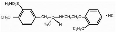
Product Images Tamsulosin Hydrochloride

View Photos of Packaging, Labels & Appearance

Product Label Images

The following 8 images provide visual information about the product associated with Tamsulosin Hydrochloride NDC 0615-8055 by Ncs Healthcare Of Ky, Llc Dba Vangard Labs, such as packaging, labeling, and the appearance of the drug itself. This resource could be helpful for medical professionals, pharmacists, and patients seeking to verify medication information and ensure they have the correct product.

tamsulosin hcl caps aurobindo for rising 1

tamsulosin hcl caps aurobindo for rising 1

tamsulosin hcl caps aurobindo for rising 2

tamsulosin hcl caps aurobindo for rising 2

tamsulosin hcl caps aurobindo for rising 3

tamsulosin hcl caps aurobindo for rising 3

The text is showing a figure (Figure 2A) that represents the mean change in Total AUA Symptom Score (ranging from 0-35) for Study 1. The figure compares the treatment with a drug called 0.08mg_A and a placebo, over a period of up to 13 weeks. The number of participants (n) at each time point is also shown in the figure. No further information is available.*

tamsulosin hcl caps aurobindo for rising 4

tamsulosin hcl caps aurobindo for rising 4

This is a graph showing the mean change from baseline in Total AUA Symptom Score for different treatments in Study 2. The treatments include 0.4mg and 0.08mg LNt as well as placebo. The graph spans for 13 weeks, and the data has been collected using LOCF method.*

tamsulosin hcl caps aurobindo for rising 5

tamsulosin hcl caps aurobindo for rising 5

Figure 3A shows the mean increase in peak urine flow rate (in L/sec) in Study 1. The graph depicts the treatment groups receiving 0.08 mg and 0.4 mg, as well as the placebo group, and the mean change in mL/sec over the duration of treatment in weeks. The number of participants in each group is also shown.*

tamsulosin hcl caps aurobindo for rising 6

tamsulosin hcl caps aurobindo for rising 6

This is a figure from Study 2 that shows the mean increase in peak urine flow rate measured in mL/Sec. The x-axis represents the duration of treatment in weeks, and the y-axis shows the increase in peak urine flow rate. The figure is labeled as "Figure 3B" and is divided into 20 treatment groups. However, without the actual figure or additional context, it is difficult to provide a more detailed description.*

tamsulosin hcl caps aurobindo for rising 7

tamsulosin hcl caps aurobindo for rising 7

This is a label for Tamsulosin Caps USP 0.4 mg, LOT 8055- with 30 tablets. The label provides information about the manufacturer, the drug's dosage, and storage instructions but no information is provided about its indications or side effects.*

tamsulosin hcl caps aurobindo for rising 8

tamsulosin hcl caps aurobindo for rising 8

This is a label of Tamsulosin hydrochloride capsules USP, 0.4 mg. The medicine was packaged by Vangard in Glasgow, KY, with a lot number of 8055 and expiry date mentioned as AA 21. The quantity of the medicine is 30, and it is only for institutional use. The label also mentions the manufacturer of the medicine as Aurobindo oy and provides a dosage instruction to refer to new.my_omnicare.com.*

* The product label images have been analyzed using a combination of traditional computing and machine learning techniques. It should be noted that the descriptions provided may not be entirely accurate as they are experimental in nature. Use the information in this page at your own discretion and risk.