Product Images Metaxalone

View Photos of Packaging, Labels & Appearance

Product Label Images

The following 3 images provide visual information about the product associated with Metaxalone NDC 0904-6831 by Major Pharmaceuticals, such as packaging, labeling, and the appearance of the drug itself. This resource could be helpful for medical professionals, pharmacists, and patients seeking to verify medication information and ensure they have the correct product.

ad7bc799 97c6 3571 e053 2995a90a02e7 00

ad7bc799 97c6 3571 e053 2995a90a02e7 00

This is a description for Metaxalone Tablets; a muscle relaxant used to relieve pain and discomfort caused by strains, sprains, and other muscle injuries. The recommended dosage for adults and children is one tablet (800mg) taken by mouth four times a day, with or without food. The tablets are available in a dosage strength of thirty milligrams and are packaged in a child-resistant unit dose package. They should be stored at a temperature of 20-25 degrees Celsius and be kept out of reach of children. The given National Drug Code for Metaxalone Tablets is 0904-6831-04.*

Figure 1 - Mean (SD) Concentrations of Metaxalone following an 800 mg Dose under Fasted and Fed Conditions. - metaxalone fig

Figure 1 - Mean (SD) Concentrations of Metaxalone following an 800 mg Dose under Fasted and Fed Conditions. - metaxalone fig

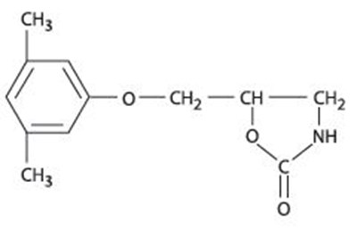
Metaxalone 800 mg - Chemical Structure - metaxalone str

Metaxalone 800 mg - Chemical Structure - metaxalone str

* The product label images have been analyzed using a combination of traditional computing and machine learning techniques. It should be noted that the descriptions provided may not be entirely accurate as they are experimental in nature. Use the information in this page at your own discretion and risk.