Product Images Oxaliplatin

View Photos of Packaging, Labels & Appearance

Product Label Images

The following 6 images provide visual information about the product associated with Oxaliplatin NDC 0955-1731 by Winthrop U.s, A Business Of Sanofi-aventis U.s. Llc, such as packaging, labeling, and the appearance of the drug itself. This resource could be helpful for medical professionals, pharmacists, and patients seeking to verify medication information and ensure they have the correct product.

Figure 1 - oxaliplatin premier 01

Figure 1 - oxaliplatin premier 01

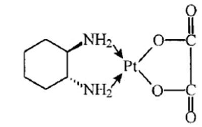
Chemical Structure - oxaliplatin premier 02

Chemical Structure - oxaliplatin premier 02

This text appears to be a report or analysis of DFS (disease-free survival) probability in patients. It includes a graph showing the probability of DFS over time, with hazard ratio and logrank test results. The table below the graph shows the number of events and patients at risk in different arms. There are also percentages and numbers indicating how many patients experienced an event in each arm.*

Figure 2 - oxaliplatin premier 03

Figure 2 - oxaliplatin premier 03

This appears to be a graph or chart displaying the probability of DFS (Disease-Free Survival) over a period of time (measured in months). The graph also displays the hazard ratio and a Logrank Test probability. Two treatment arms are compared, FOLFOX4 and LV5FU2, both for the DUKES C cancer stage. The probability of DFS ranges from 0 to 0.9 with decreasing probability as time passes. The specific units of measurement and the exact nature of the study are not available.*

Figure 3 - oxaliplatin premier 04

Figure 3 - oxaliplatin premier 04

The text describes a graph showing the median survival rate of patients taking ELOXATIN and 5-FUILV over a period of 24 months. The percentage of patients who survived is shown on the vertical axis, while the months are shown on the horizontal axis. The graph compares this treatment to another one called irinotecan plus 5-FUILV. The log rank test shows that Eloxatin plus 5-FUILV is superior to irinotecan plus 5-FUILV.*

Figure 4 - oxaliplatin premier 05

Figure 4 - oxaliplatin premier 05

This description is for OXALIplatin injection with a dosage of 50 mg/10 mL that should be administered through intravenous infusion. The medication is a cytotoxic agent, and it is not recommended to be mixed or added to any solution that contains sodium chloride/chloride. Use of OXALIplatin should be based on the full prescribing information. The document also contains phone numbers and addresses for the manufacturer.*

PRINCIPAL DISPLAY PANEL - 10 mL Vial Carton - oxaliplatin premier 06

PRINCIPAL DISPLAY PANEL - 10 mL Vial Carton - oxaliplatin premier 06

This is a description of a medication with the name Oxaliplatin injection. The warning of the medication indicates that it is a cytotoxic agent, and the instructions recommend not adding or mixing it with sodium chloride or chloride-containing substances. The medication is an intravenous infusion. The package size is 100 mg/ 20 ml and 5 mg/ml, and the manufacturer is PremierPro RX.*

* The product label images have been analyzed using a combination of traditional computing and machine learning techniques. It should be noted that the descriptions provided may not be entirely accurate as they are experimental in nature. Use the information in this page at your own discretion and risk.