Product Images Abiraterone Acetate

View Photos of Packaging, Labels & Appearance

Product Label Images

The following 5 images provide visual information about the product associated with Abiraterone Acetate NDC 0904-6948 by Major Pharmaceuticals, such as packaging, labeling, and the appearance of the drug itself. This resource could be helpful for medical professionals, pharmacists, and patients seeking to verify medication information and ensure they have the correct product.

carton label - 49809A29 6558 43A3 A347 5027DE44AA41 00

carton label - 49809A29 6558 43A3 A347 5027DE44AA41 00

This is a description of a medication named ABIRATERONE ACETATE in the form of tablets, USP. The tablets are available in a unit dose pack containing 30 tablets. The pack also contains patent information which is needed to prevent abuse. The medicine may contain up to 250mg of ABIRATERONE. The insert found at aparmaceltiens.com contains necessary information on precautions to be taken while consuming the medicine. The medication needs to be stored at temperatures between 16°C to 30°C. No information is available on the use of this medication, and the user is advised to read the instructions mentioned in the package insert.*

Figure 2 - Figure 2

Figure 2 - Figure 2

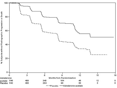
The provided text is a table that shows the number of subjects without death over a period of time from randomization for two groups. The two groups are Placebo and Abiraterone acetate. The table shows the number of subjects for each group at each month from 3 to 60. The data has been split into two columns, one for each group. The first row shows the medication name and the subsequent rows detail the month from randomization.*

Figure 3 - Figure 3

Figure 3 - Figure 3

Figure 1 - Graph 1

Figure 1 - Graph 1

This appears to be a survival plot showing the percentage of survival over time (measured in months) for two groups - one group receiving a treatment called "Abiteron" and the other group receiving a placebo. The text seems to be showing the survival percentages at different time points for each group.*

Structure - Structure

Structure - Structure

* The product label images have been analyzed using a combination of traditional computing and machine learning techniques. It should be noted that the descriptions provided may not be entirely accurate as they are experimental in nature. Use the information in this page at your own discretion and risk.