Product Images Ambrisentan

View Photos of Packaging, Labels & Appearance

Product Label Images

The following 12 images provide visual information about the product associated with Ambrisentan NDC 0591-2406 by Actavis Pharma, Inc., such as packaging, labeling, and the appearance of the drug itself. This resource could be helpful for medical professionals, pharmacists, and patients seeking to verify medication information and ensure they have the correct product.

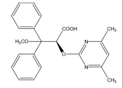
Figure 1 Ambrisentan Structural Formula - image 1

Figure 1 Ambrisentan Structural Formula - image 1

Acceptable Birth Control Options - image 10

Acceptable Birth Control Options - image 10

5 mg - image 11

5 mg - image 11

Ambrisentan Tablets 5mg is a medication for oral use. Each tablet is coated with a film and contains 5 mg of ambrisentan. The usual dosage should be determined after consulting the prescribing information. The tablets should not be crushed, chewed, or split. Keep the container tightly closed and store it at controlled room temperature. Watson Pharma Private Limited based in India manufactures the tablets, and Teva Pharmaceuticals USA, Inc. handles US distribution. Dispense the medication guide to each patient. The provided text includes a lot/exp number and the National Drug Code (NDC). The last line seems to be a location description and not a part of the drug description.*

10 mg - image 12

10 mg - image 12

Ambrisentan is a medication available in the form of 10mg tablets. The usual dosage can be found in the package insert. The tablets should not be split, crushed, or chewed. The container should be stored between 20°C to 25°C. The tablets come in a container of 30 and should be kept in the original container. It is manufactured in India by Watson Pharma Private Limited for Teva Pharmaceuticals USA, Inc. A medication guide is provided to each patient by the pharmacist upon dispensing. Lot/Exp number 237893 is mentioned. The last line is not readable.*

Figure 2: Effects of Other Drugs on Ambrisentan Pharmacokinetics - image 2

Figure 2: Effects of Other Drugs on Ambrisentan Pharmacokinetics - image 2

This is a chart displaying different drugs that interact with Ambrisentan and whether adjustments need to be made. The listed drugs include Cyclosporine, Mycophenolate Mofetil, Ketoconazole, Omeprazole, Rifampin, Ritonavir, Sildenafil, Tacrolimus, Tadalafil, and Warfarin. The chart shows the PK fold change and 90% C1 for each drug and recommends limiting the dose of Ambrisentan to 5 mg once daily without the need for dose adjustment for the listed drugs.*

Figure 3: Effects of Ambrisentan on Other Drugs - image 3

Figure 3: Effects of Ambrisentan on Other Drugs - image 3

This is a table of recommended PK (pharmacokinetic) adjustments for several drugs when used in combination with other interacting drugs. The adjustments include Cmax (maximum concentration of a drug in the blood), Auc (area under the concentration-time curve), and fold change. The table advises whether a dose adjustment is necessary or not. Drugs listed include Cyclosporine, Digoxin, Conax, Ethinylestradiol, Norethindrone, Mycophenolic acid, Ritonavir, Sildenafil, Desmethylsildenafil, Tadalafil, and Warfarin.*

Figure 4: Mean Change in 6-Minute Walk Distance (ARIES-1 and ARIES-2) - image 4

Figure 4: Mean Change in 6-Minute Walk Distance (ARIES-1 and ARIES-2) - image 4

The text is a table or chart showing the dosage of medication for ARIES-1 and ARIES-2 over a period of 12 weeks. It lists the baseline dosage, dosages at weeks 4, 8 and 12, and the medication type for each.*

Figure 5: Time to Clinical Worsening (ARIES-1 and ARIES-2) - image 5

Figure 5: Time to Clinical Worsening (ARIES-1 and ARIES-2) - image 5

This appears to be a medical report of the clinical trial ARIES-1 and ARIES-2. It shows the results of two groups - one group was given Ambrisentan while the other group was given the Placebo, and the effectiveness of the treatment was calculated over a period of 12 weeks. It also provides the number of people at risk in each group at various points in time.*

Figure 6: Time to Primary Endpoint Event (AMBITION) - image 6

Figure 6: Time to Primary Endpoint Event (AMBITION) - image 6

This appears to be data from a clinical trial comparing the effectiveness of combination therapy with ambrisentan monotherapy, and tadalafil (brand name Cialis) monotherapy in treating a medical condition. The data includes graphs of the number of patients at risk over time, as well as statistics such as p-values and hazard ratios for the different treatments. However, without knowing the context and purpose of the trial or the specific condition being treated, it is difficult to provide a more detailed description.*

Figure 7: Primary Endpoint Events and First Occurrences of Each Component at Any Time (AMBITION) - image 7

Figure 7: Primary Endpoint Events and First Occurrences of Each Component at Any Time (AMBITION) - image 7

This looks like a table with statistical data for a study on the effects of different treatments for pulmonary arterial hypertension (PAH). It presents the Hazard Ratio and Confidence Intervals for different combinations of events and treatments, as well as the number of patients with events and the corresponding p-values. The last two rows seem to compare the combination treatment with specific monotherapies using different outcome measures. Overall, this text provides quantitative information about the efficacy of different treatments for PAH, but it requires further analysis to draw specific conclusions.*

Figure 8: Primary Endpoint by Subgroups (AMBITION) - image 8

Figure 8: Primary Endpoint by Subgroups (AMBITION) - image 8

This is a medical research study comparing different combinations of treatments for a certain condition. The text shows the number of events (results) for each combination and the hazard ratio (a measure of the effectiveness of the treatment). There are also comparisons with monotherapy treatments and different patient characteristics. No information is given about the specific condition or treatments being studied.*

Figure 9: Median Change in 6-Minute Walk Distance (meters) in AMBITION - image 9

Figure 9: Median Change in 6-Minute Walk Distance (meters) in AMBITION - image 9

* The product label images have been analyzed using a combination of traditional computing and machine learning techniques. It should be noted that the descriptions provided may not be entirely accurate as they are experimental in nature. Use the information in this page at your own discretion and risk.