Product Images Benztropine Mesylate

View Photos of Packaging, Labels & Appearance

Product Label Images

The following 4 images provide visual information about the product associated with Benztropine Mesylate NDC 0904-6788 by Major Pharmaceuticals, such as packaging, labeling, and the appearance of the drug itself. This resource could be helpful for medical professionals, pharmacists, and patients seeking to verify medication information and ensure they have the correct product.

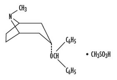
Benztropine Mesylate chemical structure - benztropine tabs aspen 1

Benztropine Mesylate chemical structure - benztropine tabs aspen 1

image 01

image 01

This is a description of medication called Benztropine Mesylate Tablets, USP. The medication is available in a unit dose package containing 100 tablets. The recommended adult dosage (usual) is 1 to 2 mg, three times a day, orally with or without food. It should be stored at room temperature and in a well-closed container. It can be dispensed only on prescription. The rest of the text is not legible.*

image 02

image 02

image 03

image 03

This is a description of Benztropine Mesylate tablets with the NDC code 0904-6789-61, manufactured by MAJOR, and distributed in unit doses. The text also mentions a similar product with a different NDC code and unit dose. There is additional text that seems to be a mix of various information such as storage instructions and distribution details, but it is not coherent.*

* The product label images have been analyzed using a combination of traditional computing and machine learning techniques. It should be noted that the descriptions provided may not be entirely accurate as they are experimental in nature. Use the information in this page at your own discretion and risk.