Product Images Vancomycin Hydrochloride

View Photos of Packaging, Labels & Appearance

Product Label Images

The following 5 images provide visual information about the product associated with Vancomycin Hydrochloride NDC 0404-9965 by Henry Schein, Inc., such as packaging, labeling, and the appearance of the drug itself. This resource could be helpful for medical professionals, pharmacists, and patients seeking to verify medication information and ensure they have the correct product.

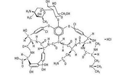
Formula1.jpg - Formula1

Formula1.jpg - Formula1

Image1.jpg - Image1

Image1.jpg - Image1

This is a dosage table for Vancomycin which is adapted from Moellering et al'. It provides the recommended dosage in mg/24h based on the patient's creatinine clearance level which is measured in mL/min. The dosage level ranges from 1,545 mg/24h for a patient with a creatinine clearance of 100 mL/min to 155 mg/24h for a patient with a creatinine clearance of 10 mL/min.*

Image2.jpg - Image2

Image2.jpg - Image2

This text contains a formula for calculating an estimated value by multiplying weight in kilograms by a value dependent on age and multiplying it by the serum creatinine concentration in mg/dL. The resulting value can be multiplied by 0.85 for further use. There is no further context or explanation, and therefore it is unclear what this formula is for or how it should be applied.*

Image3.jpg - Image3

Image3.jpg - Image3

This text appears to be a list of three measurements. The first two items are 10 mL and 15 mL, respectively. The third item is not clear, but it appears to indicate a quantity of 1 gram and a volume of 20 mL. Without additional context, the meaning and significance of these measurements is not available.*

Label1.jpg - Label1

Label1.jpg - Label1

VANCOMYCIN HYDROCHLORIDE is a sterile powder used for intravenous use. It is equivalent to 500mg Vancomycin. Before use, it must be diluted and stored in a refrigerator for up to 14 days after reconstitution. It should be kept out of children's reach and stored at 20 to 256. It is packaged by Henry Schein, Inc. Detailed information can be found in its package insert.*

* The product label images have been analyzed using a combination of traditional computing and machine learning techniques. It should be noted that the descriptions provided may not be entirely accurate as they are experimental in nature. Use the information in this page at your own discretion and risk.