FDA Label for Jascayd
View Indications, Usage & Precautions
- 1 INDICATIONS AND USAGE
- 2.1 RECOMMENDED DOSAGE AND ADMINISTRATION INSTRUCTIONS
- 2.2 DOSAGE MODIFICATION OF JASCAYD FOR CONCOMITANT USE WITH CYP3A INHIBITORS
- 2.3 ADMINISTRATION INSTRUCTIONS FOR PATIENTS WHO HAVE DIFFICULTY SWALLOWING TABLETS
- 3 DOSAGE FORMS AND STRENGTHS
- 4 CONTRAINDICATIONS
- 6.1 CLINICAL TRIALS EXPERIENCE
- 7.1 EFFECTS OF OTHER DRUGS ON JASCAYD
- 8.1 PREGNANCY
- 8.2 LACTATION
- 8.4 PEDIATRIC USE
- 8.5 GERIATRIC USE
- 8.6 RENAL IMPAIRMENT
- 8.7 HEPATIC IMPAIRMENT
- 10 OVERDOSAGE
- 11 DESCRIPTION
- 12.1 MECHANISM OF ACTION
- 12.2 PHARMACODYNAMICS
- 12.3 PHARMACOKINETICS
- 13.1 CARCINOGENESIS, MUTAGENESIS, IMPAIRMENT OF FERTILITY
- 14 CLINICAL STUDIES
- 16 HOW SUPPLIED/STORAGE AND HANDLING
- STORAGE AND HANDLING
- 17 PATIENT COUNSELING INFORMATION
- OTHER
- SPL PATIENT PACKAGE INSERT
- PRINCIPAL DISPLAY PANEL - 9 MG TABLET BOTTLE CARTON
- PRINCIPAL DISPLAY PANEL - 18 MG TABLET BOTTLE CARTON
Jascayd Product Label
The following document was submitted to the FDA by the labeler of this product Boehringer Ingelheim Pharmaceuticals, Inc.. The document includes published materials associated whith this product with the essential scientific information about this product as well as other prescribing information. Product labels may durg indications and usage, generic names, contraindications, active ingredients, strength dosage, routes of administration, appearance, warnings, inactive ingredients, etc.
1 Indications And Usage
JASCAYD is indicated for the treatment of idiopathic pulmonary fibrosis (IPF) in adult patients.
2.1 Recommended Dosage And Administration Instructions
The recommended dosage of JASCAYD is 18 mg twice daily, administered orally approximately 12 hours apart, with or without food.
- Recommended dosage of JASCAYD is 18 mg twice daily when used concomitantly with pirfenidone. Do not reduce dosage to 9 mg twice daily [see Drug Interactions (7.1)].
- Reduce JASCAYD to 9 mg twice daily for patients who are unable to tolerate 18 mg twice daily, except in patients who concomitantly use JASCAYD with pirfenidone.
Administration Instructions
Swallow JASCAYD tablets whole or dispersed in water [see Dosage and Administration (2.3) and Clinical Pharmacology (12.3)].
Missed Dose(s)
If a dose of JASCAYD is missed, advise the patient to take the next dose at the next scheduled time. Advise the patient to not make up for a missed dose.
Maximum Recommended Dosage
The maximum recommended dosage of JASCAYD is 18 mg twice daily.
2.2 Dosage Modification Of Jascayd For Concomitant Use With Cyp3a Inhibitors
Strong CYP3A Inhibitors
Reduce JASCAYD dosage to 9 mg twice daily when used concomitantly with strong CYP3A inhibitors [see Drug Interactions (7.1)].
Moderate and Weak CYP3A Inhibitors
No dosage modification is recommended for JASCAYD when used concomitantly with moderate or weak CYP3A inhibitors.
2.3 Administration Instructions For Patients Who Have Difficulty Swallowing Tablets
Disperse JASCAYD tablet in water and administer as follows:
- Place approximately 100 mL (3 to 4 ounces) of non-carbonated, room temperature water in a glass. Do not use any other liquids.
- Place a JASCAYD tablet in the water, without crushing, and stir regularly for approximately 15 to 20 minutes until the tablet is dispersed into very small pieces (the tablet will not completely dissolve).
- Drink the dispersion within 2 hours of mixing.
- If the dispersion is not drunk immediately, stir again before drinking.
- Rinse the glass with approximately 100 mL (3 to 4 ounces) of water and drink to ensure the full dose is administered.
3 Dosage Forms And Strengths
Tablets:
- 9 mg, light yellow, oval, biconvex, film-coated tablets debossed with the Boehringer Ingelheim company symbol on one side and "F9" on the other side.
- 18 mg, light red, oval, biconvex, film-coated tablets debossed with the Boehringer Ingelheim company symbol on one side and "F18" on the other side.
4 Contraindications
None.
6.1 Clinical Trials Experience
Because clinical trials are conducted under widely varying conditions, adverse reaction rates observed in the clinical trials of a drug cannot be directly compared to rates in clinical trials of another drug and may not reflect the rates observed in practice.
The safety of JASCAYD was based on a randomized, placebo-controlled, double-blind trial (FIBRONEER-IPF), which included 1,177 adult patients with IPF who were randomized in a 1:1:1 ratio to receive JASCAYD 9 mg twice daily, JASCAYD 18 mg twice daily, or matching placebo. Patients received JASCAYD or placebo with or without background antifibrotic treatment (nintedanib or pirfenidone) for at least 52 weeks [see Clinical Studies (14)]. The median duration of exposure was 14 months in each treatment arm.
Discontinuation due to adverse reactions occurred more frequently in patients treated with JASCAYD (with or without background antifibrotic treatment) 18 mg (15%) and 9 mg (12%) compared to placebo (11%). The most frequent adverse reaction leading to discontinuation of JASCAYD 18 mg and 9 mg was diarrhea (6% and 2%, respectively).
Table 1 lists the most common adverse reactions from the studied population with an incidence of greater than or equal to 5% in JASCAYD-treated patients and more common than the placebo group.
| JASCAYD 18 mg BID n=392 | JASCAYD 9 mg BID n=392 | Placebo n=393 | |
|---|---|---|---|
| 1Studied population including patients who received JASCAYD with or without background antifibrotic treatment (nintedanib or pirfenidone) 2Includes depression, depressed mood, depression rating scale score increased, suicidal ideation, adjustment disorder with depressed mood, depressive symptom BID: twice daily; COVID-19: infection with SARS-CoV-2 virus | |||
| Diarrhea | 42% | 31% | 17% |
| COVID-19 | 13% | 16% | 12% |
| Upper respiratory tract infection | 13% | 11% | 10% |
| Depression2 | 12% | 11% | 10% |
| Weight decreased | 11% | 10% | 8% |
| Decreased appetite | 9% | 9% | 5% |
| Nausea | 8% | 9% | 7% |
| Fatigue | 7% | 8% | 6% |
| Headache | 7% | 6% | 5% |
| Vomiting | 6% | 5% | 5% |
| Back pain | 6% | 5% | 4% |
| Dizziness | 5% | 6% | 5% |
Specific Adverse Reactions of JASCAYD with or without Concomitant Use of Nintedanib or Pirfenidone
Diarrhea
Diarrhea was more common in patients using JASCAYD with concomitant nintedanib. In patients taking nintedanib, diarrhea occurred in 62%, 50%, and 28% of patients treated with JASCAYD 18 mg twice daily, JASCAYD 9 mg twice daily, and placebo, respectively. In patients using concomitant pirfenidone, diarrhea occurred in 24% and 8% of patients treated with JASCAYD 18 mg twice daily, and placebo, respectively. In patients without concomitant antifibrotic treatment, diarrhea occurred in 26%, 17%, and 8% of patients using JASCAYD 18 mg twice daily, JASCAYD 9 mg twice daily, and placebo, respectively.
Diarrhea was the most common adverse reaction associated with treatment discontinuation, and most common with JASCAYD used concomitantly with nintedanib: discontinuation occurred in 13%, 2%, and 1% of patients treated with JASCAYD 18 mg twice daily, JASCAYD 9 mg twice daily, and placebo, respectively. No treatment discontinuations due to diarrhea occurred in patients treated with background pirfenidone and JASCAYD 18 mg twice daily or background pirfenidone with placebo. Diarrhea leading to treatment discontinuation occurred in 1% of patients treated with JASCAYD 18 mg twice daily and in no patients treated with JASCAYD 9 mg or placebo without concomitant antifibrotic treatment.
In most patients treated with JASCAYD, diarrhea was of mild to moderate intensity and generally occurred within the first 3 months of treatment.
Weight Decrease
Weight decrease was most common in patients who received JASCAYD concomitantly with nintedanib in the studied population: in patients taking nintedanib, weight decrease occurred in 16%, 14%, and 12% of patients treated with JASCAYD 18 mg twice daily, JASCAYD 9 mg twice daily, and placebo, respectively. In patients using concomitant pirfenidone, weight decrease occurred in 6% and 5% of patients treated with JASCAYD 18 mg twice daily and placebo, respectively. In patients without background antifibrotic therapy, weight decrease occurred in 8%, 2%, and 6% of patients treated with JASCAYD 18 mg twice daily, JASCAYD 9 mg twice daily, and placebo, respectively.
Decreased Appetite
In patients taking nintedanib, decreased appetite occurred in 7%, 10%, and 4% in JASCAYD 18 mg twice daily, JASCAYD 9 mg twice daily, and placebo, respectively. In patients using concomitant pirfenidone, decreased appetite occurred in 13% and 10% of patients treated with JASCAYD 18 mg twice daily and placebo, respectively. In patients without concomitant antifibrotic treatment, decreased appetite occurred in 9%, 6%, and 0% of patients treated with JASCAYD 18 mg twice daily, JASCAYD 9 mg twice daily, and placebo, respectively.
Less Common Adverse Reactions
Less common adverse reactions in the studied population following administration of JASCAYD included asthenia (5% JASCAYD 18 mg twice daily, 4% JASCAYD 9 mg twice daily, and 2% placebo), amylase increased (1% JASCAYD 18 mg twice daily, 1% JASCAYD 9 mg twice daily, and 0% placebo), and vasculitis (1% JASCAYD 18 mg twice daily, 1% JASCAYD 9 mg twice daily, and 0% placebo).
7.1 Effects Of Other Drugs On Jascayd
Strong CYP3A Inhibitors
Reduce the dosage of JASCAYD to 9 mg twice daily when used concomitantly with strong CYP3A inhibitors [see Dosage and Administration (2.2)].
Nerandomilast is a CYP3A substrate. Concomitant use of JASCAYD with a strong CYP3A inhibitor increases exposure of nerandomilast, which may increase the risk of JASCAYD adverse reactions [see Clinical Pharmacology (12.3)].
Moderate or Strong CYP3A Inducers
Avoid use of JASCAYD with strong or moderate CYP3A inducers.
Nerandomilast is a CYP3A substrate. Concomitant use of JASCAYD with moderate or strong CYP3A inducers is expected to decrease exposure of nerandomilast, which may decrease the efficacy of JASCAYD [see Clinical Pharmacology (12.3)].
Pirfenidone
Recommended dosage of JASCAYD is 18 mg twice daily when used concomitantly with pirfenidone. Do not reduce the dosage to 9 mg twice daily [see Dosage and Administration (2.1)].
Concomitant use of JASCAYD with pirfenidone decreases exposure of nerandomilast in patients with IPF [see Clinical Pharmacology (12.3)]. When JASCAYD was used concomitantly with pirfenidone in patients with IPF in FIBRONEER-IPF, efficacy was not observed with the JASCAYD 9 mg twice daily dosage [see Clinical Studies (14)].
8.1 Pregnancy
Risk Summary
There are no available data on JASCAYD use in pregnant women to evaluate for a drug-associated risk of major birth defects, miscarriage or other adverse maternal or fetal outcomes. There are maternal and fetal risks associated with untreated idiopathic pulmonary fibrosis during pregnancy (Clinical Considerations).
Based on findings from animal reproduction studies, JASCAYD may increase the risk for fetal loss. In an embryo-fetal development study in rats, oral administration of nerandomilast to pregnant rats during organogenesis at an exposure approximately 5 times the maximum recommended human dose (MRHD) of 36 mg/day resulted in an increase in embryo-fetal losses (see Data). Advise pregnant women and females of reproductive potential of the potential risk of fetal loss.
The estimated background risk of major birth defects and miscarriage for the indicated population is unknown. All pregnancies have a background risk of birth defect, loss, or other adverse outcomes. In the U.S. general population, the estimated background risk of major birth defects is 2% to 4% and miscarriage in clinically recognized pregnancies is 15% to 20%.
Clinical Considerations
Disease-Associated Maternal and/or Embryo/Fetal Risk
Untreated IPF can lead to respiratory failure and mortality in the mother and intrauterine growth restriction, preterm birth, fetal hypoxia, and neonatal death.
Data
Animal Data
In an embryo-fetal development study in pregnant rats dosed by the oral route during the period of organogenesis from gestation days 6 to 17, nerandomilast caused an increase in embryo-fetal losses (pre- and post-implantation loss and decreased mean number of live fetuses) at an exposure that was approximately 5 times the MRHD (on an AUC basis with a maternal oral dose of 6 mg/kg/day). Maternal toxicity, as evidenced by decreased body weight gains and adverse clinical signs, was observed at exposures approximately 7 times the MRHD (on an AUC basis with a maternal oral dose of 9 mg/kg/day). No fetal or maternal toxicities were observed at exposures up to 3 and 5 times the MRHD (on an AUC basis with maternal oral doses of 3 mg/kg/day and 6 mg/kg/day), respectively.
In an embryo-fetal development study in pregnant rabbits dosed by the oral route during the period of organogenesis from gestation days 7 to 19, no effects on maternal or fetal development were observed at an exposure that was approximately 24 times the MRHD (on an AUC basis with a maternal oral dose of 15 mg/kg/day).
In a prenatal and postnatal development study in pregnant rats dosed by the oral route during the periods of gestation and lactation from gestation day 6 to lactation day 20, nerandomilast had no effects on delivery or the growth and development of offspring at an exposure that was approximately 2 times the MRHD (on an AUC basis with a maternal oral dose of 3 mg/kg/day).
8.2 Lactation
Risk Summary
There are no data on the presence of nerandomilast or its metabolite in human milk, the effects on the breastfed infant, or the effects on milk production. Nerandomilast is present in animal milk. When a drug is present in animal milk, it is likely that the drug will be present in human milk (see Data).
The developmental and health benefits of breastfeeding should be considered along with the mother's clinical need for JASCAYD and any potential adverse effects on the breastfed infant from JASCAYD or from the underlying maternal condition.
Data
In a prenatal and postnatal development study in pregnant rats dosed by the oral route during the periods of gestation and lactation from gestation day 6 to lactation day 20, nerandomilast was present in the plasma of rat pups during the lactation period. In a single dose milk secretion study in lactating rats dosed with radiolabeled nerandomilast by the oral route, similar concentrations of total radioactivity were observed in the milk and plasma of lactating females, with the maximum radioactive concentration observed at 1 hour post dose that was significantly reduced by 24 hours post dose. The concentration of total radioactivity in animal milk does not necessarily predict the concentration of drug in human milk.
8.4 Pediatric Use
The safety and effectiveness of JASCAYD for the treatment of idiopathic pulmonary fibrosis have not been established in pediatric patients.
8.5 Geriatric Use
There were 930 patients 65 years of age and older in the FIBRONEER-IPF trial [see Clinical Studies (14)]. Of the total number of JASCAYD-treated patients in this trial, 623 (79%) were 65 years of age and older, while 251 (32%) were 75 years of age and older. No overall differences in safety or effectiveness of JASCAYD have been observed between patients 65 years of age and older and younger adult patients.
8.6 Renal Impairment
JASCAYD has not been investigated in patients with end stage renal disease (eGFR <15 mL/min/1.73 m2). Use of JASCAYD is not recommended in patients with end stage renal disease (eGFR <15 mL/min/1.73 m2).
The recommended dosage in patients with mild (eGFR ≥60 to <90 mL/min/1.73 m2 according to CKD-EPI), moderate (eGFR ≥30 to <60 mL/min/1.73 m2), or severe renal impairment (eGFR ≥15 to <30 mL/min/1.73 m2) is the same as that in patients with normal renal function [see Clinical Pharmacology (12.3)].
8.7 Hepatic Impairment
JASCAYD has not been investigated in patients with severe (Child-Pugh Class C) hepatic impairment. Use of JASCAYD is not recommended in patients with severe (Child-Pugh Class C) hepatic impairment.
The recommended dosage in patients with mild (Child-Pugh Class A) or moderate (Child-Pugh Class B) hepatic impairment is the same as that in patients with normal hepatic function [see Clinical Pharmacology (12.3)].
10 Overdosage
In the event of an overdosage with JASCAYD, monitor the patient for any signs or symptoms of adverse reactions and provide appropriate symptomatic treatment. Consider contacting the Poison Help line (1-800-222-1222) or a medical toxicologist for additional overdosage management recommendations.
11 Description
JASCAYD (nerandomilast tablets), for oral administration, contain nerandomilast, a phosphodiesterase 4 (PDE4) inhibitor. The chemical name of nerandomilast is [1-[[(5R)-2-[4-(5-chloropyrimidin-2-yl)-1-piperidyl]-5-oxo-6,7-dihydrothieno[3,2-d]pyrimidin-4-yl]amino]cyclobutyl]methanol. Nerandomilast has one chiral center and is the R-stereoisomer. Its structural formula is:
Nerandomilast is a white to off-white to light yellow powder with an empirical formula of C20H25ClN6O2S and a molecular weight of 449 g/mol. At or below pH 3, nerandomilast is very slightly to slightly soluble in water, and above pH 3 it is practically insoluble.
Each film-coated tablet of JASCAYD contains 9 mg or 18 mg of nerandomilast and the following inactive ingredients: croscarmellose sodium, ferric oxide red (18 mg tablets only), ferric oxide yellow (9 mg tablets only), ferrosoferric oxide (18 mg tablets only), hydroxypropyl cellulose, hypromellose, lactose monohydrate, magnesium stearate, mannitol, microcrystalline cellulose, polyethylene glycol, and talc. Each JASCAYD tablet contains less than 5 mg of sodium.
12.1 Mechanism Of Action
Nerandomilast is an inhibitor of phosphodiesterase 4 (PDE4) with at least nine-fold preferential inhibition of the PDE4B isoenzyme over PDE4A, PDE4C and PDE4D based on in vitro data. PDE4 hydrolyzes and inactivates cyclic adenosine monophosphate (cAMP). Nerandomilast exerts both anti-fibrotic and immunomodulatory effects as PDE4B inhibition elevates intracellular cAMP levels and reduces the expression of pro-fibrotic growth factors and inflammatory cytokines, which are overexpressed in IPF.
12.2 Pharmacodynamics
Exposure-Response
Increases in nerandomilast steady state trough concentrations were associated with better efficacy, as indicated by a smaller reduction in forced vital capacity (FVC) from baseline over 52 weeks.
Cardiac Electrophysiology
At 2.1 times the maximal concentration provided by the maximum recommended dose of nerandomilast, clinically significant QTc interval prolongation was not observed.
12.3 Pharmacokinetics
Nerandomilast exposure increased in a dose proportional manner following administration of single doses of 0.0032 to 2.6 times a single dose of 18 mg and multiple doses of 0.056 to 1 times the maximum recommended dose of 18 mg twice daily. Following administration of multiple doses of 18 mg twice daily, Cmax increases 1.3-fold and AUCtau increases 1.38-fold. Nerandomilast steady state is reached in approximately 4 days.
No clinically relevant differences in nerandomilast pharmacokinetics were observed between healthy subjects and patients with IPF.
Absorption
The absolute oral bioavailability of nerandomilast is 73%. Nerandomilast median (min, max) time to maximum plasma concentration (Tmax) is 1 to 1.25 hours (range 0.5 to 4 hours).
Effect of Food
No clinically relevant differences in nerandomilast pharmacokinetics were observed following administration with a high-fat meal (1000 calories, 50% fat).
Distribution
Nerandomilast steady state apparent (oral) central volume of distribution is 93 L (CV 37%). In vitro, nerandomilast plasma protein binding is 77% and is not concentration dependent. Nerandomilast blood-to-plasma ratio is approximately 0.6 to 0.8.
Elimination
The geometric mean (CV%) elimination half-life of nerandomilast is 17 hours (46%) with an apparent (oral) clearance of 15.2 L/h.
Metabolism
Nerandomilast is primarily metabolized by CYP3A and to a lesser extent by multiple UGT enzymes.
After oral administration of nerandomilast, chiral inversion from the pharmacologically active R-enantiomer to the pharmacologically inactive S-enantiomer occurs via metabolism. The S-enantiomer was identified as a minor metabolite of nerandomilast. The R-enantiomer is the predominant circulating enantiomer.
Excretion
After a single oral dose of radiolabeled nerandomilast, approximately 58% of the dose was recovered in feces (14% as unchanged nerandomilast) and 36% of the dose was recovered in urine (13% as unchanged nerandomilast).
Specific Populations
No clinically significant differences in the pharmacokinetics of nerandomilast were observed based on age (range: 18 to 90 years), body weight (range: 34 to 136 kg), sex, race (66% White and 32.5% Asian), mild (eGFR ≥60 to <90 mL/min/1.73 m2 [calculated according to Chronic Kidney Disease Epidemiology Collaboration]), moderate (eGFR ≥30 to <60 mL/min/1.73 m2), or severe renal impairment (eGFR ≥15 to <30 mL/min/1.73 m2), or mild (Child-Pugh Class A) or moderate (Child-Pugh Class B) hepatic impairment.
Subjects with end stage renal disease or severe hepatic impairment (Child-Pugh Class C) have not been studied [see Use in Specific Populations (8.6, 8.7)].
Drug Interaction Studies
Strong CYP3A Inhibitors: Nerandomilast Cmax increased by 1.3-fold and AUC increased by 2.2-fold following concomitant administration with itraconazole (a strong CYP3A and P-gp inhibitor) 200 mg oral solution once daily for 4 days [see Drug Interactions (7.1)].
Pirfenidone: Nerandomilast trough concentrations at steady state (Ctrough,ss) decreased by approximately 50% following concomitant administration with pirfenidone in patients with IPF [see Drug Interactions (7.1)].
Other Drugs: No clinically significant differences in nerandomilast Ctrough,ss were observed when used concomitantly with nintedanib. No clinically significant differences in the pharmacokinetics of the following drugs were observed when used concomitantly with nerandomilast: oral midazolam (CYP3A4 substrate), pirfenidone, and nintedanib.
In Vitro Studies
CYP450 Enzymes: Nerandomilast is a CYP3A4 substrate. Nerandomilast does not inhibit CYP3A4, CYP1A2, CYP2B6, CYP2C8, CYP2C9, CYP2C19, and CYP2D6.
Transporter Systems: Nerandomilast is a P-glycoprotein (P-gp) substrate, but is not a substrate of BCRP, OATP1B1, OATP1B3, OAT1, OAT3, and OCT2. Nerandomilast is an inhibitor of P-gp, MATE1, MATE2-K, but is not expected to cause clinically significant interactions. Nerandomilast is not an inhibitor of BCRP, OAT1, OAT3, OCT2, OATP1B1, or OATP1B3.
13.1 Carcinogenesis, Mutagenesis, Impairment Of Fertility
Carcinogenesis
The carcinogenic potential of nerandomilast was assessed in Tg.rasH2 mice and Wistar Han rats. No evidence of tumorigenicity was observed in male and female Tg.rasH2 mice that received nerandomilast for 26 weeks at oral doses up to 60 and 100 mg/kg/day, respectively. No evidence of tumorigenicity was observed in male or female rats that received nerandomilast for up to 102 weeks at oral doses up to 2 mg/kg/day (approximately 2 times the MRHD on an AUC basis).
Mutagenesis
Nerandomilast was not mutagenic or clastogenic in the following assays: in vitro bacterial reverse mutation (Ames) assay, in vitro chromosomal aberration assay in human peripheral blood lymphocytes, and in vivo rat micronucleus assay.
Impairment of Fertility
Nerandomilast had no effect on fertility in male or female rats at oral doses up to 6 mg/kg/day (approximately 3 or 4 times the MRHD on an AUC basis, respectively). Decreased mating, pregnancy, and fertility indices at the highest tested dose of 9 mg/kg/day (approximately 4 or 9 times the MRHD on an AUC basis) were attributed to excessive general toxicity.
Sexually mature female monkeys administered nerandomilast by the oral route for 39 weeks showed sporadic menstrual cycle prolongation at dose levels of 10 mg/kg/day and 30 mg/kg/day (approximately 3- and 10 times the MRHD on an AUC basis, respectively). Menstrual cycles were not affected in monkeys at oral doses of 3 mg/kg/day (equivalent to the MRHD on an AUC basis).
14 Clinical Studies
The efficacy of JASCAYD was evaluated in two randomized, double-blind, placebo-controlled trials (FIBRONEER-IPF [NCT05321069] and Trial 2 [NCT04419506]).
FIBRONEER-IPF enrolled a total of 1,177 adult patients with IPF with or without background antifibrotic treatments (nintedanib or pirfenidone). They were randomized in a 1:1:1 ratio to receive JASCAYD 9 mg twice daily, JASCAYD 18 mg twice daily, or placebo twice daily until the last patient received treatment for 52 weeks (blinded trial duration up to 91 weeks; end of trial duration up to 109 weeks). Randomization was stratified by the presence or absence of background antifibrotic treatments (nintedanib or pirfenidone) at baseline. The FIBRONEER-IPF trial consisted of 83% male and 17% female patients with a mean age of 70 years (age range: 42 to 90 years). The study population included 68% White, 32% Asian, and <1% Black or African American. For ethnicity, 8% of patients identified as Hispanic or Latino. At baseline, the mean FVC was 78% of predicted normal; 78% of the patients were on stable antifibrotic treatment (nintedanib 46%, pirfenidone 32%) and 22% were not on either treatment (15% treatment naïve, 7% previously discontinued treatment).
Trial 2 was a 12-week trial that enrolled a total of 147 adult patients with IPF with or without background antifibrotic treatments (nintedanib or pirfenidone) and were randomized 2:1 to receive JASCAYD 18 mg twice daily or placebo twice daily for 12 weeks. Randomization was stratified by the presence or absence of background antifibrotic treatments (nintedanib or pirfenidone) at baseline. The study population in Trial 2 consisted of 77% male, and mean age of 70 years (age range: 40 to 85 years). The study population included 78% White and 22% Asian. For ethnicity, 9% of patients identified as Hispanic or Latino. At baseline, the mean FVC was 78% of predicted normal; 50% of the patients were on stable antifibrotic treatment (nintedanib 29%, pirfenidone 21%).
In both the FIBRONEER-IPF trial and Trial 2, patients were required to have a diagnosis of IPF based on ATS/ERS/JRS/ALAT criteria. Diagnosis was confirmed by the investigator based on chest high-resolution computed tomography (HRCT) scan and, if available, lung biopsy, and usual interstitial pneumonia (UIP) or probable UIP HRCT pattern consistent with the clinical diagnosis of IPF. Patients were also required to be greater than or equal to 40 years of age with an FVC greater than or equal to 45% of predicted and a carbon monoxide diffusing capacity (DLCO, corrected for hemoglobin) greater than or equal to 25% of predicted. Prior to Visit 1 and during screening, patients had to be on stable treatment with nintedanib or pirfenidone (no dose changes for at least 12 weeks) and planned to stay on this background antifibrotic treatment after randomization. Alternatively, patients were required to be naïve to or have previously discontinued nintedanib or pirfenidone for at least 8 weeks and did not plan to start or re-start background antifibrotic treatment. Patients with active vasculitis, severe depression or suicidal behavior or ideation, or use of immunomodulatory medications (other than prednisone ≤15 mg/day or equivalent) were excluded.
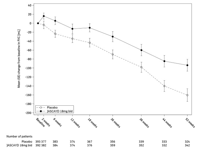
Change from Baseline in Forced Vital Capacity
The primary endpoint in FIBRONEER-IPF trial was the absolute change from baseline in forced vital capacity (FVC) in milliliters (mL) at 52 weeks for JASCAYD compared with placebo.
In the FIBRONEER-IPF study population, there was less decline in absolute change from baseline in FVC in patients who received JASCAYD compared with patients who received placebo (accounting for mortality), and this reduction in decline was statistically significant. The adjusted mean decline in patients receiving JASCAYD 18 mg or JASCAYD 9 mg was -106 mL and -122 mL, respectively, whereas in the placebo group, an adjusted mean decline of -170 mL was observed. The respective treatment differences compared with the placebo group were 64 mL (95% CI: 25, 102) and 48 mL (95% CI: 10, 86).
In the FIBRONEER-IPF trial, the results of the primary endpoint across subgroups by background antifibrotic treatment (nintedanib, pirfenidone, or none) for JASCAYD 18 mg versus placebo were consistent with the overall population. Efficacy was not observed in patients who received JASCAYD 9 mg twice daily with pirfenidone as background antifibrotic treatment [see Drug Interactions (7.1)].
Figure 1 shows the change in FVC from baseline over time in patients who received JASCAYD 18 mg twice daily compared to placebo in the FIBRONEER-IPF trial.
| Display based on descriptive means and standard errors for change from baseline values from patients with results that were available at each week. bid = twice daily |
| Figure 1 Change from Baseline in FVC (mL) in Adults with IPF over 52 weeks with JASCAYD 18 mg Compared to Placebo (FIBRONEER-IPF) |
In Trial 2, patients taking JASCAYD 18 mg twice daily compared to placebo, with or without background antifibrotic treatments, had a reduction in FVC decline at Week 12 of 91 mL (95% CI: 44, 138).
Time To First Acute IPF Exacerbation, First Hospitalization for Respiratory Cause, Or Death
The key secondary endpoint in the FIBRONEER-IPF trial was time to first occurrence of any of the components of the composite endpoint over the blinded duration of the trial (up to 91 weeks): acute IPF exacerbation, hospitalization for respiratory cause, or death. Acute IPF exacerbation was defined as acute worsening or development of dyspnea typically less than one month duration, computed tomography with new bilateral ground-glass opacity and/or consolidation superimposed on a background pattern consistent with IPF, and deterioration not fully explained by cardiac failure or fluid overload. Neither acute IPF exacerbations nor respiratory hospitalizations were adjudicated.
Overall, there was no statistically significant treatment difference in hazard ratio (HR) for the JASCAYD 18 mg or 9 mg groups compared to placebo for the key secondary composite endpoint (JASCAYD 18 mg and 9 mg, respectively: HR 1.17 [95% CI: 0.86, 1.59] and HR 1.03 [95% CI: 0.75, 1.41]).
Survival
In the FIBRONEER-IPF study population, the hazard ratio for all-cause mortality, assessed until the end of trial (up to 109 weeks), did not show a significant treatment difference for JASCAYD 18 mg or 9 mg compared to placebo (HR: 0.66 [95% CI: 0.41, 1.08] and HR 0.95 [95% CI: 0.61, 1.49], respectively).
Figure 2 shows the cumulative incidence of death in adults with IPF in the FIBRONEER-IPF trial for JASCAYD 18 mg and placebo.
| bid = twice daily |
| Figure 2 Cumulative Incidence of Death in Adults with IPF (FIBRONEER-IPF) |
16 How Supplied/Storage And Handling
How Supplied
JASCAYD tablets are supplied as follows:
| Tablet Strength | Tablet Description | Package Configuration | NDC |
|---|---|---|---|
| 9 mg | light yellow, oval, biconvex, film-coated tablets debossed with the Boehringer Ingelheim company symbol on one side and "F9" on the other side | Bottles of 60 with child-resistant closure | 0597-2465-41 |
| 18 mg | light red, oval, biconvex, film-coated tablets debossed with the Boehringer Ingelheim company symbol on one side and "F18" on the other side | Bottles of 60 with child-resistant closure | 0597-7313-21 |
Storage And Handling
Storage and Handling
Store at 20°C to 25°C (68°F to 77°F); excursions permitted to 15°C to 30°C (59°F to 86°F) [see USP Controlled Room Temperature]. Store in the original container to protect from light.
17 Patient Counseling Information
Advise the patient to read the FDA-approved patient labeling (Patient Information).
Pregnancy
Advise female patients to contact their healthcare provider if they become pregnant or suspect they may be pregnant during treatment with JASCAYD. Advise female patients of the potential risk of fetal loss [see Use in Specific Populations (8.1)].
Missed Dose
Inform patients that if they miss a dose of JASCAYD, they should take the next dose at the next scheduled time. Advise patients to not make up for a missed dose or exceed the recommended dosage of 18 mg twice daily [see Dosage and Administration (2.1)].
Other
Distributed by:
Boehringer Ingelheim Pharmaceuticals, Inc.
Ridgefield, CT 06877 USA
Licensed from:
Boehringer Ingelheim International GmbH, Ingelheim, Germany
JASCAYD is a trademark of and used under license from Boehringer Ingelheim International GmbH.
Copyright 2025 Boehringer Ingelheim International GmbH
ALL RIGHTS RESERVED
COL11694BJ072025
SPL14534C
Spl Patient Package Insert
| PATIENT INFORMATION JASCAYD (JASS-kayd) (nerandomilast tablets) for oral use | |||
|---|---|---|---|
| This Patient Information has been approved by the U.S. Food and Drug Administration. | Approved: 10/2025 | ||
| What is JASCAYD? JASCAYD is a prescription medicine used to treat adults with a lung disease called idiopathic pulmonary fibrosis (IPF). It is not known if JASCAYD is safe and effective in children. | |||
Before you take JASCAYD, tell your healthcare provider about all of your medical conditions, including if you:
| |||
How should I take JASCAYD?
| |||
| What are the possible side effects of JASCAYD? The most common side effects of JASCAYD include: | |||
|
|
| |
| These are not all of the possible side effects of JASCAYD. For more information, ask your healthcare provider or pharmacist. Call your doctor for medical advice about side effects. You may report side effects to FDA at 1-800-FDA-1088. | |||
How should I store JASCAYD?
| |||
| General information about the safe and effective use of JASCAYD. Medicines are sometimes prescribed for purposes other than those listed in a Patient Information leaflet. Do not use JASCAYD for any condition for which it was not prescribed. Do not give JASCAYD to other people, even if they have the same symptoms you have. It may harm them. You can ask your healthcare provider or pharmacist for information about JASCAYD that is written for health professionals. | |||
| What are the ingredients in JASCAYD? Active ingredient: nerandomilast Inactive ingredients: croscarmellose sodium, ferric oxide red (18 mg tablets only), ferric oxide yellow (9 mg tablets only), ferrosoferric oxide (18 mg tablets only), hydroxypropyl cellulose, hypromellose, lactose monohydrate, magnesium stearate, mannitol, microcrystalline cellulose, polyethylene glycol, and talc. | |||
| Distributed by: Boehringer Ingelheim Pharmaceuticals, Inc., Ridgefield, CT 06877 USA Licensed from: Boehringer Ingelheim International GmbH, Ingelheim, Germany JASCAYD is a trademark of and used under license from Boehringer Ingelheim International GmbH. Copyright © 2025 Boehringer Ingelheim International GmbH ALL RIGHTS RESERVED COL11694BJ072025 For more information about JASCAYD, including current Prescribing Information and patient support, go to www.jascayd.com or call Boehringer Ingelheim Pharmaceuticals, Inc. at 1-800-542-6257, or scan the code to go to www.jascayd.com. | |||
Principal Display Panel - 9 Mg Tablet Bottle Carton
NDC 0597-2465-41
Jascayd®
(nerandomilast tablets)
9 mg
Rx only
60 tablets
Boehringer
Ingelheim
Principal Display Panel - 18 Mg Tablet Bottle Carton
NDC 0597-7313-21
Jascayd®
(nerandomilast tablets)
18 mg
Rx only
60 tablets
Boehringer
Ingelheim
* Please review the disclaimer below.




