Product Images Lisinopril

View Photos of Packaging, Labels & Appearance

Product Label Images

The following 2 images provide visual information about the product associated with Lisinopril NDC 10544-240 by Blenheim Pharmacal, Inc., such as packaging, labeling, and the appearance of the drug itself. This resource could be helpful for medical professionals, pharmacists, and patients seeking to verify medication information and ensure they have the correct product.

Bottle Label - 10544 240 30 68180 517 03

Bottle Label - 10544 240 30   68180 517 03

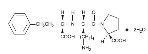
Lisinopril Structural Formula - 7d6c31e2 b5a4 4279 8013 a8dad37ea73b 01

Lisinopril Structural Formula - 7d6c31e2 b5a4 4279 8013 a8dad37ea73b 01