Product Images Fluocinolone Acetonide

View Photos of Packaging, Labels & Appearance

Product Label Images

The following 2 images provide visual information about the product associated with Fluocinolone Acetonide NDC 16590-097 by Stat Rx Usa Llc, such as packaging, labeling, and the appearance of the drug itself. This resource could be helpful for medical professionals, pharmacists, and patients seeking to verify medication information and ensure they have the correct product.

Label Image - FLUOCINOLONE 097 15 label

Label Image - FLUOCINOLONE 097 15 label

This appears to be a description of a medical product, specifically a cream containing the compound Fluocinolone Acetonide USP. The product is labeled as "Pacoossant," and also features the acronyms "STAT R USA" and "Gangte" several times. The product comes in individual containers, each labeled with a unique NDC number. However, there isn't enough information to determine the specific use of the product or any further details about its ingredients or indications.*

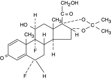
Structure Image - FLUOCINOLONE 097 15 structure

Structure Image - FLUOCINOLONE 097 15 structure

* The product label images have been analyzed using a combination of traditional computing and machine learning techniques. It should be noted that the descriptions provided may not be entirely accurate as they are experimental in nature. Use the information in this page at your own discretion and risk.