for Injection to normal volunteers, mean serum concentrations peaked at approximately 185 mcg/mL and were approximately 4 mcg/mL at 8 hours for a 1 gram dose.
The serum half-life for Cefazolin for Injection is approximately 1.8 hours following intravenous administration and approximately 2 hours following intramuscular administration.
In a study (using normal volunteers) of constant intravenous infusion with dosages of 3.5 mg/kg for 1 hour (approximately 250 mg) and 1.5 mg/kg the next 2 hours (approximately 100 mg), Cefazolin for Injection produced a steady serum level at the third hour of approximately 28 mcg/mL.
Studies in patients hospitalized with infections indicate that Cefazolin for Injection produces mean peak serum levels approximately equivalent to those seen in normal volunteers.
Bile levels in patients without obstructive biliary disease can reach or exceed serum levels by up to 5 times; however, in patients with obstructive biliary disease, bile levels of Cefazolin for Injection are considerably lower than serum levels (< 1 mcg/mL).
In synovial fluid, the level of Cefazolin for Injection becomes comparable to that reached in serum at about 4 hours after drug administration.
Studies of cord blood show prompt transfer of Cefazolin for Injection across the placenta. Cefazolin for Injection is present in very low concentrations in the milk of nursing mothers.
Cefazolin for Injection is excreted unchanged in the urine. In the first 6 hours approximately 60% of the drug is excreted in the urine and this increases to 70% to 80% within 24 hours. Cefazolin for Injection achieves peak urine concentrations of approximately 2,400 mcg/mL and 4,000 mcg/mL respectively following 500 mg and 1 gram intramuscular doses.
In patients undergoing peritoneal dialysis (2 L/hr.), Cefazolin for Injection produced mean serum levels of approximately 10 and 30 mcg/mL after 24 hours' instillation of a dialyzing solution containing 50 mg/L and 150 mg/L, respectively. Mean peak levels were 29 mcg/mL (range 13 to 44 mcg/mL) with 50 mg/L (3 patients), and 72 mcg/mL (range 26 to 142 mcg/mL) with 150 mg/L (6 patients). Intraperitoneal administration of Cefazolin for Injection is usually well tolerated.
Controlled studies on adult normal volunteers, receiving 1 gram 4 times a day for 10 days, monitoring CBC, SGOT, SGPT, bilirubin, alkaline phosphatase, BUN, creatinine, and urinalysis, indicated no clinically significant changes attributed to Cefazolin for Injection.
12.4 Microbiology
Mechanism of Action
Cefazolin is a bactericidal agent that acts by inhibition of bacterial cell wall synthesis.
Resistance
Predominant mechanisms of bacterial resistance to cephalosporins include the presence of extended-spectrum beta-lactamases and enzymatic hydrolysis.
Antimicrobial Activity
Cefazolin has been shown to be active against most isolates of the following microorganisms, both in vitro and in clinical infections [see Indications and Usage (1)].
- Gram-Positive Bacteria
- Gram-Negative Bacteria
Staphylococcus aureus
Staphylococcus epidermidis
Streptococcus agalactiae
Streptococcus pneumoniae
Streptococcus pyogenes
Methicillin-resistant staphylococci are uniformly resistant to cefazolin.
Escherichia coli
Proteus mirabilis
Most isolates of indole positive Proteus (Proteus vulgaris), Enterobacter spp., Morganella morganii, Providencia rettgeri, Serratia spp., and Pseudomonas spp. are resistant to cefazolin.
Susceptibility Testing
For specific information regarding susceptibility test interpretive criteria and associated test methods and quality control standards recognized by FDA for this drug, please see: https://www.fda.gov/STIC.
13 Nonclinical Toxicology
13.1 Carcinogenesis, Mutagenesis, Impairment of Fertility
Mutagenicity studies and long-term studies in animals to determine the carcinogenic potential of Cefazolin for Injection have not been performed.
How Supplied
Cefazolin for Injection, USP is supplied as a sterile white or off-white powder or crystalline powder. Each vial contains cefazolin sodium equivalent to 1 gram of cefazolin.
As with other cephalosporins, cefazolin tends to darken depending on storage conditions; within the stated recommendations, however, product potency is not adversely affected.
Before reconstitution protect from light and store at 20°C to 25°C (68°F to 77°F) [see USP Controlled Room Temperature].
17 Patient Counseling Information
Patients should be advised that allergic reactions, including serious allergic reactions could occur and that serious reactions require immediate treatment and discontinuation of cefazolin. Patients should report to their health care provider any previous allergic reactions to cefazolin, cephalosporins, penicillins, or other similar antibacterials.
Patients should be advised that diarrhea is a common problem caused by antibiotics, which usually ends when the antibiotic is discontinued. Sometimes after starting treatment with antibacterials, patients can develop watery and bloody stools (with or without stomach cramps and fever) even as late as two or more months after having taken the last dose of the antibacterials. If this occurs, patients should contact a physician as soon as possible.
Patients should be counseled that antibacterial drugs, including Cefazolin for Injection should only be used to treat bacterial infections. They do not treat viral infections (e.g., the common cold). When Cefazolin for Injection is prescribed to treat a bacterial infection, patients should be told that although it is common to feel better early in the course of therapy, the medication should be taken exactly as directed. Skipping doses or not completing the full course of therapy may (1) decrease the effectiveness of the immediate treatment and (2) increase the likelihood that bacteria will develop resistance and will not be treatable by Cefazolin for Injection or other antibacterial drugs in the future.
ATCC is a registered trademark of American Type Culture Collection.
Clinitest is a registered trademark of Siemens Medical Solutions Diagnostics.
Clinistix is a registered trademark of Bayer Healthcare LLC.
Manufactured by:
Qilu Pharmaceutical Co., Ltd.
High Tech Zone
Jinan, 250101, China
Manufactured for:
Apotex Corp.
Weston, Florida, USA 33326
Code number: 34040001011E
Rev 05/19
Sample Package Label
* Please review the disclaimer below.



