Product Images Gilotrif
View Photos of Packaging, Labels & Appearance
Product Label Images
The following 8 images provide visual information about the product associated with Gilotrif NDC 0597-0141 by Boehringer Ingelheim Pharmaceuticals, Inc., such as packaging, labeling, and the appearance of the drug itself. This resource could be helpful for medical professionals, pharmacists, and patients seeking to verify medication information and ensure they have the correct product.
gilotrif 02

This data appears to be from a medical or scientific study analyzing the efficacy of two treatments (Afatinib and Pe500+Cis75) on progression-free survival in terms of median time to an event in months. The hazard ratio suggests that Afatinib was more effective than Pe500+Cis75. The number at risk for each treatment at different time points is also provided.*
gilotrif 03

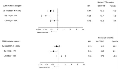
This is a description of the EGFR mutation categories. These categories are divided into Del 19/L858R, Del 19, and LBS8R with their respective number of cases. There is also data presented regarding the treatment with two medications, GILOTRIF and Pem/Cis, including the median progression-free survival (PFS) and median overall survival (OS). The PFS and OS of the two treatments are presented for each of the EGFR mutation categories. The chart and numerical data represent the efficacy of GILOTRIF and Pem/Cis, although there is no explanation of what these drugs are indicated for.*
gilotrif 04

The text appears to be a chart representing the Estimated OS probability and overall survival time (in months) for two treatments: Afatinib and Erlotinib. It also shows the number at risk for each time point under each treatment.*
gilotrif 05

The text appears to be a medication label for CYGILOTRIF, which contains afatinib tablets. The recommended storage conditions and precautions for dispensing and storing the medication are provided. The label also recommends consulting the package insert for dosage information and provides a contact number for more information.*
gilotrif 06

This document is a product information sheet for medication called Gilotrif (afatinib tablets), which comes in a container with 30 tablets. It provides instructions to keep the medication in its original container, protect it from exposure to light and humidity, and keep it out of reach of children. The usual dosage is not provided on the sheet but can be obtained from the package insert. The document also mentions the manufacturer and the distributor of the medication.*
gilotrif 07

The text is a medication label for Gilotrif, which contains 40 mg of afatinib in each tablet. The tablets should be stored at room temperature, away from high humidity and light, and out of reach of children. It is distributed by Boehringer Ingelheim Pharmaceuticals, Inc., and the recommended dosage is provided in the package insert.*
* The product label images have been analyzed using a combination of traditional computing and machine learning techniques. It should be noted that the descriptions provided may not be entirely accurate as they are experimental in nature. Use the information in this page at your own discretion and risk.