FDA Label for Xospata
View Indications, Usage & Precautions
- 1.1 RELAPSED OR REFRACTORY ACUTE MYELOID LEUKEMIA
- 2.1 PATIENT SELECTION
- 2.2 RECOMMENDED DOSAGE
- 2.3 DOSE MODIFICATION
- 3 DOSAGE FORMS AND STRENGTHS
- 4 CONTRAINDICATIONS
- 5.1 POSTERIOR REVERSIBLE ENCEPHALOPATHY SYNDROME
- 5.2 PROLONGED QT INTERVAL
- 5.3 PANCREATITIS
- 5.4 EMBRYO-FETAL TOXICITY
- 6 ADVERSE REACTIONS
- 6.1 CLINICAL TRIALS EXPERIENCE
- 7.1 EFFECT OF OTHER DRUGS ON XOSPATA
- 7.2 EFFECT OF XOSPATA ON OTHER DRUGS
- 8.1 PREGNANCY
- 8.2 LACTATION
- 8.3 FEMALES AND MALES OF REPRODUCTIVE POTENTIAL
- 8.4 PEDIATRIC USE
- 8.5 GERIATRIC USE
- 11 DESCRIPTION
- 12.1 MECHANISM OF ACTION
- 12.2 PHARMACODYNAMICS
- 12.3 PHARMACOKINETICS
- 13.1 CARCINOGENESIS, MUTAGENESIS, IMPAIRMENT OF FERTILITY
- 13.2 ANIMAL TOXICOLOGY AND/OR PHARMACOLOGY
- 14.1 RELAPSED OR REFRACTORY ACUTE MYELOID LEUKEMIA
- 16.1 HOW SUPPLIED
- 16.2 STORAGE
- 17 PATIENT COUNSELING INFORMATION
- SPL PATIENT PACKAGE INSERT
- PACKAGE/LABEL PRINCIPAL DISPLAY PANEL – 40 MG TABLET BOTTLE CARTON
Xospata Product Label
The following document was submitted to the FDA by the labeler of this product Astellas Pharma Us, Inc.. The document includes published materials associated whith this product with the essential scientific information about this product as well as other prescribing information. Product labels may durg indications and usage, generic names, contraindications, active ingredients, strength dosage, routes of administration, appearance, warnings, inactive ingredients, etc.
1.1 Relapsed Or Refractory Acute Myeloid Leukemia
XOSPATA is indicated for the treatment of adult patients who have relapsed or refractory acute myeloid leukemia (AML) with a FMS-like tyrosine kinase 3 (FLT3) mutation as detected by an FDA-approved test.
2.1 Patient Selection
Select patients for the treatment of AML with XOSPATA based on the presence of FLT3 mutations in the blood or bone marrow [see Clinical Studies (14)]. Information on FDA-approved tests for the detection of a FLT3 mutation in AML is available at http://www.fda.gov/CompanionDiagnostics.
2.2 Recommended Dosage
The recommended starting dose of XOSPATA is 120 mg orally once daily with or without food. Response may be delayed. In the absence of disease progression or unacceptable toxicity, treatment for a minimum of 6 months is recommended to allow time for a clinical response.
Do not break or crush XOSPATA tablets. Administer XOSPATA tablets orally about the same time each day. If a dose of XOSPATA is missed or not taken at the usual time, administer the dose as soon as possible on the same day, and at least 12 hours prior to the next scheduled dose. Return to the normal schedule the following day. Do not administer 2 doses within 12 hours.
2.3 Dose Modification
Assess blood counts and blood chemistries, including creatine phosphokinase, prior to the initiation of XOSPATA, at least once weekly for the first month, once every other week for the second month, and once monthly for the duration of therapy. Perform electrocardiogram (ECG) prior to initiation of treatment with gilteritinib, on days 8 and 15 of cycle 1, and prior to the start of the next two subsequent cycles.
Interrupt dosing or reduce dose for toxicities as per Table 1.
Adverse Reaction | Recommended Action |
|
|
|
|
|
|
|
|
|
|
3 Dosage Forms And Strengths
40 mg tablet: light yellow, round-shaped film-coated tablet debossed with the Astellas logo and ‘235’ on the same side.
4 Contraindications
XOSPATA is contraindicated in patients with hypersensitivity to gilteritinib or any of the excipients. Anaphylactic reactions have been observed in clinical trials [see Adverse Reactions (6) and Description (11)].
5.1 Posterior Reversible Encephalopathy Syndrome
There have been rare reports of posterior reversible encephalopathy syndrome (PRES) with symptoms including seizure and altered mental status with XOSPATA. Symptoms have resolved after discontinuation of XOSPATA. A diagnosis of PRES requires confirmation by brain imaging, preferably magnetic resonance imaging (MRI). Discontinue XOSPATA in patients who develop PRES [see Dosage and Administration (2.3) and Adverse Reactions (6.1)].
5.2 Prolonged Qt Interval
XOSPATA has been associated with prolonged cardiac ventricular repolarization (QT interval). Of the 292 patients treated with XOSPATA in the clinical trial, 1.4% were found to have a QTc interval greater than 500 msec and 7% of patients had an increase from baseline QTc greater than 60 msec. Perform electrocardiogram (ECG) prior to initiation of treatment with gilteritinib, on days 8 and 15 of cycle 1, and prior to the start of the next two subsequent cycles. Interrupt and reduce XOSPATA dosage in patients who have a QTcF >500 msec [see Dosage and Administration (2.3), Adverse Reactions (6.1) and Clinical Pharmacology (12.2)].
Hypokalemia or hypomagnesemia may increase the QT prolongation risk. Correct hypokalemia or hypomagnesemia prior to and during XOSPATA administration.
5.3 Pancreatitis
There have been rare reports of pancreatitis in patients receiving XOSPATA in clinical studies. Evaluate patients who develop signs and symptoms of pancreatitis. Interrupt and reduce the dose of XOSPATA in patients who develop pancreatitis [see Dosage and Administration (2.3)].
5.4 Embryo-Fetal Toxicity
Based on findings in animals and its mechanism of action, XOSPATA can cause embryo-fetal harm when administered to a pregnant woman. In animal reproduction studies, administration of gilteritinib to pregnant rats during organogenesis caused embryo-fetal lethality, suppressed fetal growth and teratogenicity at maternal exposures (AUC24) approximately 0.4 times the AUC24 in patients receiving the recommended dose. Advise females of reproductive potential to use effective contraception during treatment with XOSPATA and for at least 6 months after the last dose of XOSPATA. Advise males with female partners of reproductive potential to use effective contraception during treatment with XOSPATA and for at least 4 months after the last dose of XOSPATA. Pregnant women, patients becoming pregnant while receiving XOSPATA or male patients with pregnant female partners should be apprised of the potential risk to the fetus [see Use in Specific Populations (8.1, 8.3) and Clinical Pharmacology (12.1)].
6 Adverse Reactions
The following serious adverse reactions are described elsewhere in the labeling:
6.1 Clinical Trials Experience
Because clinical trials are conducted under widely varying conditions, adverse reaction rates observed in the clinical trials of a drug cannot be directly compared to rates in the clinical trials of another drug and may not reflect the rates observed in practice.
The safety evaluation of XOSPATA is based on 292 patients with relapsed or refractory AML treated with 120 mg gilteritinib daily. The median duration of exposure to XOSPATA was 3 months (range 0.1 to 42.8 months).
The most frequent nonhematological serious adverse reactions (≥5%) reported in patients were pneumonia (19%), sepsis (13%), fever (13%), dyspnea (7%) and renal impairment (5%).
Overall, 22 of 292 patients (8%) discontinued XOSPATA treatment permanently due to an adverse reaction. The most common adverse reactions (>1%) leading to discontinuation were pneumonia (2%), sepsis (2%) and dyspnea (1%). The most common adverse reactions (≥20%) were myalgia/arthralgia (42%), transaminase increased (41%), fatigue/malaise (40%), fever (35%), noninfectious diarrhea (34%), dyspnea (34%), edema (34%), rash (30%), pneumonia (30%), nausea (27%), stomatitis (26%), cough (25%), headache (21%), hypotension (21%), dizziness (20%) and vomiting (20%).
Body System Adverse Reaction | XOSPATA (120 mg daily) N=292 | |
Any Grade n (%) | Grade ≥3 Grade 3-5 includes serious, life-threatening and fatal adverse reactions n (%) | |
Musculoskeletal and Connective Tissue Disorders | ||
Myalgia/arthralgia Grouped terms: arthralgia, back pain, bone pain, myalgia, musculoskeletal pain, neck pain, non-cardiac chest pain, pain and pain in extremity | 123 (42) | 13 (5) |
Investigations | ||
Transaminase increased Grouped terms: aspartate aminotransferase increased, alanine aminotransferase increased, transaminases increased, liver function test increased, hepatic failure, hepatocellular injury and hepatotoxicity | 121 (41) | 47 (16) |
Bilirubin increase Grouped terms: blood bilirubin increased and hyperbilirubinemia | 31 (11) | 14 (5) |
General Disorders and Administration Site Conditions | ||
Fatigue/malaise Grouped terms: asthenia, fatigue and malaise | 116 (40) | 14 (5) |
Fever Grouped terms: body temperature increased and fever | 103 (35) | 13 (5) |
Edema Grouped terms: edema, face edema, fluid retention, generalized edema, localized edema, edema peripheral, peripheral swelling and swelling face | 100 (34) | 5 (2) |
Noninfectious diarrhea Grouped terms: diarrhea and diarrhea hemorrhagic | 99 (34) | 8 (3) |
Constipation | 80 (27) | 2 (<1) |
Nausea | 78 (27) | 4 (1) |
Stomatitis Grouped terms: aphthous ulcer, mucosal inflammation, mouth hemorrhage, mouth ulceration, oral mucosal blistering, oral mucosal erythema, stomatitis and tongue ulceration | 77 (26) | 11 (4) |
Vomiting Grouped terms: hematemesis and vomiting | 58 (20) | 3 (1) |
Respiratory, Thoracic and Mediastinal Disorders | ||
Dyspnea Grouped terms: acute respiratory failure, acute respiratory distress syndrome, dyspnea, dyspnea exertional, hypoxia, pulmonary edema, respiratory distress, respiratory failure, tachypnea and wheezing | 98 (34) | 36 (12) |
Cough | 74 (25) | 1 (<1) |
Skin and subcutaneous tissue disorders | ||
Rash Grouped terms: dermatitis, dermatitis bullous, dermatitis contact, drug eruption, dermatitis exfoliative, eczema asteatotic, lichen planus, erythema, palmar-plantar erythrodysethesia syndrome, photosensitivity reaction, psoriasis, rash, rash erythematous, rash follicular, rash generalized, rash macular, rash maculo-papular, rash papular, rash pruritic, seborrheic dermatitis, skin exfoliation and toxic skin eruption | 87 (30) | 8 (3) |
Infections and Infestations | ||
Pneumonia Grouped terms: pneumonia, lung infection, pneumonia fungal, respiratory syncytial virus infection, respiratory tract infection, lung infiltration, organizing pneumonia, lower respiratory tract infection bacterial, pneumonia aspiration, pneumonitis, interstitial lung disease, lower respiratory tract infection and pneumonia viral | 89 (30) | 66 (23) |
Sepsis Grouped terms: sepsis, bacteremia, septic shock, bacterial sepsis and neutropenic sepsis | 43 (15) | 41 (14) |
Vascular disorders | ||
Hypotension Grouped terms: blood pressure decreased, hypotension and orthostatic hypotension | 60 (21) | 21 (7) |
Hypertension Grouped terms: blood pressure increased, hypertension and orthostatic hypertension | 30 (10) | 17 (6) |
Nervous System Disorders | ||
Headache Grouped terms: headache and tension headache | 60 (21) | 4 (1) |
Dizziness Grouped terms: dizziness, dizziness postural and vertigo | 57 (20) | 1 (<1) |
Dysgeusia | 31 (11) | 0 |
Renal and urinary disorders | ||
Renal impairment Grouped terms: acute kidney injury, blood creatinine increased, chronic kidney disease, oliguria, renal disorder, renal failure, renal impairment, renal injury and renal tubular necrosis | 54 (19) | 11 (4) |
Gastrointestinal Disorders | ||
Abdominal pain Grouped terms: abdominal discomfort, abdominal pain, abdominal pain lower, abdominal pain upper, epigastric discomfort and gastrointestinal pain | 50 (17) | 5 (2) |
Metabolism and Nutrition disorders | ||
Decreased appetite | 44 (15) | 6 (2) |
Psychiatric Disorders | ||
Insomnia | 42 (14) | 1 (<1) |
Other clinically significant adverse reactions occurring in ≤10% of patients included: electrocardiogram QT prolonged (7%), cardiac failure* (4%), pericardial effusion (3%), pericarditis (2%), differentiation syndrome (1%), anaphylactic reaction (1%) and posterior reversible encephalopathy syndrome (1%).
*Grouped terms: cardiac failure, cardiac failure congestive, cardiomyopathy, cardiomegaly, chronic left ventricular failure and ejection fraction decreased.
Changes in selected post-baseline laboratory values that were observed in patients with relapsed or refractory AML are shown in Table 3.
Parameter | XOSPATA (120 mg daily) N=292 | ||
Any Grade n (%) | Grade ≥3 Grade 3-5 includes serious, life-threatening and fatal adverse reactions. n (%) | ||
Creatinine increased | 273 (94) | 10 (3) | |
Hyperglycemia | 252 (86) | 26 (9) | |
Hypertriglyceridemia | 237 (81) | 18 (6) | |
Alanine aminotransferase increased | 229 (78) | 35 (12) | |
Aspartate aminotransferase increased | 228 (78) | 28 (10) | |
Alkaline phosphatase increased | 189 (65) | 3 (1) | |
Hypocalcemia | 179 (61) | 15 (5) | |
Hypoalbuminemia | 169 (58) | 10 (3) | |
Creatine kinase increased | 157 (54) | 14 (5) | |
Hypophosphatemia | 141 (48) | 36 (12) | |
Hypokalemia | 103 (35) | 25 (9) | |
Hyponatremia | 93 (32) | 36 (12) | |
7.1 Effect Of Other Drugs On Xospata
Combined P-gp and Strong CYP3A Inducers
Concomitant use of XOSPATA with a combined P-gp and strong CYP3A inducer decreases gilteritinib exposure which may decrease XOSPATA efficacy [see Clinical Pharmacology (12.3)]. Avoid concomitant use of XOSPATA with combined P-gp and strong CYP3A inducers.
Strong CYP3A Inhibitors
Concomitant use of XOSPATA with a strong CYP3A inhibitor increases gilteritinib exposure [see Clinical Pharmacology (12.3)]. Consider alternative therapies that are not strong CYP3A inhibitors. If the concomitant use of these inhibitors is considered essential for the care of the patient, monitor patient more frequently for XOSPATA adverse reactions. Interrupt and reduce XOSPATA dosage in patients with serious or life-threatening toxicity [see Dosage and Administration (2.3)].
7.2 Effect Of Xospata On Other Drugs
Drugs that Target 5HT2B Receptor or Sigma Nonspecific Receptor
Concomitant use of gilteritinib may reduce the effects of drugs that target the 5HT2B receptor or the sigma nonspecific receptor (e.g., escitalopram, fluoxetine, sertraline). Avoid concomitant use of these drugs with XOSPATA unless their use is considered essential for the care of the patient [see Clinical Pharmacology (12.3)].
8.1 Pregnancy
Risk Summary
Based on findings from animal studies (see Data) and its mechanism of action, XOSPATA can cause fetal harm when administered to a pregnant woman [see Clinical Pharmacology (12.1)].
There are no available data on XOSPATA use in pregnant women to inform a drug-associated risk of adverse developmental outcomes. In animal reproduction studies, administration of gilteritinib to pregnant rats during organogenesis caused adverse developmental outcomes including embryo-fetal lethality, suppressed fetal growth, and teratogenicity at maternal exposures (AUC24) approximately 0.4 times the AUC24 in patients receiving the recommended dose (see Data). Advise pregnant women of the potential risk to a fetus.
Adverse outcomes in pregnancy occur regardless of the health of the mother or the use of medications. The background risk of major birth defects and miscarriage for the indicated population is unknown. In the U.S. general population, the estimated background risk of major birth defects and miscarriage in clinically recognized pregnancies is 2%-4% and 15%-20%, respectively.
Data
Animal Data
In an embryo-fetal development study in rats, pregnant animals received oral doses of gilteritinib of 0, 0.3, 3, 10, and 30 mg/kg/day during the period of organogenesis. Maternal findings at 30 mg/kg/day (resulting in exposures approximately 0.4 times the AUC24 in patients receiving the recommended dose) included decreased body weight and food consumption. Administration of gilteritinib at the dose of 30 mg/kg/day also resulted in embryo-fetal death (postimplantation loss), decreased fetal body and placental weight, and decreased numbers of ossified sternebrae and sacral and caudal vertebrae, and increased incidence of fetal gross external (anasarca, local edema, exencephaly, cleft lip, cleft palate, short tail, and umbilical hernia), visceral (microphthalmia; atrial and/or ventricular defects; and malformed/absent kidney, and malpositioned adrenal, and ovary), and skeletal (sternoschisis, absent rib, fused rib, fused cervical arch, misaligned cervical vertebra, and absent thoracic vertebra) abnormalities.
Single oral administration of [14C] gilteritinib to pregnant rats resulted in transfer of radioactivity to the fetus similar to that observed in maternal plasma on day 14 of gestation. In addition, distribution profiles of radioactivity in most maternal tissues and the fetus on day 18 of gestation were similar to that on day 14 of gestation.
8.2 Lactation
Risk Summary
There are no data on the presence of gilteritinib and/or its metabolites in human milk, the effects on the breastfed child, or the effects on milk production. Following administration of radiolabeled gilteritinib to lactating rats, milk concentrations of radioactivity were higher than radioactivity in maternal plasma at 4 and 24 hours post-dose. In animal studies, gilteritinib and/or its metabolite(s) were distributed to the tissues in infant rats via the milk. Because of the potential for serious adverse reactions in a breastfed child, advise a lactating woman not to breastfeed during treatment with XOSPATA and for 2 months after the last dose.
8.3 Females And Males Of Reproductive Potential
Pregnancy testing
Pregnancy testing is recommended for females of reproductive potential within seven days prior to initiating XOSPATA treatment [see Use in Specific Populations (8.1)].
Contraception
Females
Advise females of reproductive potential to use effective contraception during treatment and for at least 6 months after the last dose of XOSPATA.
Males
Advise males of reproductive potential to use effective contraception during treatment and for at least 4 months after the last dose of XOSPATA.
8.4 Pediatric Use
Safety and effectiveness in pediatric patients have not been established.
8.5 Geriatric Use
Of the 292 patients in clinical studies of XOSPATA, 41% were age 65 years or older and 13% were 75 years or older. No overall differences in effectiveness or safety were observed between patients age 65 years or older and younger patients.
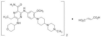
11 Description
Gilteritinib is a tyrosine kinase inhibitor. The chemical name is 2-Pyrazinecarboxamide, 6-ethyl-3-[[3-methoxy-4-[4-(4-methyl-1-piperazinyl)-1-piperidinyl] phenyl] amino]-5-[(tetrahydro-2H-pyran-4-yl) amino]-, (2E)-2-butenedioate (2:1). The molecular weight is 1221.50 and the molecular formula is (C29H44N8O3)2·C4H4O4. The structural formula is:
Gilteritinib fumarate is a light yellow to yellow powder or crystals that is sparingly soluble in water and very slightly soluble in anhydrous ethanol.
XOSPATA (gilteritinib) is provided as a tablet for oral administration. Each tablet contains 40 mg of gilteritinib active ingredient as free base (corresponding to 44.2 mg gilteritinib fumarate). The inactive ingredients are mannitol, hydroxypropyl cellulose, low-substituted hydroxypropyl cellulose, magnesium stearate, hypromellose, talc, polyethylene glycol, titanium dioxide and ferric oxide.
12.1 Mechanism Of Action
Gilteritinib is a small molecule that inhibits multiple receptor tyrosine kinases, including FMS-like tyrosine kinase 3 (FLT3). Gilteritinib demonstrated the ability to inhibit FLT3 receptor signaling and proliferation in cells exogenously expressing FLT3 including FLT3-ITD, tyrosine kinase domain mutations (TKD) FLT3-D835Y and FLT3-ITD-D835Y, and it induced apoptosis in leukemic cells expressing FLT3-ITD.
12.2 Pharmacodynamics
In patients with relapsed or refractory AML administered gilteritinib 120 mg, substantial (>90%) inhibition of FLT3 phosphorylation was rapid (within 24 hours after first dose) and sustained, as characterized by an ex vivo plasma inhibitory activity (PIA) assay.
Cardiac Electrophysiology
The effect of XOSPATA 120 mg once a day on the QTc interval has been evaluated in patients, which showed an absence of large mean increases (i.e., 20 msec) in the QTc interval.
Of 292 patients treated with gilteritinib at 120 mg tested in clinical trials, 4 patients (1.4%) experienced a QTcF >500 msec. Additionally, across all doses, 2.4% of relapse/refractory subjects had a maximum post baseline QTcF interval >500 msec [see Warnings and Precautions (5.2)].
12.3 Pharmacokinetics
The following pharmacokinetic parameters were observed following administration of gilteritinib 120 mg once daily, unless otherwise specified.
Gilteritinib exposure (Cmax and AUC24) increases proportionally with once daily doses ranging from 20 mg to 450 mg (0.17 to 3.75 times the recommended dosage) in patients with relapsed or refractory AML. Gilteritinib mean (±SD) steady-state Cmax is 374 ng/mL (±190) and AUC24 is 6943 ng•hr/mL (±3221). Steady-state plasma levels are reached within 15 days of dosing with an approximate 10-fold accumulation.
Absorption
The time to maximum gilteritinib concentration (tmax) observed is approximately between 4 and 6 hours post dose in the fasted state.
Effect of Food
In healthy adults administered a single gilteritinib 40 mg dose (0.3 times the recommended dosage), gilteritinib Cmax decreased by 26% and AUC decreased by less than 10% when co-administered with a high-fat meal (approximately 800 to 1,000 total calories with 500 to 600 fat calories, 250 carbohydrate calories, 150 protein calories) compared to a fasted state. Median tmax was delayed 2 hours when gilteritinib was administered with a high-fat meal.
Distribution
The population mean (%CV) estimates of apparent central and peripheral volume of distribution were 1092 L (9.22%) and 1100 L (4.99%), respectively, which may indicate extensive tissue distribution. In vivo, gilteritinib is approximately 94% bound to human plasma proteins. In vitro, gilteritinib is primarily bound to human serum albumin.
Elimination
The estimated half-life of gilteritinib is 113 hours, and the estimated apparent clearance is 14.85 L/h.
Metabolism
Gilteritinib is primarily metabolized via CYP3A4 in vitro. At steady state, the primary metabolites in humans include M17 (formed via N-dealkylation and oxidation), M16 and M10 (both formed via N‑dealkylation). None of these 3 metabolites exceeded 10% of overall parent exposure.
Excretion
After a single radiolabeled dose, gilteritinib is excreted in feces with 64.5% of the total administered dose recovered in feces. Of the total radiolabeled dose of gilteritinib, 16.4% was recovered in urine as unchanged drug and metabolites.
Specific Populations
Age (20-87 years), sex, race, mild (Child-Pugh Class A) or moderate (Child-Pugh Class B) hepatic impairment and mild (creatinine clearance (CLCr) 50-80 mL/min) or moderate (CLCr 30-50 mL/min) renal impairment do not have clinically meaningful effects on the pharmacokinetics of gilteritinib.
The effect of severe hepatic (Child-Pugh Class C) or severe renal impairment (CLCr ≤ 29 mL/min) on gilteritinib pharmacokinetics is unknown.
Drug Interaction Studies
Clinical Studies
Combined P-gp and Strong CYP3A Inducers:
Gilteritinib Cmax decreased approximately 30% and AUC decreased approximately 70% when co-administered with rifampin (a combined P-gp and strong CYP3A inducer).
Strong CYP3A Inhibitors:
Gilteritinib Cmax increased approximately 20% and AUC increased approximately 120% when co-administered with itraconazole (a strong CYP3A inhibitor).
Moderate CYP3A Inhibitors:
Gilteritinib Cmax increased approximately 16% and AUC increased approximately 40% when co-administered with fluconazole (a moderate CYP3A inhibitor).
CYP3A Substrates:
Midazolam (a CYP3A substrate) Cmax and AUC increased approximately 10% when co-administered with gilteritinib.
MATE1 Substrates:
Cephalexin (a MATE1 substrate) Cmax and AUC decreased by less than 10% when co-administered with gilteritinib.
In Vitro Studies
Gilteritinib inhibits human 5HT2B receptor or sigma nonspecific receptors, which may reduce the effects of drugs that target these receptors such as escitalopram, fluoxetine, sertraline.
Gilteritinib is a substrate of P-gp transporter and has the potential to inhibit breast cancer resistance protein (BCRP) and organic cation transporter 1 (OCT1) transporters.
13.1 Carcinogenesis, Mutagenesis, Impairment Of Fertility
Carcinogenicity studies have not been performed with gilteritinib.
Gilteritinib was not mutagenic in a bacterial mutagenesis (Ames) assay and was not clastogenic in a chromosome aberration test assay in Chinese hamster lung cells. Gilteritinib was positive for the induction of micronuclei in mouse bone marrow cells from 65 mg/kg (195 mg/m2) the mid dose tested (approximately 2.6 times the recommended human dose of 120 mg).
The effect of XOSPATA on human fertility is unknown. Administration of 10 mg/kg/day gilteritinib in the 4-week study in dogs (12 days of dosing) resulted in degeneration and necrosis of germ cells and spermatid giant cell formation in the testis as well as single cell necrosis of the epididymal duct epithelia of the epididymal head.
13.2 Animal Toxicology And/Or Pharmacology
In the 13-week oral repeated dose toxicity studies in rats and dogs, target organs of toxicity included the eye and kidney.
14.1 Relapsed Or Refractory Acute Myeloid Leukemia
The efficacy of XOSPATA was assessed in the ADMIRAL trial (NCT02421939), which included 138 adult patients with relapsed or refractory AML having a FLT3 ITD, D835, or I836 mutation by the LeukoStrat CDx FLT3 Mutation Assay. The clinical trial included patients from the following races: 60% White, 27% Asian, 7% Black or African American, 1% Native Hawaiian or Other Pacific Islander, 1% other and 3% unknown. XOSPATA was given orally at a starting dose of 120 mg daily until unacceptable toxicity or lack of clinical benefit. Dose reductions were allowed, to manage adverse events, and dose increases were allowed, to increase clinical benefit.
The other baseline demographic and disease characteristics are shown in Table 4.
| AML: acute myeloid leukemia; FLT3: FMS-related tyrosine kinase 3; ITD: internal tandem duplication; TKD: D835/I836 tyrosine kinase domain point mutation; ECOG PS: Eastern Cooperative Oncology Group performance status | |
Demographic and Disease Characteristics | ADMIRAL XOSPATA (120 mg daily) N=138 |
Demographics | |
Median Age (Years) (Range) | 60 (20, 84) |
Age Categories, n (%) | |
<65 years | 85 (62) |
≥65 years | 53 (38) |
Sex, n (%) | |
Male | 64 (46) |
Female | 74 (54) |
Baseline ECOG, n (%) | |
0-1 | 113 (82) |
≥2 | 25 (18) |
Disease Characteristics | |
Untreated relapse AML, n (%) | 82 (59) |
Primary refractory AML, n (%) | 56 (41) |
Refractory relapse AML, n (%) | 0 |
Median number of relapses (Range) | 1 (0, 2) |
Number of relapses, n (%) | |
0 | 56 (41) |
1 | 80 (58) |
2 or more | 2 (1) |
Prior Stem Cell Transplantation, n (%) | 27 (20) |
Transfusion Dependent at Baseline, n (%) Patients were defined as transfusion dependent at baseline if they received any red blood cell or platelet transfusions within the 56-day baseline period. | 106 (77) |
FLT3 Mutation Status, n (%) | |
ITD alone | 121 (88) |
TKD alone | 12 (9) |
ITD and TKD | 5 (4) |
The determination of efficacy was established on the basis of the rate of complete remission (CR)/complete remission with partial hematologic recovery (CRh), the duration of CR/CRh (DOR), and the rate of conversion from transfusion dependence to transfusion independence in the ADMIRAL trial. The median follow-up was 4.6 months (95% CI: 2.8, 15.8). Fourteen patients were still in remission at the time of the first interim DOR analysis. The efficacy results are shown in Table 5.
For patients who achieved a CR/CRh, the median time to first response was 3.6 months (range, 0.9 to 9.6 months). The CR/CRh rate was 29 of 126 in patients with FLT3-ITD or FLT3-ITD/TKD and 0 of 12 in patients with FLT3-TKD only.
Among the 106 patients who were dependent on red blood cell (RBC) and/or platelet transfusions at baseline, 33 (31.1%) became independent of RBC and platelet transfusions during any 56-day post-baseline period. For the 32 patients who were independent of both RBC and platelet transfusions at baseline, 17 (53.1%) remained transfusion-independent during any 56-day post-baseline period.
| CI: confidence interval; NE: not estimable; NR: not reached; Only responses prior to HSCT were included in response rate. | |||
Remission Rate | ADMIRAL XOSPATA (120 mg daily) N=138 | ||
CR CR was defined as an absolute neutrophil count ≥1.0 x 109/L, platelets ≥100 x 109/L, normal marrow differential with <5% blasts, must have been red blood cells, platelet transfusion independent and no evidence of extramedullary leukemia. /CRhCRh was defined as marrow blasts <5%, partial hematologic recovery absolute neutrophil count ≥0.5 x 109/L and platelets ≥50 x 109/L, no evidence of extramedullary leukemia and could not have been classified as CR. n/N (%) | 29/138 (21) | ||
95% CI The 95% CI rate was calculated using the exact method based on binomial distribution. | 14.5, 28.8 | ||
Median DOR DOR was defined as the time from the date of either first CR or CRh until the date of a documented relapse of any type. Deaths were counted as events. (months) | 4.6 | ||
Range (months) | 0.1 to 15.8 Response was ongoing. | ||
CR | 16/138 (11.6) | ||
95% CI | 6.8, 18.1 | ||
Median DOR | 8.6 | ||
Range (months) | 1 to 13.8 | ||
CRh | 13/138 (9.4) | ||
95% CI | 5.1, 15.6 | ||
Median DOR | 2.9 | ||
Range (months) | 0.1 to 15.8 | ||
16.1 How Supplied
XOSPATA (gilteritinib) 40 mg tablets are supplied as light yellow, round-shaped, film-coated tablets debossed with the Astellas logo and ‘235’ on the same side. XOSPATA tablets are available in the following package size:
• Bottles of 90 tablets with Child Resistant Closure, (NDC 0469-1425-90)
16.2 Storage
Store XOSPATA tablets at 20°C to 25°C (68°F to 77°F); excursions permitted between 15°C to 30°C (59°F to 86°F) [See USP Controlled Room Temperature]. Keep in original container.
17 Patient Counseling Information
Advise the patient to read the FDA-approved patient labeling (Patient Information).
Posterior Reversible Encephalopathy Syndrome
Advise patients of the risk of developing posterior reversible encephalopathy syndrome (PRES). Ask patients to immediately report any symptoms suggestive of PRES, such as seizure and altered mental status, to their healthcare provider for further evaluation [see Warnings and Precautions (5.1)].
Prolonged QT Interval
Advise patients to consult their healthcare provider immediately if they feel faint, lose consciousness, or have signs or symptoms suggestive of arrhythmia. Advise patients with a history of hypokalemia or hypomagnesemia of the importance of monitoring their electrolytes [see Warnings and Precautions (5.2)].
Pancreatitis
Advise patients of the risk of pancreatitis and to contact their healthcare provider for signs or symptoms of pancreatitis, which include severe and persistent stomach pain, with or without nausea and vomiting [see Warnings and Precautions (5.3)].
Use of Contraceptives
• Advise female patients with reproductive potential to use effective contraceptive methods while receiving XOSPATA and to avoid pregnancy while on treatment and for 6 months after completion of treatment.• Advise patients to notify their healthcare provider immediately in the event of a pregnancy or if pregnancy is suspected during XOSPATA treatment.• Advise males with female partners of reproductive potential to use effective contraception during treatment with XOSPATA and for at least 4 months after the last dose of XOSPATA [see Use in Specific Populations (8.3)].• Advise patients not to break, crush or chew the tablets but to swallow them whole with a cup of water.• Instruct patients that, if they miss a dose of XOSPATA, to take it as soon as possible on the same day, and at least 12 hours prior to the next scheduled dose, and return to the normal schedule the following day. Instruct patients to not take 2 doses within 12 hours [see Dosage and Administration (2.2)].
Lactation
Advise women not to breastfeed during treatment with XOSPATA for at least 2 months after the final dose [see Use in Specific Populations (8.2)].
Dosing Instructions
Distributed by:
Astellas Pharma US, Inc.
Northbrook, Illinois 60062
XOSPATA® is a registered trademark of Astellas Pharma Inc.
©2018 Astellas Pharma US, Inc.
17G072-GLT
Spl Patient Package Insert
PATIENT INFORMATION | ||
What is XOSPATA? Your healthcare provider will perform a test to make sure XOSPATA is right for you. It is not known if XOSPATA is safe and effective in children. | ||
Do not take XOSPATA if you are allergic to gilteritinib or any of the ingredients in XOSPATA. See the end of this leaflet for a complete list of ingredients in XOSPATA. | ||
Before taking XOSPATA, tell your healthcare provider about all of your medical conditions, including if you:
Tell your healthcare provider about all the medicines you take, including prescription and over-the-counter medicines, vitamins, and herbal supplements. | ||
How should I take XOSPATA?
| ||
What are the possible side effects of XOSPATA?
The most common side effects of XOSPATA include: | ||
|
|
|
Your healthcare provider may tell you to decrease your dose, temporarily stop, or completely stop taking XOSPATA if you develop certain side effects during treatment with XOSPATA. These are not all of the possible side effects of XOSPATA. Call your doctor for medical advice about side effects. You may report side effects to FDA at 1-800-FDA-1088. | ||
How should I store XOSPATA?
| ||
General information about the safe and effective use of XOSPATA. | ||
What are the ingredients in XOSPATA? | ||
This Patient Information has been approved by the U.S. Food and Drug Administration. Issued: November 2018
Package/Label Principal Display Panel – 40 Mg Tablet Bottle Carton
NDC 0469-1425-90
XOSPATA®
(gilteritinib) tablets
40 mg
Do not break, crush or chew tablets.
90 tablets
Rx only
* Please review the disclaimer below.

