Product Images Amoxicillin

View Photos of Packaging, Labels & Appearance

Product Label Images

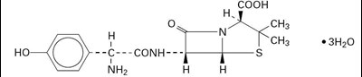
The following 2 images provide visual information about the product associated with Amoxicillin NDC 10544-096 by Blenheim Pharmacal, Inc., such as packaging, labeling, and the appearance of the drug itself. This resource could be helpful for medical professionals, pharmacists, and patients seeking to verify medication information and ensure they have the correct product.

4fac215d-figure-02 - 10544 096 21 76439 104 50 Rev1

4fac215d-figure-02 - 10544 096 21   76439 104 50 Rev1

Not available.*

4fac215d-figure-01 - 4fac215d figure 01

4fac215d-figure-01 - 4fac215d figure 01

* The product label images have been analyzed using a combination of traditional computing and machine learning techniques. It should be noted that the descriptions provided may not be entirely accurate as they are experimental in nature. Use the information in this page at your own discretion and risk.