Product Images Memantine

View Photos of Packaging, Labels & Appearance

Product Label Images

The following 11 images provide visual information about the product associated with Memantine NDC 0904-6505 by Major Pharmaceuticals, such as packaging, labeling, and the appearance of the drug itself. This resource could be helpful for medical professionals, pharmacists, and patients seeking to verify medication information and ensure they have the correct product.

04fef048 a63e 46e9 9fc4 afdd4aae775b 00

04fef048 a63e 46e9 9fc4 afdd4aae775b 00

This appears to be a label for Memantine Hydrochloride Tablets, USP with a dosage strength of 10 mg per tablet. The medication is only available with a prescription and is distributed by an unknown entity with the initials HMAIOR. The label also includes a National Drug Code (NDC) of 0904-6506-61. The rest of the text is not legible.*

04fef048 a63e 46e9 9fc4 afdd4aae775b 01

04fef048 a63e 46e9 9fc4 afdd4aae775b 01

This is a description of a medication with the NDC code 0904-6505-61. It contains memantine hydrochloride in the form of tablets, USP. The rest of the text is not readable or available.*

figure1

figure1

figure2

figure2

figure3

figure3

figure4

figure4

figure5

figure5

figure6

figure6

figure7

figure7

figure8

figure8

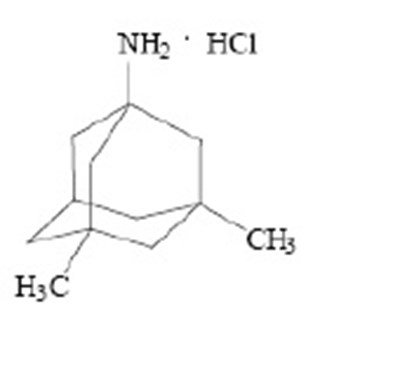
structure

structure

* The product label images have been analyzed using a combination of traditional computing and machine learning techniques. It should be noted that the descriptions provided may not be entirely accurate as they are experimental in nature. Use the information in this page at your own discretion and risk.