Product Images Clindamycin Hydrochloride

View Photos of Packaging, Labels & Appearance

Product Label Images

The following 2 images provide visual information about the product associated with Clindamycin Hydrochloride NDC 0904-7194 by Major Pharmaceuticals, such as packaging, labeling, and the appearance of the drug itself. This resource could be helpful for medical professionals, pharmacists, and patients seeking to verify medication information and ensure they have the correct product.

Carton label - D53A66BF FDBD 4A12 8D8C 4E3AB94E9EF5 00

Carton label - D53A66BF FDBD 4A12 8D8C 4E3AB94E9EF5 00

This is a medication package for Clindamycin Hydrochloride capsules with NDC codes 0804-7194-61 and 0904-7194-61. The package contains 100 unit dose capsules, and the medication is only available by prescription. The package also includes dosage instructions, storage instructions, and warnings to keep the medication out of reach of children. There is some unclear text regarding "Cindamyiyrsthés" and "Vst Doage," but the rest of the information is legible.*

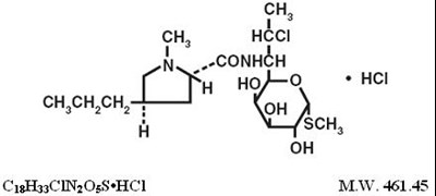
Chemical Structure - clindamycin str

Chemical Structure - clindamycin str

* The product label images have been analyzed using a combination of traditional computing and machine learning techniques. It should be noted that the descriptions provided may not be entirely accurate as they are experimental in nature. Use the information in this page at your own discretion and risk.