Product Images Midazolam
View Photos of Packaging, Labels & Appearance
- Structural Formula - midazolam injection novaplus 1
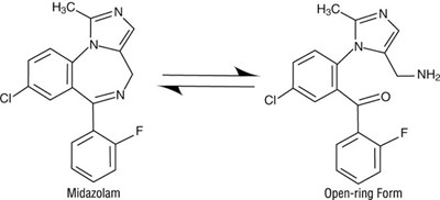
- Image of Midazolam Present as an Equilibirum Mixture of Closed-Ring and Open-Ring Form - midazolam injection novaplus 2
- Image of Chart Plotting the Percentage of Midazolam Present as the Open-Ring Form as a Function of pH in Aqueous Solutions - midazolam injection novaplus 3
- 10 mL Novaplus vial container - midazolam injection novaplus 4
- 10 x 10 mL vials shelfpack label - Novaplus - midazolam injection novaplus 5
- midazolam injection novaplus 6
Product Label Images
The following 6 images provide visual information about the product associated with Midazolam NDC 0641-6190 by Hikma Pharmaceuticals Usa Inc., such as packaging, labeling, and the appearance of the drug itself. This resource could be helpful for medical professionals, pharmacists, and patients seeking to verify medication information and ensure they have the correct product.
Image of Midazolam Present as an Equilibirum Mixture of Closed-Ring and Open-Ring Form - midazolam injection novaplus 2

Midazolam Open-ring Form is a type of medication used for sedation purposes. It belongs to the class of drugs called benzodiazepines, and works by depressing the central nervous system to produce a calming effect. This particular form of midazolam is an "open-ring" compound, meaning that the ring structure normally found in benzodiazepines has been opened up to create a different chemical structure. This modification results in faster absorption and onset of action compared to other forms of midazolam.*
Image of Chart Plotting the Percentage of Midazolam Present as the Open-Ring Form as a Function of pH in Aqueous Solutions - midazolam injection novaplus 3

This appears to be a graph or chart showing the pH dependence of an open-ring form in water. The x-axis appears to show pH values, while the y-axis shows the percentage of the open-ring form. Without further context or information, it is unclear what specific open-ring form is being studied or what the implications of these findings may be.*
10 mL Novaplus vial container - midazolam injection novaplus 4

This is a description of a medication containing the active ingredient Midazolam. It is an injection that comes in a 10 mL vial with a strength of 50 mg per 10 mL. It is intended for use through injection into muscle or veins. The medication contains the solvent benzyl alcohol.*
10 x 10 mL vials shelfpack label - Novaplus - midazolam injection novaplus 5

The text provides information about NDC 0641-6190-10 Reony Midazolam Injection, USP, with 50 mg per 10 mL (5 mg/mL) of midazolam (as the hydrochloride). The injection contains benzy alcohol and comes in 1010 mL vials. The usual dosage is provided in the package insert for complete prescribing information. The injection should be stored at 20° o 25°C (68° to 77°F) and is manufactured by Hima Pharmaceuticals USA Inc. Novaplus™ is a registered trademark of Vizrt, Inc.*
midazolam injection novaplus 6

This is a product identifier information that includes a GTIN (Global Trade Item Number), a SN (Serial Number), an expiration date (EXP), and a lot number (LOT). The GTIN is a 13-digit number that uniquely identifies products, while the SN is a unique number assigned to a particular unit of the product. The EXP indicates when the product expires, and the LOT is a unique identifier assigned to a specific batch of the product.*
* The product label images have been analyzed using a combination of traditional computing and machine learning techniques. It should be noted that the descriptions provided may not be entirely accurate as they are experimental in nature. Use the information in this page at your own discretion and risk.