Product Images Dantrolene Sodium

View Photos of Packaging, Labels & Appearance

Product Label Images

The following 2 images provide visual information about the product associated with Dantrolene Sodium NDC 0904-7211 by Major Pharmaceuticals, such as packaging, labeling, and the appearance of the drug itself. This resource could be helpful for medical professionals, pharmacists, and patients seeking to verify medication information and ensure they have the correct product.

carton label - 90414D2F 7B2C 47F9 A096 2E7B7DD052DE 00

carton label - 90414D2F 7B2C 47F9 A096 2E7B7DD052DE 00

This is a description of a medication called Dantrolene Sodium, which comes in capsule form and is used as a peripheral skeletal muscle relaxant. The medication is Rx-only and is supplied in a unit dose of 30 capsules. The NDC number for this medication is 0904-7211-04 and it is produced by the company MAJOR. The rest of the text contains errors and is unreadable.*

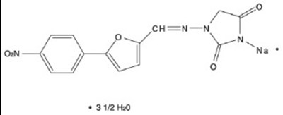
Chemical Structure - dantrolene sodium capsules 1

Chemical Structure - dantrolene sodium capsules 1

* The product label images have been analyzed using a combination of traditional computing and machine learning techniques. It should be noted that the descriptions provided may not be entirely accurate as they are experimental in nature. Use the information in this page at your own discretion and risk.