Product Images Morphine Sulfate
View Photos of Packaging, Labels & Appearance
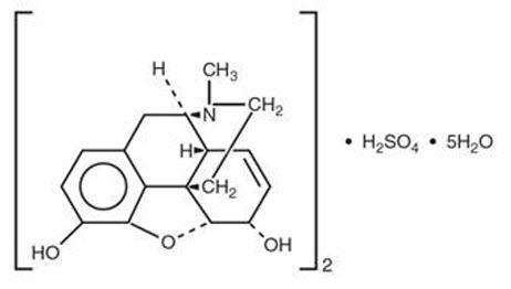
- The chemical name of morphine sulfate is 7,8-Didehydro-4,5-epoxy-17-methyl-(5α,6α)-morphinan-3,6-diol sulfate (2:1) (salt), pentahydrate, with the following structural formula: - morphine sulfate injection usp syringes 1
- fig 1 - morphine sulfate injection usp syringes 2
- Figure 2 - morphine sulfate injection usp syringes 3
- NDC 0641-6191-01 Rx only 1 mL Single-Dose Prefilled Syringe 462-858-00 Morphine Sulfate Injection, USP 2 mg/mL For IV use ONLY - morphine sulfate injection usp syringes 4
- NDC 0641-6191-10 Rx only Morphine Sulfate Injection, USP 2 mg/mL For Intravenous use ONLY No added preservative 10 x 1 mL Single-Dose Prefilled Syringes Discard unused portion. - morphine sulfate injection usp syringes 5
- NDC 0641-6192-01 Rx only 1 mL Single-Dose Prefilled Syringe 462-860-00 Morphine Sulfate Injection, USP 4 mg/mL For IV use ONLY - morphine sulfate injection usp syringes 6
- NDC 0641-6192-10 Rx only Morphine Sulfate Injection, USP 4 mg/mL For Intravenous use ONLY No added preservative 10 x 1 mL Single-Dose Prefilled Syringes Discard unused portion. - morphine sulfate injection usp syringes 7
Product Label Images
The following 7 images provide visual information about the product associated with Morphine Sulfate NDC 0641-6192 by Hikma Pharmaceuticals Usa Inc., such as packaging, labeling, and the appearance of the drug itself. This resource could be helpful for medical professionals, pharmacists, and patients seeking to verify medication information and ensure they have the correct product.
The chemical name of morphine sulfate is 7,8-Didehydro-4,5-epoxy-17-methyl-(5α,6α)-morphinan-3,6-diol sulfate (2:1) (salt), pentahydrate, with the following structural formula: - morphine sulfate injection usp syringes 1

NDC 0641-6191-01 Rx only 1 mL Single-Dose Prefilled Syringe 462-858-00 Morphine Sulfate Injection, USP 2 mg/mL For IV use ONLY - morphine sulfate injection usp syringes 4

This text is a description of a 1 mL single-dose prefilled syringe containing Morphine Sulfate Injection, USP at a concentration of 2 mg/mL, intended for intravenous use only. The NDC number for the product is 0641-6191-01 and it is manufactured by Hikma. The lot number and expiration date are also provided.*
NDC 0641-6191-10 Rx only Morphine Sulfate Injection, USP 2 mg/mL For Intravenous use ONLY No added preservative 10 x 1 mL Single-Dose Prefilled Syringes Discard unused portion. - morphine sulfate injection usp syringes 5

This text appears to be a description of a medication containing Morphine Sulfate Injection, USP intended for intravenous use only. The medication is presented in single-dose pre-filled syringes and should be discarded if unused. It also mentions the ingredients and pharmaceutical information. The dosage instructions and storage precautions are highlighted as well. The manufacturer of the medication is identified as Hikma Pharmaceuticals USA.*
NDC 0641-6192-01 Rx only 1 mL Single-Dose Prefilled Syringe 462-860-00 Morphine Sulfate Injection, USP 4 mg/mL For IV use ONLY - morphine sulfate injection usp syringes 6

NDC 0641-6192-10 Rx only Morphine Sulfate Injection, USP 4 mg/mL For Intravenous use ONLY No added preservative 10 x 1 mL Single-Dose Prefilled Syringes Discard unused portion. - morphine sulfate injection usp syringes 7

This text is information about "Morphine sulfate Injection, USP" for intravenous use only. The medication comes in a 101 mL single-dose prefilled syringe with no preservatives added. It is important to discard any unused portion. The medication should be protected from light and stored at 20° to 25°C (66° to 77°F) to avoid freezing. The dosage and storage instructions are provided in detail for proper use.*
* The product label images have been analyzed using a combination of traditional computing and machine learning techniques. It should be noted that the descriptions provided may not be entirely accurate as they are experimental in nature. Use the information in this page at your own discretion and risk.