Product Images Lessina

View Photos of Packaging, Labels & Appearance

Product Label Images

The following 8 images provide visual information about the product associated with Lessina NDC 0555-9014 by Teva Pharmaceuticals Usa, Inc., such as packaging, labeling, and the appearance of the drug itself. This resource could be helpful for medical professionals, pharmacists, and patients seeking to verify medication information and ensure they have the correct product.

image 1

image 1

image 2

image 2

image 3

image 3

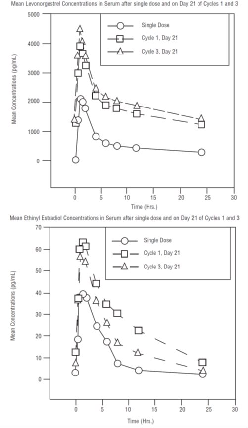
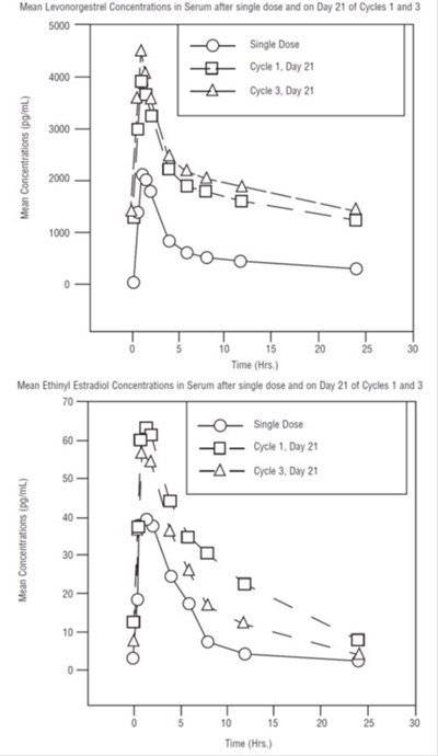
Mean Levonorgestrel and Ethin Estradiol Concentrations were tested in serum after a single dose and on day 21 of cycles 1 and 3. The graph shows the results of the tests conducted for levonorgestrel where the concentration was 5000 at a single dose and decreased gradually over time, and the concentrations for ethin estradiol were tested at a single dose and on day 21 of cycles 1 and 3. The graph depicts the ethin estradiol concentrations decreasing gradually over time.*

image 4

image 4

This is a table of different studies related to women's contraceptive use. The studies are from different years and some analyze ever use of contraceptives while others analyze current use of contraceptives. There is also an effect estimate for each study. No further information is available.*

image 5

image 5

This is a label or instruction for storing medication named "Lejjma" which contains two active ingredients, levonorgestrel, and ethinyl estradiol. The medication should be stored at a temperature range of 20°C to 25°C (68°F to 77°F) and should be kept at the US Pharmacopeia controlled room temperature.*

image 6

image 6

image 7

image 7

This is a description of a medication in blister card packaging. The medication is a combination of levonorgestrel and ethinyl estradiol tablets, intended for the prevention of pregnancy. The tablets have a strength of 0.1mg/0.02mg. The product does not provide protection against HIV or other sexually transmitted diseases. The manufacturer is Teva Pharmaceuticals, based in North Wales, PA.*

image 8

image 8

* The product label images have been analyzed using a combination of traditional computing and machine learning techniques. It should be noted that the descriptions provided may not be entirely accurate as they are experimental in nature. Use the information in this page at your own discretion and risk.