FDA Label for Memantine Hydrochloride
View Indications, Usage & Precautions
- 1 INDICATIONS AND USAGE
- 2.1 RECOMMENDED DOSING
- 2.2 SWITCHING FROM MEMANTINE HYDROCHLORIDE TABLETS TO MEMANTINE HYDROCHLORIDE EXTENDED-RELEASE CAPSULES
- 2.3 DOSING IN PATIENTS WITH RENAL IMPAIRMENT
- 3 DOSAGE FORMS AND STRENGTHS
- 4 CONTRAINDICATIONS
- 5.1 GENITOURINARY CONDITIONS
- 6.1 CLINICAL TRIALS EXPERIENCE
- ADVERSE REACTIONS LEADING TO DISCONTINUATION
- MOST COMMON ADVERSE REACTIONS
- SEIZURE
- 6.2 POSTMARKETING EXPERIENCE
- 7.1 DRUGS THAT MAKE URINE ALKALINE
- 7.2 USE WITH OTHER N-METHYL-D-ASPARTATE (NMDA) ANTAGONISTS
- RISK SUMMARY
- ANIMAL DATA
- 8.4 PEDIATRIC USE
- JUVENILE ANIMAL STUDY
- 8.5 GERIATRIC USE
- 8.6 RENAL IMPAIRMENT
- 8.7 HEPATIC IMPAIRMENT
- 10 OVERDOSAGE
- 11 DESCRIPTION
- 12.1 MECHANISM OF ACTION
- 12.2 PHARMACODYNAMICS
- 12.3 PHARMACOKINETICS
- ABSORPTION
- DISTRIBUTION
- METABOLISM
- EXCRETION
- ELDERLY
- GENDER
- RENAL IMPAIRMENT
- HEPATIC IMPAIRMENT
- USE WITH CHOLINESTERASE INHIBITORS
- EFFECT OF MEMANTINE ON THE METABOLISM OF OTHER DRUGS
- EFFECT OF OTHER DRUGS ON MEMANTINE
- DRUGS ELIMINATED VIA RENAL MECHANISMS
- DRUGS HIGHLY BOUND TO PLASMA PROTEINS
- CARCINOGENESIS
- MUTAGENESIS
- IMPAIRMENT OF FERTILITY
- 13.2 ANIMAL TOXICOLOGY AND/OR PHARMACOLOGY
- 14 CLINICAL STUDIES
- 16 HOW SUPPLIED/STORAGE AND HANDLING
- 17 PATIENT COUNSELING INFORMATION
- PATIENT INFORMATION
- PRINCIPAL DISPLAY PANEL – 7 MG
- PRINCIPAL DISPLAY PANEL – 14 MG
- PRINCIPAL DISPLAY PANEL – 21 MG
- PRINCIPAL DISPLAY PANEL – 28 MG
Memantine Hydrochloride Product Label
The following document was submitted to the FDA by the labeler of this product Rising Pharma Holdings, Inc.. The document includes published materials associated whith this product with the essential scientific information about this product as well as other prescribing information. Product labels may durg indications and usage, generic names, contraindications, active ingredients, strength dosage, routes of administration, appearance, warnings, inactive ingredients, etc.
1 Indications And Usage
Memantine hydrochloride extended-release capsules are indicated for the treatment of moderate to severe dementia of the Alzheimer’s type.
2.1 Recommended Dosing
The dosage of memantine hydrochloride extended-release capsules shown to be effective in a controlled clinical trial is 28 mg once daily.
The recommended starting dose of memantine hydrochloride extended-release capsules is 7 mg once daily. The dose should be increased in 7 mg increments to the recommended maintenance dose of 28 mg once daily. The minimum recommended interval between dose increases is one week. The dose should only be increased if the previous dose has been well tolerated. The maximum recommended dose is 28 mg once daily.
Memantine hydrochloride extended-release capsules can be taken with or without food. Memantine hydrochloride extended-release capsules can be taken intact or may be opened, sprinkled on applesauce, and thereby swallowed. The entire contents of each memantine hydrochloride extended-release capsule should be consumed; the dose should not be divided.
Except when opened and sprinkled on applesauce, as described above, memantine hydrochloride extended-release capsules should be swallowed whole. Memantine hydrochloride extended-release capsules should not be divided, chewed, or crushed.
If a patient misses a single dose of memantine hydrochloride extended-release capsules, that patient should not double up on the next dose. The next dose should be taken as scheduled. If a patient fails to take memantine hydrochloride extended-release capsules for several days, dosing may need to be resumed at lower doses and retitrated as described above.
2.2 Switching From Memantine Hydrochloride Tablets To Memantine Hydrochloride Extended-Release Capsules
Patients treated with memantine hydrochloride tablets may be switched to memantine hydrochloride extended-release capsules as follows:
It is recommended that a patient who is on a regimen of 10 mg twice daily of memantine hydrochloride tablets be switched to memantine hydrochloride extended-release 28 mg once daily capsules the day following the last dose of 10 mg memantine hydrochloride tablets. There is no study addressing the comparative efficacy of these 2 regimens.
In a patient with severe renal impairment, it is recommended that a patient who is on a regimen of 5 mg twice daily of memantine hydrochloride tablets be switched to memantine hydrochloride extended-release 14 mg once daily capsules the day following the last dose of 5 mg memantine hydrochloride tablets.
2.3 Dosing In Patients With Renal Impairment
In patients with severe renal impairment (creatinine clearance of 5 - 29 mL/min, based on the Cockcroft-Gault equation), the recommended maintenance dose (and maximum recommended dose) is 14 mg/day [see Clinical Pharmacology (12.3)].
3 Dosage Forms And Strengths
Memantine Hydrochloride Extended-Release Capsules are available containing 7 mg, 14 mg, 21 mg and 28 mg of memantine hydrochloride, USP.
• The 7 mg capsule is a No. 4, light tan opaque cap and light tan opaque body, hard-shell gelatin capsule filled with white to off-white beads. The capsule is printed with “R” on cap and “852” on body with black ink.
• The 14 mg capsule is a No. 4, light tan opaque cap and light green opaque body, hard-shell gelatin capsule filled with white to off-white beads. The capsule is printed with “R” on cap and “853” on body with black ink.
• The 21 mg capsule is a No. 3, white opaque cap and light green opaque body, hard-shell gelatin capsule filled with white to off-white beads. The capsule is printed with “R” on cap and “854” on body with black ink.
• The 28 mg capsule is a No. 2, light green opaque cap and light green opaque body, hard-shell gelatin capsule filled with white to off-white beads. The capsule is printed with “R” on cap and “855” on body with black ink.
4 Contraindications
Memantine hydrochloride extended-release capsules are contraindicated in patients with known hypersensitivity to memantine hydrochloride or to any excipients used in the formulation.
5.1 Genitourinary Conditions
Conditions that raise urine pH may decrease the urinary elimination of memantine resulting in increased plasma levels of memantine [see Drug Interactions (7.1)].
6.1 Clinical Trials Experience
Memantine hydrochloride extended-release capsules were evaluated in a double-blind placebo-controlled trial in which a total of 676 patients with moderate to severe dementia of the Alzheimer’s type (341 patients on memantine hydrochloride extended-release capsules 28 mg/day and 335 patients on placebo) were treated for up to 24 weeks.
Because clinical trials are conducted under widely varying conditions, adverse reaction rates observed in the clinical trials of a drug cannot be directly compared to rates in the clinical trials of another drug and may not reflect the rates observed in practice.
Adverse Reactions Leading To Discontinuation
In the placebo-controlled clinical trial of memantine hydrochloride extended-release capsules, the proportion of patients in the memantine hydrochloride extended-release capsules group and the placebo group who discontinued treatment due to adverse reactions was 10% and 6%, respectively. The most common adverse reaction that led to treatment discontinuation in the memantine hydrochloride extended-release capsules group was dizziness, at a rate of 1.5%.
Most Common Adverse Reactions
The most commonly observed adverse reactions seen in patients administered memantine hydrochloride extended-release capsules in the controlled clinical trial, defined as those occurring at a frequency of at least 5% in the memantine hydrochloride extended-release capsules group and at a frequency higher than placebo, were headache, diarrhea and dizziness.
Table 1 lists adverse reactions that were observed at an incidence of ≥ 2% in the memantine hydrochloride extended-release capsules group and occurred at a rate greater than placebo.
Adverse Reaction | Placebo (n = 335) % | Memantine Hydrochloride Extended-Release Capsules 28 mg (n = 341) % |
Gastrointestinal Disorders | ||
Diarrhea | 4 | 5 |
Constipation | 1 | 3 |
Abdominal pain | 1 | 2 |
Vomiting | 1 | 2 |
Infections and Infestations | ||
Influenza | 3 | 4 |
Investigations | ||
Weight, increased | 1 | 3 |
Musculoskeletal and Connective Tissue Disorders | ||
Back pain | 1 | 3 |
Nervous System Disorders | ||
Headache | 5 | 6 |
Dizziness | 1 | 5 |
Somnolence | 1 | 3 |
Psychiatric Disorders | ||
Anxiety | 3 | 4 |
Depression | 1 | 3 |
Aggression | 1 | 2 |
Renal and Urinary Disorders | ||
Urinary incontinence | 1 | 2 |
Vascular Disorders | ||
Hypertension | 2 | 4 |
Hypotension | 1 | 2 |
Seizure
Memantine has not been systematically evaluated in patients with a seizure disorder. In clinical trials of memantine, seizures occurred in 0.3% of patients treated with memantine and 0.6% of patients treated with placebo.
6.2 Postmarketing Experience
The following adverse reactions have been identified during post-approval use of memantine. Because these reactions are reported voluntarily from a population of uncertain size, it is not always possible to reliably estimate their frequency or establish a causal relationship to drug exposure. These reactions include:
Blood and Lymphatic System Disorders: agranulocytosis, leukopenia (including neutropenia), pancytopenia, thrombocytopenia, thrombotic thrombocytopenic purpura.
Cardiac Disorders: cardiac failure congestive.
Gastrointestinal Disorders: pancreatitis.
Hepatobiliary Disorders: hepatitis.
Psychiatric Disorders: suicidal ideation.
Renal and Urinary Disorders: acute renal failure (including increased creatinine and renal insufficiency).
Skin Disorders: Stevens Johnson syndrome.
7.1 Drugs That Make Urine Alkaline
The clearance of memantine was reduced by about 80% under alkaline urine conditions at pH 8. Therefore, alterations of urine pH towards the alkaline condition may lead to an accumulation of the drug with a possible increase in adverse effects. Urine pH is altered by diet, drugs (e.g., carbonic anhydrase inhibitors, sodium bicarbonate) and clinical state of the patient (e.g., renal tubular acidosis or severe infections of the urinary tract). Hence, memantine should be used with caution under these conditions.
7.2 Use With Other N-Methyl-D-Aspartate (Nmda) Antagonists
The combined use of memantine hydrochloride extended-release capsules with other NMDA antagonists (amantadine, ketamine, and dextromethorphan) has not been systematically evaluated and such use should be approached with caution.
Risk Summary
There are no adequate data on the developmental risk associated with the use of memantine hydrochloride extended-release capsules in pregnant women.
Adverse developmental effects (decreased body weight and skeletal ossification) were observed in the offspring of rats administered memantine during pregnancy at doses associated with minimal maternal toxicity. These doses are higher than those used in humans at the maximum recommended daily dose of memantine hydrochloride extended-release capsules [see Data].
In the U.S. general population, the estimated background risk of major birth defects and miscarriage in clinically recognized pregnancies is 2-4% and 15-20%, respectively. The background risk of major birth defects and miscarriage for the indicated population is unknown.
There are no data on the presence of memantine in human milk, the effects on the breastfed infant, or the effects of memantine hydrochloride extended-release capsules on milk production.
The developmental and health benefits of breastfeeding should be considered along with the mother’s clinical need for memantine hydrochloride extended-release capsules and any potential adverse effects on the breastfed infant from memantine hydrochloride extended-release capsules or from the underlying maternal condition.
Animal Data
Oral administration of memantine (0, 2, 6, or 18 mg/kg/day) to rats during the period of organogenesis resulted in decreased skeletal ossification in fetuses at the highest dose tested. The higher no-effect dose for adverse developmental effects (6 mg/kg) is 2 times the maximum recommended human daily dose (MRHD) of memantine hydrochloride extended-release capsules (28 mg) on a body surface area (mg/m2) basis.
Oral administration of memantine to rabbits (0, 3, 10, or 30 mg/kg/day) during the period of organogenesis resulted in no adverse developmental effects. The highest dose tested is approximately 20 times the MRHD of memantine hydrochloride extended-release capsules on a mg/m2 basis.
In rats, memantine (0, 2, 6, or 18 mg/kg/day) was administered orally prior to and throughout mating and, in females, through the period of organogenesis or continuing throughout lactation to weaning. Decreased skeletal ossification in fetuses and decreased body weight in pups were observed at the highest dose tested. The higher no-effect dose for adverse developmental effects (6 mg/kg/day) is 2 times the MRHD of memantine hydrochloride extended-release capsules on a mg/m2 basis.
Oral administration of memantine (0, 2, 6, or 18 mg/kg/day) to rats from late gestation throughout lactation to weaning, resulted in decreased pup weights at the highest dose tested. The higher no-effect dose (6 mg/kg/day) is approximately 2 times the MRHD of memantine hydrochloride extended-release capsules on a mg/m2 basis.
8.4 Pediatric Use
Safety and effectiveness in pediatric patients have not been established.
Memantine failed to demonstrate efficacy in two 12-week controlled clinical studies of 578 pediatric patients aged 6-12 years with autism spectrum disorders (ASD), including autism, Asperger’s disorder and Pervasive Development Disorder - Not Otherwise Specified (PDD-NOS). Memantine has not been studied in pediatric patients under 6 years of age or over 12 years of age. Memantine treatment was initiated at 3 mg/day and the dose was escalated to the target dose (weight-based) by week 6. Oral doses of memantine 3, 6, 9, or 15 mg extended-release capsules were administered once daily to patients with weights < 20 kg, 20-39 kg, 40-59 kg and ≥ 60 kg, respectively.
In a randomized, 12-week double-blind, placebo-controlled parallel study (Study A) in patients with autism, there was no statistically significant difference in the Social Responsiveness Scale (SRS) total raw score between patients randomized to memantine (n = 54) and those randomized to placebo (n = 53). In a 12-week responder-enriched randomized withdrawal study (Study B) in 471 patients with ASD, there was no statistically significant difference in the loss of therapeutic response rates between patients randomized to remain on full-dose memantine (n = 153) and those randomized to switch to placebo (n = 158).
The overall safety profile of memantine in pediatric patients was generally consistent with the known safety profile in adults [see Adverse Reactions (6.1)].
In Study A, the adverse reactions in the memantine group (n = 56) that were reported in at least 5% of patients and at least twice the frequency of the placebo group (N = 58) are listed in Table 2.
Adverse Reaction | Memantine N = 56 | Placebo N = 58 |
Cough | 8.9% | 3.4% |
Influenza | 7.1% | 3.4% |
Rhinorrhea | 5.4% | 0% |
Agitation | 5.4% | 1.7% |
Discontinuations due to Adverse Reactionsa | ||
Aggression | 3.6% | 1.7% |
Irritability | 1.8% | 3.4% |
aReported adverse reactions leading to discontinuation in more than one patient in either treatment group.
The adverse reactions that were reported in at least 5% of patients in the 12-48 week open-label study to identify responders to enroll in Study B are listed in Table 3.
Adverse Reaction | Memantine N = 903 |
Headache | 8.0% |
Nasopharyngitis | 6.3% |
Pyrexia | 5.8% |
Irritability | 5.4% |
Discontinuations due to Adverse Reactionsa | |
Irritability | 1.2% |
Aggression | 1.0% |
aAt least 1% incidence of adverse reactions leading to premature discontinuation.
In the randomized withdrawal study (Study B), the adverse reaction in patients randomized to placebo (n = 160) and reported in at least 5% of patients and twice that of the full-dose memantine treatment group (n = 157) was irritability (5.0% vs 2.5%).
Juvenile Animal Study
In a juvenile animal study, male and female juvenile rats were administered memantine (15, 30, and 45 mg/kg/day) starting on postnatal day (PND) 14 through PND 70. Body weights were reduced at 45 mg/kg/day. Delays in sexual maturation were noted in male and female rats at doses ≥ 30 mg/kg/day. Memantine induced neuronal lesions in several areas of the brain on PND 15 and 17 at doses ≥ 30 mg/kg/day. Behavioral toxicity (decrease percent of auditory startle habituation) was noted for animals in the 45 mg/kg/day dose group. The 15 mg/kg/day dose was considered the No-Observed-Adverse-Effect-Level (NOAEL) for this study.
In a second juvenile rat toxicity study, male and female juvenile rats were administered memantine (1, 3, 8, 15, 30, and 45 mg/kg/day) starting on postnatal day (PND) 7 through PND 70. Due to early memantine-related mortality, the 30 and 45 mg/kg/day dose groups were terminated without further evaluation. Memantine induced apoptosis or neuronal degeneration in several areas of the brain on PND 8, 10, and 17 at a dose of 15 mg/kg/day. The NOAEL for apoptosis and neuronal degeneration was 8 mg/kg/day. Behavioral toxicity (effects on motor activity, auditory startle habituation, and learning and memory) was noted at doses ≥ 3 mg/kg/day during treatment, but was not seen after drug discontinuation. Therefore, the 1 mg/kg/day dose was considered the NOAEL for the neurobehavioral effect in this study.
8.5 Geriatric Use
The majority of people with Alzheimer’s disease are 65 years of age and older. In the clinical study of memantine hydrochloride extended-release, the mean age of patients was approximately 77 years; over 91% of patients were 65 years and older, 67% were 75 years and older, and 14% were at or above 85 years of age. The efficacy and safety data presented in the clinical trial sections were obtained from these patients. There were no clinically meaningful differences in most adverse reactions reported by patient groups ≥ 65 years old and < 65 years old.
8.6 Renal Impairment
No dosage adjustment is needed in patients with mild or moderate renal impairment. A dosage reduction is recommended in patients with severe renal impairment [see Dosage and Administration (2.3) and Clinical Pharmacology (12.3)].
8.7 Hepatic Impairment
No dosage adjustment is needed in patients with mild or moderate hepatic impairment. Memantine hydrochloride extended-release capsules were not studied in patients with severe hepatic impairment [see Clinical Pharmacology (12.3)].
10 Overdosage
Signs and symptoms most often accompanying overdosage with other formulations of memantine in clinical trials and from worldwide marketing experience, alone or in combination with other drugs and/or alcohol, include agitation, asthenia, bradycardia, confusion, coma, dizziness, ECG changes, increased blood pressure, lethargy, loss of consciousness, psychosis, restlessness, slowed movement, somnolence, stupor, unsteady gait, visual hallucinations, vertigo, vomiting, and weakness. The largest known ingestion of memantine worldwide was 2 grams in a patient who took memantine in conjunction with unspecified antidiabetic medications. This patient experienced coma, diplopia, and agitation, but subsequently recovered.
One patient participating in a memantine hydrochloride extended-release capsules clinical trial unintentionally took 112 mg of memantine hydrochloride extended-release capsules daily for 31 days and experienced an elevated serum uric acid, elevated serum alkaline phosphatase, and low platelet count.
Fatal outcome has been very rarely reported with memantine, and the relationship to memantine was unclear.
Because strategies for the management of overdose are continually evolving, it is advisable to contact a poison control center to determine the latest recommendations for the management of an overdose of any drug. As in any cases of overdose, general supportive measures should be utilized, and treatment should be symptomatic.
Elimination of memantine can be enhanced by acidification of urine.
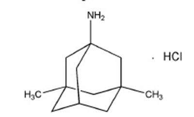
11 Description
Memantine hydrochloride extended-release capsules are an orally active NMDA receptor antagonist. The chemical name for memantine hydrochloride, USP is 3,5-Dimethyltricyclo[3.3.1.13,7]decan-1-amine hydrochloride with the following structural formula:
The molecular formula is C12H21N•HCl and the molecular weight is 215.76. Memantine hydrochloride, USP occurs as a white to off-white powder and is slightly soluble in water.
Memantine hydrochloride extended-release capsules are supplied for oral administration as 7 mg, 14 mg, 21 mg, and 28 mg capsules. Each capsule contains extended-release beads with the labeled amount of memantine hydrochloride and the following inactive ingredients: ethyl cellulose, ferric oxide yellow, gelatin, hydroxypropyl cellulose, hypromellose, sodium lauryl sulfate, sugar spheres (corn starch and sucrose), talc and titanium dioxide. The 7 mg and 14 mg capsules also contain ferric oxide red, and the 14 mg, 21 mg and 28 mg capsules also contain FD&C Blue No. 2.
In addition, the black imprinting ink contains ammonium hydroxide, black iron oxide, propylene glycol and shellac glaze.
12.1 Mechanism Of Action
Persistent activation of central nervous system N-methyl-D-aspartate (NMDA) receptors by the excitatory amino acid glutamate has been hypothesized to contribute to the symptomatology of Alzheimer’s disease. Memantine is postulated to exert its therapeutic effect through its action as a low to moderate affinity uncompetitive (open-channel) NMDA receptor antagonist which binds preferentially to the NMDA receptor-operated cation channels. There is no evidence that memantine prevents or slows neurodegeneration in patients with Alzheimer’s disease.
12.2 Pharmacodynamics
Memantine showed low to negligible affinity for GABA, benzodiazepine, dopamine, adrenergic, histamine and glycine receptors and for voltage-dependent Ca2+, Na+, or K+ channels. Memantine also showed antagonistic effects at the 5HT3 receptor with a potency similar to that for the NMDA receptor and blocked nicotinic acetylcholine receptors with one-sixth to one-tenth the potency.
In vitro studies have shown that memantine does not affect the reversible inhibition of acetylcholinesterase by donepezil, galantamine, or tacrine.
12.3 Pharmacokinetics
Memantine is well absorbed after oral administration and has linear pharmacokinetics over the therapeutic dose range. It is excreted predominantly unchanged in urine and has a terminal elimination half-life of about 60-80 hours. In a study comparing 28 mg once daily memantine hydrochloride extended-release capsules to 10 mg twice daily memantine hydrochloride tablets, the Cmax and AUC0-24 values were 48% and 33% higher for the extended-release dosage regimen, respectively.
Absorption
After multiple dose administration of memantine hydrochloride extended-release capsules, memantine peak concentrations occur around 9-12 hours post-dose. There is no difference in the absorption of memantine hydrochloride extended-release capsules when the capsule is taken intact or when the contents are sprinkled on applesauce.
There is no difference in memantine exposure, based on Cmax or AUC, for memantine hydrochloride extended-release capsules whether that drug product is administered with food or on an empty stomach. However, peak plasma concentrations are achieved about 18 hours after administration with food versus approximately 25 hours after administration on an empty stomach.
Distribution
The mean volume of distribution of memantine is 9-11 L/kg and the plasma protein binding is low (45%).
Metabolism
Memantine undergoes partial hepatic metabolism. The hepatic microsomal CYP450 enzyme system does not play a significant role in the metabolism of memantine.
Excretion
Memantine is excreted predominantly unchanged in the urine and has a terminal elimination half-life of about 60-80 hours. About 48% of administered drug is excreted unchanged in urine; the remainder is converted primarily to three polar metabolites which possess minimal NMDA receptor antagonistic activity: the N-glucuronide conjugate, 6-hydroxy-memantine, and 1-nitroso-deaminated memantine. A total of 74% of the administered dose is excreted as the sum of the parent drug and the N-glucuronide conjugate. Renal clearance involves active tubular secretion moderated by pH dependent tubular reabsorption.
Elderly
The pharmacokinetics of memantine in young and elderly subjects are similar.
Gender
Following multiple dose administration of memantine hydrochloride 20 mg daily, females had about 45% higher exposure than males, but there was no difference in exposure when body weight was taken into account.
Renal Impairment
Memantine pharmacokinetics were evaluated following single oral administration of 20 mg memantine hydrochloride in 8 subjects with mild renal impairment (creatinine clearance, CLcr, > 50 – 80 mL/min), 8 subjects with moderate renal impairment (CLcr 30 – 49 mL/min), 7 subjects with severe renal impairment (CLcr 5 – 29 mL/min) and 8 healthy subjects (CLcr > 80 mL/min) matched as closely as possible by age, weight and gender to the subjects with renal impairment. Mean AUC0-∞ increased by 4%, 60%, and 115% in subjects with mild, moderate, and severe renal impairment, respectively, compared to healthy subjects. The terminal elimination half-life increased by 18%, 41%, and 95% in subjects with mild, moderate, and severe renal impairment, respectively, compared to healthy subjects.
Hepatic Impairment
Memantine pharmacokinetics were evaluated following the administration of single oral doses of 20 mg in 8 subjects with moderate hepatic impairment (Child-Pugh Class B, score 7-9) and 8 subjects who were age-, gender-, and weight-matched to the hepatically-impaired subjects. There was no change in memantine exposure (based on Cmax and AUC) in subjects with moderate hepatic impairment as compared with healthy subjects. However, terminal elimination half-life increased by about 16% in subjects with moderate hepatic impairment as compared with healthy subjects.
Use With Cholinesterase Inhibitors
Coadministration of memantine with the AChE inhibitor donepezil did not affect the pharmacokinetics of either compound. Furthermore, memantine did not affect AChE inhibition by donepezil. In a 24-week controlled clinical study in patients with moderate to severe Alzheimer’s disease, the adverse reaction profile observed with a combination of memantine immediate-release and donepezil was similar to that of donepezil alone.
Effect Of Memantine On The Metabolism Of Other Drugs
In vitro studies conducted with marker substrates of CYP450 enzymes (CYP1A2, -2A6, -2C9, -2D6, -2E1, -3A4) showed minimal inhibition of these enzymes by memantine. In addition, in vitro studies indicate that at concentrations exceeding those associated with efficacy, memantine does not induce the cytochrome P450 isozymes CYP1A2, -2C9, -2E1 and -3A4/5. No pharmacokinetic interactions with drugs metabolized by these enzymes are expected.
Pharmacokinetic studies evaluated the potential of memantine for interaction with warfarin and bupropion. Memantine did not affect the pharmacokinetics of the CYP2B6 substrate bupropion or its metabolite hydroxybupropion. Furthermore, memantine did not affect the pharmacokinetics or pharmacodynamics of warfarin as assessed by the prothrombin INR.
Effect Of Other Drugs On Memantine
Memantine is predominantly renally eliminated, and drugs that are substrates and/or inhibitors of the CYP450 system are not expected to alter the metabolism of memantine.
Drugs Eliminated Via Renal Mechanisms
Because memantine is eliminated in part by tubular secretion, coadministration of drugs that use the same renal cationic system, including hydrochlorothiazide (HCTZ), triamterene (TA), metformin, cimetidine, ranitidine, quinidine, and nicotine, could potentially result in altered plasma levels of both agents. However, coadministration of memantine and HCTZ/TA did not affect the bioavailability of either memantine or TA, and the bioavailability of HCTZ decreased by 20%. In addition, coadministration of memantine with the antihyperglycemic drug Glucovance® (glyburide and metformin hydrochloride) did not affect the pharmacokinetics of memantine, metformin and glyburide. Furthermore, memantine did not modify the serum glucose lowering effect of Glucovance®, indicating the absence of a pharmacodynamic interaction.
Drugs Highly Bound To Plasma Proteins
Because the plasma protein binding of memantine is low (45%), an interaction with drugs that are highly bound to plasma proteins, such as warfarin and digoxin, is unlikely.
Carcinogenesis
There was no evidence of carcinogenicity in a 113-week oral study in mice at doses up to 40 mg/kg/day (7 times the maximum recommended human dose [MRHD] on a mg/m2 basis). There was also no evidence of carcinogenicity in rats orally dosed at up to 40 mg/kg/day for 71 weeks followed by 20 mg/kg/day (14 and 7 times the MRHD on a mg/m2 basis, respectively) through 128 weeks.
Mutagenesis
Memantine produced no evidence of genotoxic potential when evaluated in the in vitro S. typhimurium or E. coli reverse mutation assay, an in vitro chromosomal aberration test in human lymphocytes, an in vivo cytogenetics assay for chromosome damage in rats, and the in vivo mouse micronucleus assay. The results were equivocal in an in vitro gene mutation assay using Chinese hamster V79 cells.
Impairment Of Fertility
No impairment of fertility or reproductive performance was seen in rats administered up to 18 mg/kg/day (6 times the MRHD on a mg/m2 basis) orally from 14 days prior to mating through gestation and lactation in females, or for 60 days prior to mating in males.
13.2 Animal Toxicology And/Or Pharmacology
Memantine induced neuronal lesions (vacuolation and necrosis) in the multipolar and pyramidal cells in cortical layers III and IV of the posterior cingulate and retrosplenial neocortices in rats, similar to those which are known to occur in rodents administered other NMDA receptor antagonists. Lesions were seen after a single dose of memantine. In a study in which rats were given daily oral doses of memantine for 14 days, the no-effect dose for neuronal necrosis was 4 times the maximum recommended human dose (MRHD of 28 mg/day) on a mg/m2 basis.
In acute and repeat-dose neurotoxicity studies in female rats, oral administration of memantine and donepezil in combination resulted in increased incidence, severity, and distribution of neurodegeneration compared with memantine alone. The no-effect levels of the combination were associated with clinically relevant plasma memantine and donepezil exposures.
The relevance of these findings to humans is unknown.
14 Clinical Studies
The effectiveness of memantine hydrochloride extended-release capsules as a treatment for patients with moderate to severe Alzheimer’s disease was based on the results of a double-blind, placebo-controlled trial.
24-week Study of Memantine Hydrochloride Extended-Release Capsules: This was a randomized double-blind clinical investigation in outpatients with moderate to severe Alzheimer’s disease (diagnosed by DSM-IV criteria and NINCDS-ADRDA criteria for AD with a Mini Mental State Examination (MMSE) score ≥ 3 and ≤ 14 at Screening and Baseline) receiving acetylcholinesterase inhibitor (AChEI) therapy at a stable dose for 3 months prior to screening. The mean age of patients participating in this trial was 76.5 years with a range of 49-97 years. Approximately 72% of patients were female and 94% were Caucasian.
Study Outcome Measures: The effectiveness of memantine hydrochloride extended-release capsules was evaluated in this study using the co-primary efficacy parameters of Severe Impairment Battery (SIB) and the Clinician’s Interview-Based Impression of Change (CIBIC-Plus).
The ability of memantine hydrochloride extended-release capsules to improve cognitive performance was assessed with the Severe Impairment Battery (SIB), a multi-item instrument that has been validated for the evaluation of cognitive function in patients with moderate to severe dementia. The SIB examines selected aspects of cognitive performance, including elements of attention, orientation, language, memory, visuospatial ability, construction, praxis, and social interaction. The SIB scoring range is from 0 to 100, with lower scores indicating greater cognitive impairment.
The ability of memantine hydrochloride extended-release capsules to produce an overall clinical effect was assessed using a Clinician’s Interview Based Impression of Change that required the use of caregiver information, the CIBIC-Plus. The CIBIC-Plus is not a single instrument and is not a standardized instrument like the ADCS-ADL or SIB. Clinical trials for investigational drugs have used a variety of CIBIC formats, each different in terms of depth and structure. As such, results from a CIBIC-Plus reflect clinical experience from the trial or trials in which it was used and cannot be compared directly with the results of CIBIC-Plus evaluations from other clinical trials. The CIBIC-Plus used in this trial was a structured instrument based on a comprehensive evaluation at baseline and subsequent time-points of four domains: general (overall clinical status), functional (including activities of daily living), cognitive, and behavioral. It represents the assessment of a skilled clinician using validated scales based on his/her observation during an interview with the patient, in combination with information supplied by a caregiver familiar with the behavior of the patient over the interval rated. The CIBIC-Plus is scored as a seven point categorical rating, ranging from a score of 1, indicating “marked improvement” to a score of 4, indicating “no change” to a score of 7, indicating “marked worsening.” The CIBIC-Plus has not been systematically compared directly to assessments not using information from caregivers (CIBIC) or other global methods.
Study Results: In this study, 677 patients were randomized to one of the following 2 treatments: memantine hydrochloride extended-release capsules 28 mg/day or placebo while still receiving an AChEI (either donepezil, galantamine, or rivastigmine).
Effects on Severe Impairment Battery (SIB): Figure 1 shows the time course for the change from baseline in SIB score for the two treatment groups completing the 24 weeks of the study. At 24 weeks of treatment, the mean difference in the SIB change scores for the memantine hydrochloride extended-release capsules 28 mg/AChEI-treated (combination therapy) patients compared to the patients on placebo/AChEI (monotherapy) was 2.6 units. Using an LOCF analysis, memantine hydrochloride extended-release capsules 28 mg/AChEI treatment was statistically significantly superior to placebo/AChEI.
Figure 1: Time course of the change from baseline in SIB score for patients completing 24 weeks of treatment
Figure 2 shows the cumulative percentages of patients from each treatment group who had attained at least the measure of improvement in SIB score shown on the X axis. The curves show that both patients assigned to memantine hydrochloride extended-release capsules 28 mg/AChEI and placebo/AChEI have a wide range of responses, but that the memantine hydrochloride extended-release capsules 28 mg/AChEI group is more likely to show an improvement or a smaller decline.
Figure 2: Cumulative percentage of patients completing 24 weeks of double-blind treatment with specified changes from baseline in SIB scores
Figure 3 shows the time course for the CIBIC-Plus score for patients in the two treatment groups completing the 24 weeks of the study. At 24 weeks of treatment, the mean difference in the CIBIC-Plus scores for the memantine hydrochloride extended-release capsules 28 mg/AChEI-treated patients compared to the patients on placebo/AChEI was 0.3 units. Using an LOCF analysis, memantine hydrochloride extended-release capsules 28 mg/AChEI treatment was statistically significantly superior to placebo/AChEI.
Figure 3: Time course of the CIBIC-Plus score for patients completing 24 weeks of treatment
Figure 4 is a histogram of the percentage distribution of CIBIC-Plus scores attained by patients assigned to each of the treatment groups who completed 24 weeks of treatment.
Figure 4: Distribution of CIBIC-Plus ratings at week 24
16 How Supplied/Storage And Handling
Memantine Hydrochloride Extended-Release Capsules are available containing 7 mg, 14 mg, 21 mg and 28 mg of memantine hydrochloride, USP.
The 7 mg capsule is a No. 4, light tan opaque cap and light tan opaque body, hard-shell gelatin capsule filled with white to off-white beads. The capsule is printed with “R” on cap and “852” on body with black ink. They are available as follows:
NDC 16571-852-03
bottles of 30 capsules
The 14 mg capsule is a No. 4, light tan opaque cap and light green opaque body, hard-shell gelatin capsule filled with white to off-white beads. The capsule is printed with “R” on cap and “853” on body with black ink. They are available as follows:
NDC 16571-853-03
bottles of 30 capsules
NDC 16571-853-09
bottles of 90 capsules
The 21 mg capsule is a No. 3, white opaque cap and light green opaque body, hard-shell gelatin capsule filled with white to off-white beads. The capsule is printed with “R” on cap and “854” on body with black ink. They are available as follows:
NDC 16571-854-03
bottles of 30 capsules
The 28 mg capsule is a No. 2, light green opaque cap and light green opaque body, hard-shell gelatin capsule filled with white to off-white beads. The capsule is printed with “R” on cap and “855” on body with black ink. They are available as follows:
NDC 16571-855-03
bottles of 30 capsules
NDC 16571-855-09
bottles of 90 capsules
Storage: Store at 20° to 25°C (68° to 77°F). [See USP Controlled Room Temperature.]
Dispense in a tight, light-resistant container using a child-resistant closure.
17 Patient Counseling Information
Advise the patient to read the FDA-approved patient labeling (Patient Information).
• To assure safe and effective use of memantine hydrochloride extended-release capsules, the information and instructions provided in the patient information section should be discussed with patients and caregivers.
• Instruct patients and caregivers to take memantine hydrochloride extended-release capsules only once per day, as prescribed.
• Instruct patients and caregivers that memantine hydrochloride extended-release capsules be swallowed whole. Alternatively, memantine hydrochloride extended-release capsules may be opened and sprinkled on applesauce and the entire contents should be consumed. The capsules should not be divided, chewed or crushed.
• Warn patients not to use any memantine hydrochloride extended-release capsules that are damaged or show signs of tampering.
• If a patient misses a single dose of memantine hydrochloride extended-release capsules, that patient should not double up on the next dose. The next dose should be taken as scheduled. If a patient fails to take memantine hydrochloride extended-release capsules for several days, dosing should not be resumed without consulting that patient’s healthcare professional.
• Advise patients and caregivers that memantine hydrochloride extended-release capsules may cause headache, diarrhea, and dizziness.
The brands listed are trademarks of their respective owners.
Mfg. Lic. No.: G/1430
Manufactured by:
Unique Pharmaceutical Laboratories
(A Div. of J. B. Chemicals &
Pharmaceuticals Ltd.),
Mumbai 400 030, India
Manufactured for:
Rising Pharma Holdings, Inc.
East Brunswick, NJ 08816
Revised: 03/2025
PIR85509-01
141053
Patient Information
Memantine Hydrochloride Extended-Release Capsules
(mem' an teen hye" droe klor' ide)
Read this Patient Information that comes with memantine hydrochloride extended-release capsules before you start taking them and each time you get a refill. There may be new information. This information does not take the place of talking to your doctor about your medical condition or your treatment.
What are memantine hydrochloride extended-release capsules?
Memantine hydrochloride extended-release capsules are a prescription medicine used for the treatment of moderate to severe dementia in people with Alzheimer’s disease. Memantine hydrochloride extended-release capsules belong to a class of medicines called N-methyl-D-aspartate (NMDA) inhibitors.
It is not known if memantine hydrochloride extended-release capsules are safe and effective in children.
Who should not take memantine hydrochloride extended-release capsules?
Do not take memantine hydrochloride extended-release capsules if you are allergic to memantine or any of the other ingredients in memantine hydrochloride extended-release capsules. See the end of this leaflet for a complete list of ingredients in memantine hydrochloride extended-release capsules.
What should I tell my doctor before taking memantine hydrochloride extended-release capsules?
Before you take memantine hydrochloride extended-release capsules, tell your doctor if you:
• have or have had seizures
• have or have had problems passing urine
• have or have had bladder or kidney problems
• have liver problems
• have any other medical conditions
• are pregnant or plan to become pregnant. It is not known if memantine will harm your unborn baby.
• are breastfeeding or plan to breastfeed. It is not known if memantine passes into your breast milk. Talk to your doctor about the best way to feed your baby if you take memantine hydrochloride extended-release capsules.
Tell your doctor about all the medicines you take, including prescription and non-prescription medicines, vitamins, and herbal supplements.
Taking memantine hydrochloride extended-release capsules with certain other medicines may affect each other. Taking memantine hydrochloride extended-release capsules with other medicines can cause serious side effects.
Especially tell your doctor if you take:
• other NMDA antagonists such as amantadine, ketamine, and dextromethorphan
• medicines that make your urine alkaline such as carbonic anhydrase inhibitors and sodium bicarbonate
Ask your doctor or pharmacist for a list of these medicines, if you are not sure.
Know the medicines you take. Keep a list of them to show your doctor and pharmacist when you get a new medicine.
How should I take memantine hydrochloride extended-release capsules?
• Your doctor will tell you how many memantine hydrochloride extended-release capsules to take and when to take them.
• Your doctor may change your dose if needed.
• Memantine hydrochloride extended-release capsules may be taken with food or without food.
• Memantine hydrochloride extended-release capsules may be opened and sprinkled on applesauce before swallowing, but the contents of the entire capsule should be taken and the dose should not be divided. Except when opened and sprinkled on applesauce, memantine hydrochloride extended-release capsules must be swallowed whole and never crushed, divided or chewed.
• Do not use any memantine hydrochloride extended-release capsules that are damaged or show signs of tampering.
• If you are currently taking another formulation of memantine, talk to your healthcare professional about how to switch to memantine hydrochloride extended-release capsules.
• If you forget to take one dose of memantine hydrochloride extended-release capsules, do not double up on the next dose. You should take only the next dose as scheduled.
• If you have forgotten to take memantine hydrochloride extended-release capsules for several days, you should not take the next dose until you talk to your doctor.
• If you take too many memantine hydrochloride extended-release capsules, call your doctor or poison control center at 1-800-222-1222, or go to the nearest hospital emergency room right away.
What are the possible side effects of memantine hydrochloride extended-release capsules?
Memantine hydrochloride extended-release capsules may cause side effects, including:
The most common side effects of memantine hydrochloride extended-release capsules include:
• headache
• diarrhea
• dizziness
These are not all the possible side effects of memantine hydrochloride extended-release capsules. For more information, ask your doctor or pharmacist.
Call your doctor for medical advice about side effects. You may report side effects to FDA at 1-800-FDA-1088.
How should I store memantine hydrochloride extended-release capsules?
• Store memantine hydrochloride extended-release capsules at room temperature between 20° to 25°C (68° to 77°F).
Keep memantine hydrochloride extended-release capsules and all medicines out of the reach of children.
What are the ingredients in memantine hydrochloride extended-release capsules?
Active ingredient: memantine hydrochloride, USP
Inactive ingredients: ethyl cellulose, ferric oxide yellow, gelatin, hydroxypropyl cellulose, hypromellose, sodium lauryl sulfate, sugar spheres (corn starch and sucrose), talc and titanium dioxide. The 7 mg and 14 mg capsules also contain ferric oxide red, and the 14 mg, 21 mg and 28 mg capsules also contain FD&C Blue No. 2.
In addition, the black imprinting ink contains ammonium hydroxide, black iron oxide, propylene glycol and shellac glaze.
General information about the safe and effective use of memantine hydrochloride extended-release capsules:
Medicines are sometimes prescribed for purposes other than those listed in a Patient Information leaflet. Do not take memantine hydrochloride extended-release capsules for a condition for which they were not prescribed. Do not give memantine hydrochloride extended-release capsules to other people, even if they have the same condition. They may harm them.
This Patient Information leaflet summarizes the most important information about memantine hydrochloride extended-release capsules. If you would like more information, talk with your doctor. You can ask your doctor or pharmacist for information about memantine hydrochloride extended-release capsules that was written for healthcare professionals.
For more information about memantine hydrochloride extended-release capsules, call Rising Pharma Holdings, Inc. at 1-844-874-7464.
This Patient Information has been approved by the U.S. Food and Drug Administration.
Manufactured by:
Unique Pharmaceutical Laboratories
(A Div. of J. B. Chemicals &
Pharmaceuticals Ltd.),
Mumbai 400 030, India
Mfg. Lic. No.: G/1430
Manufactured for:
Rising Pharma Holdings, Inc.
East Brunswick, NJ 08816
Revised: 03/2025
PILR85509-01
141053
Principal Display Panel – 7 Mg
Rising Pharma Holdings, Inc.
NDC 16571-852-03
Memantine Hydrochloride Extended-Release Capsules
7 mg
30 Capsules
ONCE DAILY
Rx only
Principal Display Panel – 14 Mg
Rising Pharma Holdings, Inc.
NDC 16571-853-03
Memantine Hydrochloride Extended-Release Capsules
14 mg
30 Capsules
ONCE DAILY
Rx only
Principal Display Panel – 21 Mg
Rising Pharma Holdings, Inc.
NDC 16571-854-03
Memantine Hydrochloride Extended-Release Capsules
21 mg
30 Capsules
ONCE DAILY
Rx only
Principal Display Panel – 28 Mg
Rising Pharma Holdings, Inc.
NDC 16571-855-03
Memantine Hydrochloride Extended-Release Capsules
28 mg
30 Capsules
ONCE DAILY
Rx only
* Please review the disclaimer below.





