Product Images Tribenzor

View Photos of Packaging, Labels & Appearance

  1. The structural formula for olmesartan medoxomil is hydrolyzed to olmesartan during absorption from the gastrointestinal tract. - tribenzor 01
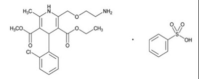
  2. The structural formula for amlodipine besylate is chemically described as 3 ethyl 5-methyl (±)-2-[(2-aminoethoxy)methyl]-4-(2-chlorophenyl)-1,4-dihydro-6-methyl-3,5-pyridinedicarboxylate, monobenzene - tribenzor 02
  3. The structural formula for hydrochlorothiazide is chemically described as 6 chloro 3,4-dihydro-2H-1,2,4-benzo-thiazidiazine-7-sulfonamide 1,1-dioxide. Its empirical formula is C7H8CIN3O4S2. - tribenzor 03
  4. Figure 1: Mean Ambulatory Diastolic Blood Pressure at Endpoint by Treatment and Hour - tribenzor 04
  5. Figure 2: Mean Ambulatory Systolic Blood Pressure at Endpoint by Treatment and Hour - tribenzor 05
  6. PRINCIPAL DISPLAY PANEL NDC 0713-0874-30 TRIBENZOR (olmesartan medoxomil, amlodipine, hydrochlorothiazide) tablets 20 mg/5 mg*/12.5 mg 30 Tablets Rx only - tribenzor 06
  7. PRINCIPAL DISPLAY PANEL NDC 0713-0875-30 TRIBENZOR (olmesartan medoxomil, amlodipine, hydrochlorothiazide) tablets 40 mg/5 mg*/12.5 mg 30 Tablets Rx only - tribenzor 07
  8. PRINCIPAL DISPLAY PANEL NDC 0713-0876-30 TRIBENZOR (olmesartan medoxomil, amlodipine, hydrochlorothiazide) tablets 40 mg/5 mg*/25 mg 30 Tablets Rx only - tribenzor 08
  9. PRINCIPAL DISPLAY PANEL NDC 0713-0877-30 TRIBENZOR (olmesartan medoxomil, amlodipine, hydrochlorothiazide) tablets 40 mg/10 mg*/12.5 mg 30 Tablets Rx only - tribenzor 09
  10. PRINCIPAL DISPLAY PANEL NDC 0713-0878-30 TRIBENZOR (olmesartan medoxomil, amlodipine, hydrochlorothiazide) tablets 40 mg/10 mg*/25 mg 30 Tablets Rx only - tribenzor 0a

Product Label Images

The following 10 images provide visual information about the product associated with Tribenzor NDC 0713-0877 by Cosette Pharmaceuticals, Inc., such as packaging, labeling, and the appearance of the drug itself. This resource could be helpful for medical professionals, pharmacists, and patients seeking to verify medication information and ensure they have the correct product.

The structural formula for olmesartan medoxomil is hydrolyzed to olmesartan during absorption from the gastrointestinal tract. - tribenzor 01

The structural formula for olmesartan medoxomil is hydrolyzed to olmesartan during absorption from the gastrointestinal tract. - tribenzor 01

The structural formula for amlodipine besylate is chemically described as 3 ethyl 5-methyl (±)-2-[(2-aminoethoxy)methyl]-4-(2-chlorophenyl)-1,4-dihydro-6-methyl-3,5-pyridinedicarboxylate, monobenzene - tribenzor 02

The structural formula for amlodipine besylate is chemically described as 3 ethyl 5-methyl (±)-2-[(2-aminoethoxy)methyl]-4-(2-chlorophenyl)-1,4-dihydro-6-methyl-3,5-pyridinedicarboxylate, monobenzene - tribenzor 02

The structural formula for hydrochlorothiazide is chemically described as 6 chloro 3,4-dihydro-2H-1,2,4-benzo-thiazidiazine-7-sulfonamide 1,1-dioxide. Its empirical formula is C7H8CIN3O4S2. - tribenzor 03

The structural formula for hydrochlorothiazide is chemically described as 6 chloro 3,4-dihydro-2H-1,2,4-benzo-thiazidiazine-7-sulfonamide 1,1-dioxide.  Its empirical formula is C7H8CIN3O4S2. - tribenzor 03

Figure 1: Mean Ambulatory Diastolic Blood Pressure at Endpoint by Treatment and Hour - tribenzor 04

Figure 1:	Mean Ambulatory Diastolic Blood Pressure at Endpoint by Treatment and Hour - tribenzor 04

Figure 2: Mean Ambulatory Systolic Blood Pressure at Endpoint by Treatment and Hour - tribenzor 05

Figure 2:	Mean Ambulatory Systolic Blood Pressure at Endpoint by Treatment and Hour - tribenzor 05

This is a graph displaying mean Ambulatory Systolic BP (mmHg) over the course of a day (in hours post-dose) for different medication treatments: Baseline, AML10/HCTZ25, OMAO/ANLI0, and OM#0/HCTZ25. The values on the y-axis range from 105 to 160.*

PRINCIPAL DISPLAY PANEL NDC 0713-0874-30 TRIBENZOR (olmesartan medoxomil, amlodipine, hydrochlorothiazide) tablets 20 mg/5 mg*/12.5 mg 30 Tablets Rx only - tribenzor 06

PRINCIPAL DISPLAY PANEL NDC 0713-0874-30 TRIBENZOR (olmesartan medoxomil, amlodipine, hydrochlorothiazide) tablets 20 mg/5 mg*/12.5 mg 30 Tablets Rx only - tribenzor 06

This is a prescription drug with the National Drug Code 0713-0874-30. The drug is called Tribenzor and it contains three active ingredients: Mesartan medoxomil, amlodiping, hydrochlorothiazide. The drug should be stored at room temperature, between 59 and 86°F. Each tablet contains 8.9mg of amlodipine besylate. The manufacturer is Cosette Pharmaceuticals, Inc. The package insert should be consulted for dosage and usage instructions. The product was made in Germany and comes in a package of 30 tablets.*

PRINCIPAL DISPLAY PANEL NDC 0713-0875-30 TRIBENZOR (olmesartan medoxomil, amlodipine, hydrochlorothiazide) tablets 40 mg/5 mg*/12.5 mg 30 Tablets Rx only - tribenzor 07

PRINCIPAL DISPLAY PANEL NDC 0713-0875-30 TRIBENZOR (olmesartan medoxomil, amlodipine, hydrochlorothiazide) tablets 40 mg/5 mg*/12.5 mg 30 Tablets Rx only - tribenzor 07

PRINCIPAL DISPLAY PANEL NDC 0713-0876-30 TRIBENZOR (olmesartan medoxomil, amlodipine, hydrochlorothiazide) tablets 40 mg/5 mg*/25 mg 30 Tablets Rx only - tribenzor 08

PRINCIPAL DISPLAY PANEL NDC 0713-0876-30 TRIBENZOR (olmesartan medoxomil, amlodipine, hydrochlorothiazide) tablets 40 mg/5 mg*/25 mg 30 Tablets Rx only - tribenzor 08

This appears to be a product label for a medication called TRIBENZOR, manufactured by Cosette Pharmaceuticals. The medication contains three active ingredients, namely mesartan medoxomil, amlodipine besylate, and hydrochlorothiazide. This medication is used to treat hypertension (high blood pressure) in adults. The recommended storage temperature range for the tablets is 15 to 30°C (59 to 86°F). The label also contains the NDC (National Drug Code) number and dosage instructions.*

PRINCIPAL DISPLAY PANEL NDC 0713-0877-30 TRIBENZOR (olmesartan medoxomil, amlodipine, hydrochlorothiazide) tablets 40 mg/10 mg*/12.5 mg 30 Tablets Rx only - tribenzor 09

PRINCIPAL DISPLAY PANEL NDC 0713-0877-30 TRIBENZOR (olmesartan medoxomil, amlodipine, hydrochlorothiazide) tablets 40 mg/10 mg*/12.5 mg 30 Tablets Rx only - tribenzor 09

TRIBENZOR is a medication that contains a combination of three active ingredients: Olmesartan medoxomil, amlodipine, and hydrochlorothiazide. It comes in the form of tablets, and each tablet contains 13.9 mg of amlodipine besylate. TRIBENZOR is used for the treatment of high blood pressure. It is recommended to store the medication at a temperature between 15°C and 30°C (59 to 86°F), and a package insert should be consulted for more information. Cosette Pharmaceuticals, Inc. markets TRIBENZOR, and it is a product of Germany.*

PRINCIPAL DISPLAY PANEL NDC 0713-0878-30 TRIBENZOR (olmesartan medoxomil, amlodipine, hydrochlorothiazide) tablets 40 mg/10 mg*/25 mg 30 Tablets Rx only - tribenzor 0a

PRINCIPAL DISPLAY PANEL NDC 0713-0878-30 TRIBENZOR (olmesartan medoxomil, amlodipine, hydrochlorothiazide) tablets 40 mg/10 mg*/25 mg 30 Tablets Rx only - tribenzor 0a

This is information about a medication called TRIBENZOR. The medication comes in the form of tablets with a dosage of 40 mg/10 mg*/25 mg, containing medoxomil, amlodipine, and hydrochlorothiazide, among other ingredients. The tablets should be stored at 25°C (77°F), with permitted excursions up to 15-30°C (59-86°F). The medication is marketed by Cosette Pharmaceuticals, Inc., and the product is from Germany. The NDC number of the medication is 0713018783. There is a package insert available for further information.*

* The product label images have been analyzed using a combination of traditional computing and machine learning techniques. It should be noted that the descriptions provided may not be entirely accurate as they are experimental in nature. Use the information in this page at your own discretion and risk.