Product Images Marcaine With Epinephrine

View Photos of Packaging, Labels & Appearance

Product Label Images

The following 31 images provide visual information about the product associated with Marcaine With Epinephrine NDC 0409-1749 by Hospira, Inc., such as packaging, labeling, and the appearance of the drug itself. This resource could be helpful for medical professionals, pharmacists, and patients seeking to verify medication information and ensure they have the correct product.

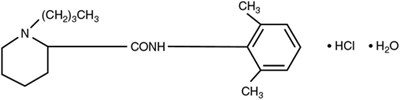
structural formula bupivacaine hydrochloride - marcaine 01

structural formula bupivacaine hydrochloride - marcaine 01

structural formula epinephrine - marcaine 02

structural formula epinephrine - marcaine 02

Hospira logo - marcaine 03

Hospira logo - marcaine 03

PRINCIPAL DISPLAY PANEL - 25 mg/10 mL Vial Label - 1559 - marcaine 04

PRINCIPAL DISPLAY PANEL - 25 mg/10 mL Vial Label - 1559 - marcaine 04

This appears to be a list of pharmaceutical products. It includes some information about single-dose vials of Marcaine and bupivacaine HClinjection, which are used for nerve blocks and anesthesia. It also includes some identification numbers and codes for FPO DataBar and PAA160397, but their purpose is unclear without additional context.*

Carton NDC 0409-1559-10 - marcaine 05

Carton NDC 0409-1559-10 - marcaine 05

This is a description of a medication called 'Marcaine' that comes in an injection form with 70 single-dose vials. The medication contains bupivacaine HCl and is free of preservatives. It is used for infiltration, nerve block, caudal, and epidural anesthesia. Each milliliter of injection contains 2.5 mg of bupivacaine with NaCl to make it isotonic in Water for Injection. It must be protected from light and stored at a temperature between 15°C to 30°C (59F to 86F). The medication is distributed by Hospir, Inc in Lake Forest, IL, USA, and made in Sweden.*

PRINCIPAL DISPLAY PANEL - 50 mg/10 mL Vial Label - 1560 - marcaine 06

PRINCIPAL DISPLAY PANEL - 50 mg/10 mL Vial Label - 1560 - marcaine 06

This appears to be a label from a medication package. The package contains an injectable solution for infiltration, nerve block, caudal, and epidural anesthesia. The medication is not meant for intrathecal anesthesia. The label includes the product name FPO DataBar with varying millimeter thickness, and the lot number, PAA160399. The medication is distributed by Hospira, Inc. in Lake Forest, IL, and must be discarded if any portion of it remains unused. The label also indicates a B E 30 mL NDC 0409-1559-19 and Rxonly code. The expiration date is listed as DMMMYYYY.*

Carton NDC 0409-1560-10 - marcaine 07

Carton NDC 0409-1560-10 - marcaine 07

This is a description for a medication called Marcaine. It is a bupivacaine HCl injection and is used for infiltration, nerve block, caudal and epidural anesthesia. The solution comes in 75mg/30mL (2.5 mg/mL) single-dose vials and is preservative-free. The usual dosage is indicated in the insert. The solution should not be used if it is discolored or contains a precipitate. The solution is clear and colorless and is stored between 15°C to 30°C (59°F to 86°F).*

PRINCIPAL DISPLAY PANEL - 75 mg/10 mL Vial Label - 1582 - marcaine 08

PRINCIPAL DISPLAY PANEL - 75 mg/10 mL Vial Label - 1582 - marcaine 08

This is a description of the drug named Marcaine containing bupivacaine HCl injection, it comes in Single-dose Vial of 10mL with 0.5% of Ropivacaine and 3% of bupivacaine. It is used for Nerve Block, Caudal, and Epidural Anesthesia. The drug is Preservative-Free, and its manufacturer is Hospira. It should not be used for Intrathecal Anesthesia.*

Carton NDC 0409-1582-10 - marcaine 09

Carton NDC 0409-1582-10 - marcaine 09

PRINCIPAL DISPLAY PANEL - 125 mg/50 mL Vial Label - 1587 - marcaine 10

PRINCIPAL DISPLAY PANEL - 125 mg/50 mL Vial Label - 1587 - marcaine 10

This is a label of a medicine called "Marcaine™ 0.5%" containing bupivacaine HCl injection. It is a single-dose vial that is free of preservatives and is used for nerve block, caudal, and epidural anesthesia procedures. It is not recommended for intrathecal anesthesia. The label contains information on the quantity of medicine present, instructions for use, and the manufacturer's contact details. The medicine should be discarded if not used after initial use, and the label shows the lot number and expiry date.*

Carton NDC 0409-1587-50 - marcaine 11

Carton NDC 0409-1587-50 - marcaine 11

This is a description for a medication called "Marcaine 0.5% bupivacaine HCl injection, USP" which is used for nerve block, caudal and epidural anesthesia. It comes in the form of 150mg/30mL (5mg/mL) injection with instructions to discard unused portions after initial use. It's provided in ten single-dose preservative-free vials and the usual dosage directions are to be found in the insert. It's clear and colorless and should be protected from light. The product is manufactured in Sweden and distributed by Hospira, Inc in the USA.*

PRINCIPAL DISPLAY PANEL - 250 mg/50 mL Vial Label - 1610 - marcaine 12

PRINCIPAL DISPLAY PANEL - 250 mg/50 mL Vial Label - 1610 - marcaine 12

This appears to be labeling information for a medication, specifically one called "Zoghg" in a 10mL dose with the National Drug Code (NDC) 0409-1582-18. It is preservative-free and appears to be used for epidural and retrobulbar anesthesia, but is not intended for obstetric or intrathecal anesthesia. The label also mentions "Marcaine" 0.75% and "bupivacaine HCl injection, USP," potentially indicating its active ingredients. The other text relates to specific product codes and identifiers.*

Carton NDC 0409-1610-50 - marcaine 13

Carton NDC 0409-1610-50 - marcaine 13

This is a product description of a medication called "bupivacaine HCl injection, USP 75 mg/10 mL (7.5 mg/mL)". It is used for epidural and retrobulbar anesthesia but not for obstetric or intrathecal anesthesia. Each mL of the medication contains 7.5 mg bupivacaine HCl, with Nacito make isotonic, in water for injection, and its pH is adjusted with NaOH or HCl. The usual dosage is specified in the insert, and it should be protected from light and stored at 20°C to 25°C (68°F to 77°F). It is distributed by Hospira, Inc. The beginning of the text seems to include a product code and dosage information for another medication in single-dose vials, but it is not clear what the medication is for or what is included in the vials.*

PRINCIPAL DISPLAY PANEL - 25 mg/10 mL Vial Label - 1746 - marcaine 14

PRINCIPAL DISPLAY PANEL - 25 mg/10 mL Vial Label - 1746 - marcaine 14

This is a description of a Marcaine injection in a single-dose vial of 30mL. It is a bupivacaine HCl injection, USP of 225mg/30 mL (7.5 mg/mL). It is intended for epidural and retrobulbar anesthesia but not for intrathecal or obstetric use. The vial has no preservatives and is only available by prescription. The manufacturer is Hospira, Inc. The unused portion should be discarded after use.*

Carton NDC 0409-1746-10 - marcaine 15

Carton NDC 0409-1746-10 - marcaine 15

This is a description of bupivacaine HCI solution manufactured in Sweden and distributed by Hospira Inc. It comes in 10 single-dose vials of preservative-free solution, each containing 7.5mg/mL of bupivacaine HCI. The solution is intended for epidural and retrobulbar anesthesia only and should not be used for obstetric or intrathecal anesthesia. It's clear and colorless, and the pH is adjusted with NaOH or HCl. The unused portion should be discarded after initial use. The product must be stored between 15°C to 30°C (59°F to 86°F), with excursions permitted between 15°C to 30°C (59°F to 86°F). More detailed information can be found in the insert, and the product is distributed in the US by Hospira Inc, Lake Forest, L 60045.*

PRINCIPAL DISPLAY PANEL - 50 mg/10 mL Vial Label - 1749 - marcaine 16

PRINCIPAL DISPLAY PANEL - 50 mg/10 mL Vial Label - 1749 - marcaine 16

This text describes a medication called Marcaine 0.25% containing bupivacaine HCl for caudal, epidural, or intrathecal anesthesia. It comes in a 50mL multiple-dose vial with a dosage of 2.5mg/mL and must be protected from light. The solution is isotonic and pH-adjusted with NaOH or HCl. The medication is distributed by Hospira, Inc. in Lake Forest, IL. There is also a code labeled FPO 2D 15 il and a barcode.*

Carton NDC 0409-1749-10 - marcaine 17

Carton NDC 0409-1749-10 - marcaine 17

This is a description of a drug product labeled "Marcaine" in a 50 mL vial. The drug contains 0.25% bupivacaine hydrochloride injection with 2.5mg/mL strength, and it is an isotonic solution in water for injection. Each mL of the solution contains 25mg bupivacaine HC, 1mg methylparaben as an antiseptic preservative, and Sodium Chloride. The pH of the solution is adjusted with NaOH or HCL, and it is not suitable for caudal, epidural, or intrathecal anesthesia. It is manufactured in Sweden and distributed by Hospira Inc. The package contains both Dosage and usage details.*

PRINCIPAL DISPLAY PANEL - 125 mg/50 mL Vial Label - 1752 - marcaine 18

PRINCIPAL DISPLAY PANEL - 125 mg/50 mL Vial Label - 1752 - marcaine 18

This is a description of a medical product called Marcaine. It is a local anesthetic drug that comes in a 50 mL multiple-dose vial. It is used for caudal, epidural, or nerve block injections, and contains the active ingredient bupivacaine HCl at a concentration of 5mg/mL. The dosage information is available in the insert, and the product should be protected from light and stored at a temperature range of 20°C to 25°C. The product is distributed by Hospira, Inc. The lot number and expiration date are also provided.*

Carton NDC 0409-1752-50 - marcaine 19

Carton NDC 0409-1752-50 - marcaine 19

This is a product information sheet for a Marcaine injection, containing 0.5% bupivacaine HCl in 50mL multiple-dose vials with 250 mg/50mL (5mg/mL) concentration. It is for nerve block injections and should not be used for caudal, epidural, or intrathecal anesthesia. Each mL contains 5mg bupivacaine HCL, with 1mg methylparaben as an antiseptic preservative and NaCl to make it isotonic. It is pH adjusted with NaOH or HC, and should be stored at 20°C to 25°C (68°F to 77°F). Each vial contains the lot number, expiration date, and other necessary product information. This product is distributed by Hospir, Inc., located in Lake Forest, USA.*

PRINCIPAL DISPLAY PANEL - 250 mg/50 mL Vial Label - 1755 - marcaine 20

PRINCIPAL DISPLAY PANEL - 250 mg/50 mL Vial Label - 1755 - marcaine 20

This is a description of a medication called FPO-2D. It is a 15 mil preservative-free single-dose vial containing 25mg/10mL (2.5mg/mL) of lbupivacaine hydrochloride and epinephrine injection, USP (as bitartrate). It is used for infiltration, nerve block, caudal and epidural anesthesia. The medication is not to be autoclaved and contains sulfites. Additionally, the vial contains sodium metabisulfite, ascorbic acid, edetate disodium, and sodium chloride. The medication is recommended to be protected from light and should only be used if it has not changed color or contains precipitate. The medication is produced by Hospira.*

Carton NDC 0409-1755-50 - marcaine 21

Carton NDC 0409-1755-50 - marcaine 21

This is a prescription-only medication for infiltration, nerve block, caudal, and epidural anesthesia. It comes in a package that includes 10 single-dose vials, each containing 10mL of bupivacaine hydrochloride and epinephrine injection. The medication is preservative-free and is not intended for intrathecal anesthesia. the usual dosage information should be seen in the insert that comes with the package. You should protect the medication from light and discard any unused portions. The medication is distributed by Hospira, Inc. in the USA.*

marcaine 22

marcaine 22

marcaine 23

marcaine 23

This is a description of a medication, Hospira Inc's Marcaine, used for infiltration, nerve block, caudal, and epidural anesthesia. It contains bupivacaine hydrochloride and epinephrine, with a strength of 75 mg/30 mL (2.5 mg/mL), as well as epinephrine bitartrate in a concentration of 1:200,000. It comes in a 30 mL package of 10 single-dose vials, with an NDC number of 0409174630. The product contains sulfites, and the solution should be discarded if it shows discoloration or contains a precipitate. The usual dosage is indicated in the package insert. This medication is not intended for intrathecal anesthesia.*

marcaine 24

marcaine 24

This is a description of an anesthetic product called Marcaine. It is a 0.5% bupivacaine hydrochloride solution with epinephrine injection, USP dosage. Each single-dose vial contains 10 mL of the product. It is used for nerve block, caudal, and epidural anesthesia. It should not be used for intrathecal anesthesia. The product should be protected from light, stored at controlled room temperature, and discarded if unused. The manufacturer of the product is Hospira, Inc. and the lot number and expiration date are provided.*

marcaine 25

marcaine 25

This is a description of a drug called Marcaine, which comes in a box with 10 single-dose vials containing 10 ml each. The vial is preserved free and contains Bupivacaine hydrochloride and epinephrine injection, USP. The drug is used for nerve block, caudal, and epidural anesthesia, and not for intrathecal anesthesia. The drug is not to be autoclaved, and contains sulfites. The usual dosage is defined in an insert delivered with the box. It should be protected from light and discarded when the solution is discolored or contains precipitate. The drug is distributed in the US by Hospira, Inc.*

marcaine 26

marcaine 26

This text contains a mixture of data that includes an identification number, addresses, and measurements. There are also some illegible characters. The data may be from medical or scientific sources, and some of it seems to relate to a bupivacaine HCl and epinephrine bitartrate solution. However, due to the incomplete nature of the text, further information cannot be determined.*

marcaine 27

marcaine 27

This is a description of a 30mL single-dose vial for nerve block, caudal, and epidural anesthesia with bupivacaine hydrochloride and epinephrine injection. The vial contains 10 single doses and is distributed by Hospira Inc in Lake Forest, USA. The product also contains sodium metabisulfite, monothioglycerol, ascorbic acid as antioxidants, edetate calcium disodium as a stabilizer, and NaCl to make isotonic solution in Water for Injection. It warns that the product contains sulfites and needs to be stored between 20-25°C. The usual dosage is not specified, and the instructions warn not to use this product if it is discolored or contains precipitate.*

marcaine 28

marcaine 28

This is a description of a medication called bupivacaine hydrochloride and epinephrine injection, sold in a 50mL multiple-dose vial, for infiltration and nerve block use only. It contains epinephrine and sulfites and is not for use in caudal, epidural, or intrathecal anesthesia. The product has specific dosages and precautions, as noted in the package insert. The medication is distributed by Hospira and includes other constituents, such as sodium metabisulfite, ascoric acid, and edeate alcum. The lot number of the specific medication mentioned is PAA174206.*

marcaine 29

marcaine 29

This product is a pharmaceutical solution containing bupivacaine hydrochloride and epinephrine injection, used for infiltration and nerve block. It is provided in a multiple-dose vial of 50 mL with a concentration of 0.25%. The vial is clearly labeled and includes several warning notices, advising proper storage conditions, proper use, and warnings for potential side effects. The product appears to be targeted towards medical professionals, and dosage recommendations are provided via a package insert.*

marcaine 30

marcaine 30

This is a description for a drug named Marcaine. It is a bupivacaine hydrochloride injection containing sodium lactate and edetate calcium disodium. The drug is available in a 50 mL multiple-dose vial and each mL of the solution contains 5 mg of bupivacaine HC and 0.091 mg epinephrine. The solution is adjusted with NaOH or HO to make it isotonic and has a pH adjusted to protect it from light. The drug should not be used if it is discolored or contains a precipitate. The dosage should be taken as per package instructions. The drug is distributed by Hospis, Inc., located in Lake Forest, L 60045 USA. However, there is no information regarding the drug's purpose.*

marcaine 31

marcaine 31

This is a product label for a medication called Marcaine. It is a bupivacaine hydrochloride and epinephrine injection used for nerve block. It comes in a 50 mL multiple-dose vial with a concentration of 0.5% (250 mg/50 mL or 5 mg/mL) and contains epinephrine. The label also warns that it contains sulfates and should not be used for caudal, epidural, or intrathecal anesthesia. There are several medical codes and a data matrix present on the label as well.*

* The product label images have been analyzed using a combination of traditional computing and machine learning techniques. It should be noted that the descriptions provided may not be entirely accurate as they are experimental in nature. Use the information in this page at your own discretion and risk.