FDA Label for Temovate
View Indications, Usage & Precautions
- OTHER
- DESCRIPTION
- CLINICAL PHARMACOLOGY
- PHARMACOKINETICS
- INDICATIONS AND USAGE
- CONTRAINDICATIONS
- GENERAL PRECAUTIONS
- INFORMATION FOR PATIENTS
- LABORATORY TESTS
- CARCINOGENESIS & MUTAGENESIS & IMPAIRMENT OF FERTILITY
- PREGNANCY
- NURSING MOTHERS
- PEDIATRIC USE
- GERIATRIC USE
- ADVERSE REACTIONS
- OVERDOSAGE
- DOSAGE AND ADMINISTRATION
- HOW SUPPLIED
- STORAGE AND HANDLING
- PACKAGE LABEL – PRINCIPAL DISPLAY PANEL – 60 G CONTAINER
- PACKAGE LABEL – PRINCIPAL DISPLAY PANEL – 60 G CARTON
Temovate Product Label
The following document was submitted to the FDA by the labeler of this product Pharmaderm, A Division Of Fougera Pharmaceuticals Inc.. The document includes published materials associated whith this product with the essential scientific information about this product as well as other prescribing information. Product labels may durg indications and usage, generic names, contraindications, active ingredients, strength dosage, routes of administration, appearance, warnings, inactive ingredients, etc.
Other
Rx Only
FOR TOPICAL DERMATOLOGIC USE ONLY—
NOT FOR OPHTHALMIC, ORAL, OR INTRAVAGINAL USE
Geriatric Use: In studies where geriatric patients (65 years of age or older, see PRECAUTIONS) have been treated with TEMOVATE® Gel, safety did not differ from that in younger patients; therefore, no dosage adjustment is recommended.
Description
TEMOVATE® (clobetasol propionate gel) Gel, 0.05% contains the active compound clobetasol propionate, a synthetic corticosteroid, for topical dermatologic use. Clobetasol, an analog of pred-nisolone, has a high degree of glucocorticoid activity and a slight degree of mineralocorticoid activity.
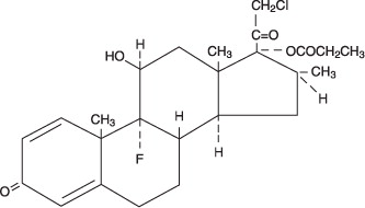
Chemically, clobetasol propionate is (11β,16 β)-21-chloro-9-fluoro-11-hydroxy-16-methyl-17-(1-oxopropoxy)-pregna-1,4-diene-3,20-dione, and it has the following structural formula:
Clobetasol propionate has the molecular formula C25H32CIFO5 and a molecular weight of 467. It is a white to cream-colored crystalline powder insoluble in water.
TEMOVATE® Gel contains clobetasol propi-onate 0.5 mg/g in a base of propylene glycol, carbomer 934P, sodium hydroxide, and purified water.
Clinical Pharmacology
Like other topical corticosteroids, clobetasol propionate has anti-inflammatory, antipruritic, and vasoconstrictive properties. The mechanism of the anti-inflammatory activity of the topical steroids, in general, is unclear. However, corti-costeroids are thought to act by the induction of phospholipase A2 inhibitory proteins, collectively called lipocortins. It is postulated that these proteins control the biosynthesis of potent mediators of inflammation such as prosta-glandins and leukotrienes by inhibiting the release of their common precursor, arachidonic acid. Arachidonic acid is released from membrane phospholipids by phospholipase A2.
Pharmacokinetics
Pharmacokinetics: The extent of percutaneous absorption of topical corticosteroids is determined by many factors, including the vehicle and the integrity of the epidermal barrier. Occlusive dressing with hydrocortisone for up to 24 hours has not been demonstrated to increase penetration; however, occlusion of hydrocortisone for 96 hours markedly enhances penetration. Topical corticosteroids can be absorbed from normal intact skin. Inflammation and/or other disease processes in the skin may increase percutaneous absorption. Greater absorption was observed for the TEMOVATE® gel formulation as compared to the cream formulation in in vitro human skin penetration studies.
Studies performed with TEMOVATE® Gel indicate that it is in the super-high range of potency as compared with other topical corticosteroids.
Indications And Usage
TEMOVATE® Gel is a super-high potency cor-ticosteroid formulation indicated for the relief of the inflammatory and pruritic manifestations of corticosteroid-responsive dermatoses. Treatment beyond 2 consecutive weeks is not recommended, and the total dosage should not exceed 50 g/week because of the potential for the drug to suppress the hypothalamic-pituitary-adrenal (HPA) axis. Use in pediatric patients under 12 years of age is not recommended.
Contraindications
TEMOVATE® Gel is contraindicated in those patients with a history of hypersensitivity to any of the components of the preparation.
General Precautions
General: Clobetasol propionate is a highly potent topical corticosteroid that has been shown to suppress the HPA axis at doses as low as 2 g/day.
Systemic absorption of topical corticosteroids can produce reversible HPA axis suppression with the potential for glucocorticosteroid insufficiency after withdrawal from treatment. Manifestations of Cushing syndrome, hyperglycemia, and glu-cosuria can also be produced in some patients by systemic absorption of topical corticosteroids while on therapy.
Patients applying a topical steroid to a large surface area or to areas under occlusion should be evaluated periodically for evidence of HPA axis suppression. This may be done by using the ACTH stimulation, A.M. plasma cortisol, and urinary free cortisol tests. Patients receiving super-potent corticosteroids should not be treated for more than 2 weeks at a time, and only small areas should be treated at any one time due to the increased risk of HPA suppression.
If HPA axis suppression is noted, an attempt should be made to withdraw the drug, to reduce the frequency of application, or to substitute a less potent corticosteroid. Recovery of HPA axis function is generally prompt and complete upon discontinuation of topical corticosteroids. Infrequently, signs and symptoms of glucocorticosteroid insufficiency may occur that require supplemental systemic corticosteroids. For information on systemic supplementation, see prescribing information for those products.
Pediatric patients may be more susceptible to systemic toxicity from equivalent doses due to their larger skin surface to body mass ratios (see PRECAUTIONS: Pediatric Use).
If irritation develops, TEMOVATE® Gel should be discontinued and appropriate therapy instituted. Allergic contact dermatitis with corticos-teroids is usually diagnosed by observing a failure to heal rather than noting a clinical exacerbation as with most topical products not containing corticosteroids. Such an observation should be corroborated with appropriate diagnostic patch testing.
If concomitant skin infections are present or develop, an appropriate antifungal or antibacterial agent should be used. If a favorable response does not occur promptly, use of TEMOVATE® Gel should be discontinued until the infection has been adequately controlled.
TEMOVATE® Gel should not be used in the treatment of rosacea or perioral dermatitis, and should not be used on the face, groin, or axillae.
Information For Patients
Information for Patients: Patients using topical corticosteroids should receive the following information and instructions:
- This medication is to be used as directed by the physician. It is for external use only. Avoid contact with the eyes.
- This medication should not be used for any disorder other than that for which it was prescribed.
- The treated skin area should not be bandaged, otherwise covered, or wrapped so as to be occlusive unless directed by the physician.
- Patients should report any signs of local adverse reactions to the physician.
- Patients should inform their physicians that they are using TEMOVATE® if surgery is contemplated.
Laboratory Tests
Laboratory Tests: The following tests may be helpful in evaluating patients for HPA axis suppression:
ACTH stimulation test
A.M. plasma cortisol test
Urinary free cortisol test
Carcinogenesis & Mutagenesis & Impairment Of Fertility
Carcinogenesis, Mutagenesis, Impairment of Fertility: Long-term animal studies have not been performed to evaluate the carcinogenic potential of clobetasol propionate.
Studies in the rat following subcutaneous administration at dosage levels up to 50 mcg/kg/day revealed that the females exhibited an increase in the number of resorbed embryos and a decrease in the number of living fetuses at the highest dose.
Clobetasol propionate was nonmutagenic in 3 different test systems: the Ames test, the Saccharomyces cerevisiae gene conversion assay, and the E. coli B WP2 fluctuation test.
Pregnancy
Pregnancy: Teratogenic Effects: Pregnancy Category C. Corticosteroids have been shown to be teratogenic in laboratory animals when administered systemically at relatively low dosage levels. Some corticosteroids have been shown to be teratogenic after dermal application to laboratory animals.
Clobetasol propionate has not been tested for teratogenicity when applied topically; however, it is absorbed percutaneously, and when administered subcutaneously it was a significant teratogen in both the rabbit and mouse. Clobetasol propionate has greater teratogenic potential than steroids that are less potent.
Teratogenicity studies in mice using the subcutaneous route resulted in fetotoxicity at the highest dose tested (1 mg/kg) and teratogenicity at all dose levels tested down to 0.03 mg/kg. These doses are approximately 1.4 and 0.04 times, respectively, the human topical dose of TEMOVATE® Gel. Abnormalities seen included cleft palate and skeletal abnormalities.
In rabbits, clobetasol propionate was teratogenic at doses of 3 and 10 mcg/kg. These doses are approximately 0.02 and 0.05 times, respectively, the human topical dose of TEMO-VATE® Gel. Abnormalities seen included cleft palate, cranioschisis, and other skeletal abnormalities.
There are no adequate and well-controlled studies of the teratogenic potential of clobeta-sol propionate in pregnant women. TEMOVATE® Gel should be used during pregnancy only if the potential benefit justifies the potential risk to the fetus.
Nursing Mothers
Nursing Mothers: Systemically administered corticosteroids appear in human milk and could suppress growth, interfere with endogenous cor-ticosteroid production, or cause other untoward effects. It is not known whether topical administration of corticosteroids could result in sufficient systemic absorption to produce detectable quantities in human milk. Because many drugs are excreted in human milk, caution should be exercised when TEMOVATE® Gel is administered to a nursing woman.
Pediatric Use
Pediatric Use: Safety and effectiveness of TEMOVATE® Gel in children and infants have not been established; therefore, use in children under 12 years of age is not recommended. Because of a higher ratio of skin surface area to body mass, children are at a greater risk than adults of HPA axis suppression when they are treated with topical corticosteroids. They are therefore also at greater risk of adrenal insufficiency after withdrawal of treatment and of Cushing syndrome while on treatment. Adverse effects including striae have been reported with inappropriate use of topical corticosteroids in infants and children (see PRECAUTIONS).
HPA axis suppression, Cushing syndrome, and intracranial hypertension have been reported in children receiving topical corticosteroids. Manifestations of adrenal suppression in children include linear growth retardation, delayed weight gain, low plasma cortisol levels, and absence of response to ACTH stimulation. Manifestations of intracranial hypertension include bulging fontanelles, headaches, and bilateral papilledema.
Geriatric Use
Geriatric Use: A limited number of patients at or above 65 years of age (n = 37) have been treated with TEMOVATE® Gel in US clinical trials. The number of patients is too small to permit separate analysis of efficacy and safety, and no adverse events were reported in geriatric patients. Based on available data, no adjustment of dosage of TEMOVATE® Gel in geriatric patients is warranted.
Adverse Reactions
In a controlled trial with TEMOVATE® Gel, the only reported adverse reaction that was considered to be drug related was a report of burning sensation (1.8% of treated patients).
In larger controlled clinical trials with other clobetasol propionate formulations, the most frequently reported adverse reactions have included burning, stinging, irritation, pruritus, erythema, folliculitis, cracking and fissuring of the skin, numbness of fingers, skin atrophy, and telangiectasia (all less than 2%).
Cushing syndrome has been reported in infants and adults as a result of prolonged use of topical clobetasol propionate formulations.
The following additional local adverse reactions are reported infrequently with topical corti-costeroids, but may occur more frequently with super-high potency corticosteroids such as TEMOVATE® Gel. These reactions are listed in approximate decreasing order of occurrence: dryness, hypertrichosis, acneiform eruptions, hypopigmentation, perioral dermatitis, allergic contact dermatitis, secondary infection, irritation, striae, and miliaria.
Overdosage
Topically applied TEMOVATE® Gel can be absorbed in sufficient amounts to produce systemic effects (see PRECAUTIONS).
Dosage And Administration
Apply a thin layer of TEMOVATE® Gel to the affected skin areas twice daily and rub in gently and completely (see INDICATIONS AND USAGE).
TEMOVATE® Gel is a super-high potency topical corticosteroid; therefore, treatment should be limited to 2 consecutive weeks and amounts greater than 50 g/week should not be used.
As with other highly active corticosteroids, therapy should be discontinued when control has been achieved. If no improvement is seen within 2 weeks, reassessment of diagnosis may be necessary.
TEMOVATE® Gel should not be used with occlusive dressings.
How Supplied
TEMOVATE® (clobetasol propionate gel) Gel 0.05% is supplied in: 60-g tubes (NDC 0462-0293-60).
Storage And Handling
Store between 2° and 30°C (36° and 86°F).
PharamDerm®
A division of Nycomed US Inc.
Melville, NY 11747 USA
www.pharmaderm.com
I8293A
R3/08
#164
Package Label – Principal Display Panel – 60 G Container
PharmaDerm® NDC 0462-0293-60
Temovate® Gel, 0.05%
(clobetasol propionate ointment)
For dermatologic use only —
Not for ophthalmic use.
Rx only 60 g
Package Label – Principal Display Panel – 60 G Carton
PharmaDerm® NDC 0462-0293-60
Temovate® Gel, 0.05%
(clobetasol propionate ointment)
For dermatologic use only —Not for ophthalmic use.
Rx only 60 g
* Please review the disclaimer below.


