FDA Label for Phentermine Hydrochloride
View Indications, Usage & Precautions
Phentermine Hydrochloride Product Label
The following document was submitted to the FDA by the labeler of this product Blenheim Pharmacal, Inc.. The document includes published materials associated whith this product with the essential scientific information about this product as well as other prescribing information. Product labels may durg indications and usage, generic names, contraindications, active ingredients, strength dosage, routes of administration, appearance, warnings, inactive ingredients, etc.
Description
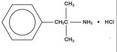
Phentermine hydrochloride USP has the chemical name of α, α-Dimethylphenethylamine hydrochloride. The structural formula is as follows:
Phentermine hydrochloride is a white, odorless, hygroscopic, crystalline powder which is soluble in water and lower alcohols, slightly soluble in chloroform and insoluble in ether.
Phentermine hydrochloride, an anorectic agent for oral administration, is available as a tablet containing 37.5 mg of phentermine hydrochloride (equivalent to 30 mg of phentermine base).
Phentermine hydrochloride tablets contain the inactive ingredients: crospovidone, dibasic calcium phosphate dihydrate, magnesium stearate, povidone, propylene glycol, FD&C Blue #1 Aluminum Lake, shellac glaze, and titanium dioxide.
Clinical Pharmacology
Phentermine hydrochloride is a sympathomimetic amine with pharmacologic activity similar to the prototype drugs of this class used in obesity, the amphetamines. Actions include central nervous system stimulation and elevation of blood pressure. Tachyphylaxis and tolerance have been demonstrated with all drugs of this class in which these phenomena have been looked for.
Drugs of this class used in obesity are commonly known as "anorectics" or "anorexigenics". It has not been established that the action of such drugs in treating obesity is primarily one of appetite suppression. Other central nervous system actions, or metabolic effects, may be involved, for example.
Adult obese subjects instructed in dietary management and treated with "anorectic" drugs, lose more weight on the average than those treated with placebo and diet, as determined in relatively short-term clinical trials.
The magnitude of increased weight loss of drug-treated patients over placebo-treated patients is only a fraction of a pound a week. The rate of weight loss is greatest in the first weeks of therapy for both drug and placebo subjects and tends to decrease in succeeding weeks. The possible origins of the increased weight loss due to the various drug effects are not established. The amount of weight loss associated with the use of an "anorectic" drug varies from trial to trial, and the increased weight loss appears to be related in part to variables other than the drugs prescribed, such as the physician-investigator; the population treated and the diet prescribed. Studies do not permit conclusions as to the relative importance of the drug and non-drug factors on weight loss.
The natural history of obesity is measured in years, whereas the studies cited are restricted to a few weeks' duration; thus, the total impact of drug-induced weight loss over that of diet alone must be considered clinically limited.
Indications And Usage
Phentermine hydrochloride is indicated as a short-term (a few weeks) adjunct in a regimen of weight reduction based on exercise, behavioral modification and caloric restriction in the management of exogenous obesity for patients with an initial body mass index ≥30 kg/m2, or ≥27 kg/m2 in the presence of other risk factors (e. g., hypertension, diabetes, hyperlipidemia).
Below is a chart of Body Mass Index (BMI) based on various heights and weights.
BMI is calculated by taking the patient's weight, in kilograms (kg), divided by the patient's height, in meters (m), squared. Metric conversions are as follows; pounds ÷ 2.2 = kg; inches × 0.0254 = meters.
| Height (feet, inches) | ||||||
|---|---|---|---|---|---|---|
| Weight (pounds) | 5'0" | 5'3" | 5'6" | 5'9" | 6'0" | 6'3" |
| 140 | 27 | 25 | 23 | 21 | 19 | 18 |
| 150 | 29 | 27 | 24 | 22 | 20 | 19 |
| 160 | 31 | 28 | 26 | 24 | 22 | 20 |
| 170 | 33 | 30 | 28 | 25 | 23 | 21 |
| 180 | 35 | 32 | 29 | 27 | 25 | 23 |
| 190 | 37 | 34 | 31 | 28 | 26 | 24 |
| 200 | 39 | 36 | 32 | 30 | 27 | 25 |
| 210 | 41 | 37 | 34 | 31 | 29 | 26 |
| 220 | 43 | 39 | 36 | 33 | 30 | 28 |
| 230 | 45 | 41 | 37 | 34 | 31 | 29 |
| 240 | 47 | 43 | 39 | 36 | 33 | 30 |
| 250 | 49 | 44 | 40 | 37 | 34 | 31 |
The limited usefulness of agents of this class (see CLINICAL PHARMACOLOGY) should be measured against possible risk factors inherent in their use such as those described below.
Contraindications
Advanced arteriosclerosis, cardiovascular disease, moderate to severe hypertension, hyperthyroidism, known hypersensitivity or idiosyncrasy to the sympathomimetic amines, glaucoma.
Agitated states.
Patients with a history of drug abuse.
During or within 14 days following the administration of monoamine oxidase inhibitors (hypertensive crises may result).
Warnings
Phentermine hydrochloride tablets are indicated only as short-term monotherapy for the management of exogenous obesity. The safety and efficacy of combination therapy with phentermine and any other drug products for weight loss, including selective serotonin reuptake inhibitors (e.g., fluoxetine, sertraline, fluvoxamine, paroxetine), have not been established. Therefore, coadministration of these drug products for weight loss is not recommended.
Primary Pulmonary Hypertension (PPH) – a rare frequently fatal disease of the lungs – has been reported to occur in patients receiving a combination of phentermine with fenfluramine or dexfenfluramine. The possibility of an association between PPH and the use of phentermine alone cannot be ruled out; there have been rare cases of PPH in patients who reportedly have taken phentermine alone. The initial symptom of PPH is usually dyspnea. Other initial symptoms include: angina pectoris, syncope or lower extremity edema. Patients should be advised to report immediately any deterioration in exercise tolerance. Treatment should be discontinued in patients who develop new, unexplained symptoms of dyspnea, angina pectoris, syncope or lower extremity edema.
General
Caution is to be exercised in prescribing phentermine hydrochloride for patients with even mild hypertension.
Insulin requirements in diabetes mellitus may be altered in association with the use of phentermine hydrochloride and the concomitant dietary regimen.
Phentermine hydrochloride may decrease the hypotensive effect of guanethidine.
The least amount feasible should be prescribed or dispensed at one time in order to minimize the possibility of overdosage.
Nursing Mothers
Because of the potential for serious adverse reactions in nursing infants, a decision should be made whether to discontinue nursing or to discontinue the drug, taking into account the importance of the drug to the mother.
Pediatric Use
Safety and effectiveness in pediatric patients have not been established.
Adverse Reactions
Cardiovascular: Primary pulmonary hypertension and/or regurgitant cardiac valvular disease (see WARNINGS), palpitation, tachycardia, elevation of blood pressure.
Central Nervous System: Overstimulation, restlessness, dizziness, insomnia, euphoria, dysphoria, tremor, headache; rarely psychotic episodes at recommended doses.
Gastrointestinal: Dryness of the mouth, unpleasant taste, diarrhea, constipation, other gastrointestinal disturbances.
Allergic: Urticaria.
Endocrine: Impotence, changes in libido.
Overdosage
Manifestations of acute overdosage with phentermine include restlessness, tremor, hyperreflexia, rapid respiration, confusion, assaultiveness, hallucinations, panic states. Fatigue and depression usually follow the central stimulation. Cardiovascular effects include arrhythmia, hypertension or hypotension, and circulatory collapse. Gastrointestinal symptoms include nausea, vomiting, diarrhea and abdominal cramps. Fatal poisoning usually terminates in convulsions and coma.
Management of acute phentermine intoxication is largely symptomatic and includes lavage and sedation with a barbiturate. Experience with hemodialysis or peritoneal dialysis is inadequate to permit recommendations in this regard. Acidification of the urine increases phentermine excretion. Intravenous phentolamine (Regitine®, CIBA) has been suggested for possible acute, severe hypertension, if this complicates phentermine overdosage.
How Supplied
Phentermine hydrochloride tablets USP 37.5 mg (equivalent to 30 mg phentermine base) are white with blue specks, oval shaped, scored on one side and debossed MP 273 on the other side.
| Bottles of 30 | NDC 53489-406-07 |
| Bottles of 60 | NDC 53489-406-06 |
| Bottles of 100 | NDC 53489-406-01 |
| Bottles of 250 | NDC 53489-406-03 |
| Bottles of 500 | NDC 53489-406-05 |
| Bottles of 1000 | NDC 53489-406-10 |
Package Label.Principal Display Panel
10544-602-30 Bottle Label
* Please review the disclaimer below.
