Product Images Lamotrigine

View Photos of Packaging, Labels & Appearance

Product Label Images

The following 9 images provide visual information about the product associated with Lamotrigine NDC 0615-8267 by Ncs Healthcare Of Ky, Llc Dba Vangard Labs, such as packaging, labeling, and the appearance of the drug itself. This resource could be helpful for medical professionals, pharmacists, and patients seeking to verify medication information and ensure they have the correct product.

lamotrigine 25mg100mg150mg200mg cadila for zydus 1

lamotrigine 25mg100mg150mg200mg cadila for zydus 1

lamotrigine 25mg100mg150mg200mg cadila for zydus 2

lamotrigine 25mg100mg150mg200mg cadila for zydus 2

lamotrigine 25mg100mg150mg200mg cadila for zydus 3

lamotrigine 25mg100mg150mg200mg cadila for zydus 3

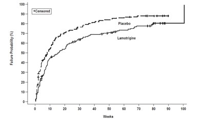
This is a table showing the failure probability percentage of Lamotrigine. The value for the failure probability is not clearly indicated since it is censored.*

lamotrigine 25mg100mg150mg200mg cadila for zydus 4

lamotrigine 25mg100mg150mg200mg cadila for zydus 4

lamotrigine 25mg100mg150mg200mg cadila for zydus 5

lamotrigine 25mg100mg150mg200mg cadila for zydus 5

This is a description of two different pills. The first one is a white to off-white pill with "Z" and "13" debossed on either side of the bisect. It weighs 5mg. The second pill weighs 25mg and is white to off-white in color. It has "Z" and "12" debossed on one side.*

lamotrigine 25mg100mg150mg200mg cadila for zydus 6

lamotrigine 25mg100mg150mg200mg cadila for zydus 6

Lamotrigine tablet is a prescription medication used to treat seizures in people with epilepsy and bipolar disorder. This is a controlled medication that should be kept away from moisture in a light-resistant container at a temperature of 20-25°C. The information on dosage and usage can be found in the package's insert binder.*

lamotrigine 25mg100mg150mg200mg cadila for zydus 7

lamotrigine 25mg100mg150mg200mg cadila for zydus 7

This is a medication label for Lamotrigine tablets. It includes instructions for storage, dosage and manufacturer details. The text also shows the drug's National Drug Code.*

lamotrigine 25mg100mg150mg200mg cadila for zydus 8

lamotrigine 25mg100mg150mg200mg cadila for zydus 8

This appears to be a list of lot numbers for Lamotrigine Tab USP 150mg manufactured by Cadila for Zydus. The package is for institutional use only and should be stored in a controlled temperature room. The label contains dosage information, instructions for dispensing the product in a light-resistant container, and warns to verify the product dispensed.*

lamotrigine 25mg100mg150mg200mg cadila for zydus 9

lamotrigine 25mg100mg150mg200mg cadila for zydus 9

The text contains information regarding Lamotrigine Tabs USP 200 mg by Cadila for Zydus. The package includes tablets containing Lamotrigine in different quantities. The package also includes detailed cautionary instructions such as storage, dispensing, and usage information.*

* The product label images have been analyzed using a combination of traditional computing and machine learning techniques. It should be noted that the descriptions provided may not be entirely accurate as they are experimental in nature. Use the information in this page at your own discretion and risk.