Product Images Losartan Potassium

View Photos of Packaging, Labels & Appearance

Product Label Images

The following 8 images provide visual information about the product associated with Losartan Potassium NDC 0904-7048 by Major Pharmaceuticals, such as packaging, labeling, and the appearance of the drug itself. This resource could be helpful for medical professionals, pharmacists, and patients seeking to verify medication information and ensure they have the correct product.

Losapotatab1 - c516a5a7 cfc8 4b3b a8bc 7644c3313673 01

Losapotatab1 - c516a5a7 cfc8 4b3b a8bc 7644c3313673 01

losapotatab2 - c516a5a7 cfc8 4b3b a8bc 7644c3313673 02

losapotatab2 - c516a5a7 cfc8 4b3b a8bc 7644c3313673 02

This is a statistical report presenting the percentage of patients who achieved the primary endpoint in a clinical study comparing two medications, Atenolol and Losartan Potassium. The report also shows an adjusted risk reduction of 13% with a p-value of 0.021, suggesting that Losartan Potassium may be more effective than Atenolol in reducing the risk of the primary endpoint. The study was conducted over 66 months, with measurements taken at various time points from 18 to 66 months.*

losapotatab3 - c516a5a7 cfc8 4b3b a8bc 7644c3313673 03

losapotatab3 - c516a5a7 cfc8 4b3b a8bc 7644c3313673 03

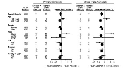
This is a statistical comparison of the efficacy of the drugs Atenolol and Losartan Potassium in preventing fatal/non-fatal stroke. The chart shows the percentage of patients in each group and an adjusted risk reduction of 25% with a p-value of 0.001. The other symbols and numbers seem to represent time intervals during the study.*

losapotatab - c516a5a7 cfc8 4b3b a8bc 7644c3313673 04

losapotatab - c516a5a7 cfc8 4b3b a8bc 7644c3313673 04

losapotatab5 - c516a5a7 cfc8 4b3b a8bc 7644c3313673 05

losapotatab5 - c516a5a7 cfc8 4b3b a8bc 7644c3313673 05

This appears to be a table or graph displaying information related to the percentage of patients experiencing an event. Losartan Potassium Tablets are being compared to a placebo and it shows a risk reduction of 16.1% with a p-value of 0.022. However, without additional context or information, it is difficult to provide further details or a more comprehensive description.*

carton label - image 01

carton label - image 01

This is a product description for Losartan Potassium Tablets USP manufactured by Major. The NDC number is 0904-7047-61 and the package contains 100 tablets intended for unit dose dispensing. Each tablet has 25 mg of Losartan Potassium. The product is Rx only and the label has prescribing information, precautions, and warnings. The product is stored at a controlled room temperature of 20-25 °C (68-77 °F) and is for oral consumption.*

carton label - image 02

carton label - image 02

This is a medication package of Losartan Potassium tablets with NDC code 0904-7048-61. It contains individually packaged unit doses and must be dispensed by a pharmacist. Dosage instructions and a patient information sheet are not included in the package. The package should be kept at room temperature and in a light-resistant container.*

carton label - image 03

carton label - image 03

Losartan Potassium Tablets, USP with a dosage of 100mg per tablet are dispensed in unit doses by pharmacists. This product is prescribed for specific patients with information on dosage, precautions, and warnings. The container should be kept in a light-resistant container at room temperature and out of reach from children. The NDC number is 0904704961.*

* The product label images have been analyzed using a combination of traditional computing and machine learning techniques. It should be noted that the descriptions provided may not be entirely accurate as they are experimental in nature. Use the information in this page at your own discretion and risk.