FDA Label for Morphine Sulfate
View Indications, Usage & Precautions
- WARNING:
- DESCRIPTION
- CLINICAL PHARMACOLOGY
- CENTRAL NERVOUS SYSTEM
- GASTROINTESTINAL TRACT AND OTHER SMOOTH MUSCLE
- CARDIOVASCULAR SYSTEM
- ENDOCRINE SYSTEM
- IMMUNE SYSTEM
- PHARMACODYNAMICS
- PLASMA LEVEL-ANALGESIA RELATIONSHIPS
- CONCENTRATION - ADVERSE EXPERIENCE RELATIONSHIPS
- PHARMACOKINETICS AND METABOLISM
- ABSORPTION
- FOOD EFFECTS
- DISTRIBUTION
- METABOLISM
- EXCRETION
- RENAL IMPAIRMENT
- DRUG-DRUG INTERACTIONS
- INDICATIONS AND USAGE
- CONTRAINDICATIONS
- WARNINGS
- MISUSE, ABUSE AND DIVERSION OF OPIOIDS
- INTERACTIONS WITH ALCOHOL AND DRUGS OF ABUSE
- DRUG ABUSE AND ADDICTION
- RESPIRATORY DEPRESSION
- HEAD INJURY AND INCREASED INTRACRANIAL PRESSURE
- HYPOTENSIVE EFFECT
- INTERACTIONS WITH OTHER CNS DEPRESSANTS
- OTHER
- PRECAUTIONS
- GENERAL
- INTERACTIONS WITH MIXED AGONIST/ANTAGONIST OPIOID ANALGESICS
- USE IN PANCREATIC/BILIARY TRACT DISEASE
- TOLERANCE
- PHYSICAL DEPENDENCE
- INFORMATION FOR PATIENTS/CAREGIVERS
- USE IN DRUG AND ALCOHOL ADDICTION
- DRUG INTERACTIONS
- USE WITH CNS DEPRESSANTS
- CARCINOGENESIS, MUTAGENESIS, IMPAIRMENT OF FERTILITY
- TERATOGENIC EFFECTS – CATEGORY C
- LABOR AND DELIVERY
- NEONATAL WITHDRAWAL SYNDROME
- NURSING MOTHERS
- PEDIATRIC USE
- GERIATRIC USE
- ADVERSE REACTIONS
- MOST FREQUENTLY OBSERVED
- LESS FREQUENTLY OBSERVED REACTIONS
- OVERDOSAGE
- DOSAGE AND ADMINISTRATION
- HOW SUPPLIED
- PACKAGE LABEL - MORPHINE SULFATE ER C-II - 15MG TABLETS
Morphine Sulfate Product Label
The following document was submitted to the FDA by the labeler of this product Stat Rx Usa Llc. The document includes published materials associated whith this product with the essential scientific information about this product as well as other prescribing information. Product labels may durg indications and usage, generic names, contraindications, active ingredients, strength dosage, routes of administration, appearance, warnings, inactive ingredients, etc.
Warning:
Morphine Sulfate Extended-Release Tablets contain morphine sulfate, an opioid agonist and a Schedule II controlled substance, with an abuse liability similar to other opioid analgesics.
Morphine can be abused in a manner similar to other opioid agonists, legal or illicit. This should be considered when prescribing or dispensing Morphine Sulfate Extended-Release Tablets in situations where the physician or pharmacist is concerned about an increased risk of misuse, abuse, or diversion.
Morphine Sulfate Extended-Release Tablets are an extended-release oral formulation of morphine sulfate indicated for the management of moderate to severe pain when a continuous, around-the-clock opioid analgesic is needed for an extended period of time.
Morphine Sulfate Extended-Release Tablets are NOT intended for use as a prn analgesic.
Morphine Sulfate Extended-Release 100 and 200 mg Tablets ARE FOR USE IN OPIOID-TOLERANT PATIENTS ONLY. These tablet strengths may cause fatal respiratory depression when administered to patients not previously exposed to opioids.
MORPHINE SULFATE EXTENDED-RELEASE TABLETS ARE TO BE SWALLOWED WHOLE AND ARE NOT TO BE BROKEN, CHEWED, DISSOLVED, OR CRUSHED. TAKING BROKEN, CHEWED, DISSOLVED, OR CRUSHED MORPHINE SULFATE EXTENDED-RELEASE TABLETS LEADS TO RAPID RELEASE AND ABSORPTION OF A POTENTIALLY FATAL DOSE OF MORPHINE.
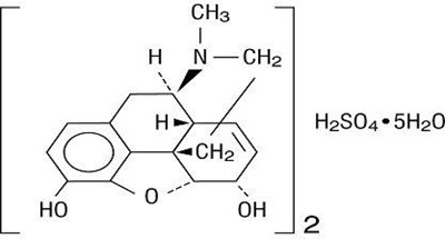
Description
Chemically, morphine sulfate is 7,8-didehydro-4,5α-epoxy-17-methylmorphinan-3,6α-diol sulfate (2:1) (salt) pentahydrate and has the following structural formula:
Morphine Sulfate Extended-Release Tablets are opiate analgesics supplied in 15, 30, 60, 100 and 200 mg tablet strengths. The tablet strengths describe the amount of morphine per tablet as the pentahydrated sulfate salt (morphine sulfate, USP). Morphine Sulfate Extended-Release Tablets 15 mg, 30 mg, 60 mg, 100 mg, and 200 mg contain the following inactive ingredients: cetostearyl alcohol, hydroxyethyl cellulose, hypromellose, magnesium stearate, polyethylene glycol, talc and titanium dioxide.
Morphine Sulfate Extended-Release Tablets 15 mg also contains FD&C Blue No. 2, lactose and polysorbate 80.
Morphine Sulfate Extended-Release Tablets 30 mg also contains D&C Red No. 7, FD&C Blue No. 1, lactose and polysorbate 80.
Morphine Sulfate Extended-Release Tablets 60 mg also contains D&C Red No. 30, D&C Yellow No. 10, hydroxypropyl cellulose, and lactose.
Morphine Sulfate Extended-Release Tablets 100 mg also contains black iron oxide.
Morphine Sulfate Extended-Release Tablets 200 mg also contains D&C Yellow No. 10, FD&C Blue No. 1, and hydroxypropyl cellulose.
Clinical Pharmacology
Morphine is a pure opioid agonist whose principal therapeutic action is analgesia. Other members of the class known as opioid agonists include substances such as oxycodone, hydromorphone, fentanyl, codeine, and hydrocodone. Pharmacological effects of opioid agonists include anxiolysis, euphoria, feelings of relaxation, respiratory depression, constipation, miosis, cough suppression, and analgesia. Like all pure opioid agonist analgesics, with increasing doses there is increasing analgesia, unlike with mixed agonist/antagonists or non-opioid analgesics, where there is a limit to the analgesic effect with increasing doses. With pure opioid agonist analgesics, there is no defined maximum dose; the ceiling to analgesic effectiveness is imposed only by side effects, the more serious which may include somnolence and respiratory depression.
Central Nervous System
The principal actions of therapeutic value of morphine are analgesia and sedation (i.e., sleepiness and anxiolysis).
The precise mechanism of the analgesic action is unknown. However, specific CNS opiate receptors for endogenous compounds with opioid-like activity have been identified throughout the brain and spinal cord and are likely to play a role in the expression of analgesic effects.
Morphine produces respiratory depression by direct action on brainstem respiratory centers. The mechanism of respiratory depression involves a reduction in the responsiveness of the brainstem respiratory centers to increases in carbon dioxide tension, and to electrical stimulation.
Morphine depresses the cough reflex by direct effect on the cough center in the medulla. Antitussive effects may occur with doses lower than those usually required for analgesia. Morphine causes miosis, even in total darkness. Pinpoint pupils are a sign of narcotic overdose but are not pathognomonic (e.g., pontine lesions of hemorrhagic or ischemic origins may produce similar findings). Marked mydriasis rather than miosis may be seen with worsening hypoxia.
Gastrointestinal Tract And Other Smooth Muscle
Morphine causes a reduction in motility associated with an increase in smooth muscle tone in the antrum of the stomach and in the duodenum. Digestion of food is delayed in the small intestine and propulsive contractions are decreased. Propulsive peristaltic waves in the colon are decreased, while tone may be increased to the point of spasm resulting in constipation. Other opioid induced-effects may include a reduction in gastric, biliary and pancreatic secretions, spasm of the sphincter of Oddi, and transient elevations in serum amylase.
Cardiovascular System
Morphine produces peripheral vasodilation which may result in orthostatic hypotension. Release of histamine can occur and may contribute to opioid-induced hypotension. Manifestations of histamine release and/or peripheral vasodilation may include pruritus, flushing, red eyes, and sweating.
Endocrine System
Opioids have been shown to have a variety of effects on the secretion of hormones. Opioids inhibit the secretion of ACTH, cortisol, and luteinizing hormone (LH) in humans. They also stimulate prolactin, growth hormone (GH) secretion, and pancreatic secretion of insulin and glucagons in humans and other species, rats and dogs. Thyroid stimulating hormone (TSH) has been shown to be both inhibited and stimulated by opioids.
Immune System
Opioids have been shown to have a variety of effects on components of the immune system in in vitro and animal models. The clinical significance of these findings is unknown.
Pharmacodynamics
As with all opioids, the minimum effective plasma concentration for analgesia varies widely among patients, especially among patients who have been previously treated with potent agonist opioids. As a result, patients must be treated with individualized titration of dosage to the desired effect. The minimum effective analgesic concentration of morphine for any individual patient may increase over time due to an increase in pain, the development of new pain syndrome and/or the development of analgesic tolerance.
Plasma Level-Analgesia Relationships
In any particular patient, both analgesic effects and plasma morphine concentrations are related to the morphine dose. In non-tolerant individuals, plasma morphine concentration-efficacy relationships have been demonstrated and suggest that opiate receptors occupy effector compartments, leading to a lag-time, or hysteresis, between rapid changes in plasma morphine concentrations and the effects of such changes. The most direct and predictable concentration-effect relationships can, therefore, be expected at distribution equilibrium and/or steady-state conditions.
While plasma morphine-efficacy relationships can be demonstrated in non-tolerant individuals, they are influenced by a wide variety of factors and are not generally useful as a guide to the clinical use of morphine. The effective dose in opioid-tolerant patients may be significantly greater than the appropriate dose for opioid-naive individuals. Dosages of morphine should be chosen and must be titrated on the basis of clinical evaluation of the patient and the balance between therapeutic and adverse effects.
For any fixed dose and dosing interval, Morphine Sulfate Extended-Release Tablets will have at steady-state, a lower Cmax and a higher Cmin than conventional morphine.
Concentration - Adverse Experience Relationships
Morphine Sulfate Extended-Release Tablets are associated with typical opioid-related adverse experiences. There is a general relationship between increasing morphine plasma concentration and increasing frequency of dose-related opioid adverse experiences such as nausea, vomiting, CNS effects, and respiratory depression. In opioid-tolerant patients, the situation is altered by the development of tolerance to opioid-related side effects, and the relationship is not clinically relevant.
As with all opioids, the dose must be individualized (see DOSAGE AND ADMINISTRATION), because the effective analgesic dose for some patients will be too high to be tolerated by other patients.
Pharmacokinetics And Metabolism
Morphine Sulfate Extended-Release Tablets is an extended-release tablet containing morphine sulfate. Morphine is released from Morphine Sulfate Extended-Release Tablets somewhat more slowly than from immediate-release oral preparations. Following oral administration of a given dose of morphine, the amount ultimately absorbed is essentially the same whether the source is Morphine Sulfate Extended-Release Tablets or an immediate-release formulation. Because of pre-systemic elimination (i.e., metabolism in the gut wall and liver) only about 40% of the administered dose reaches the central compartment.
Variation in the physical/mechanical properties of a formulation of an oral morphine drug product can affect both its absolute bioavailability and its absorption rate constant (ka). The formulation employed in Morphine Sulfate Extended-Release Tablets has not been shown to affect morphine's oral bioavailability, but does decrease its apparent ka. Other basic pharmacokinetic parameters (e.g., volume of distribution [Vd], elimination rate constant [ke], clearance [Cl]), are unchanged as they are fundamental properties of morphine in the organism. However, in chronic use, the possibility that shifts in metabolite to parent drug ratios may occur cannot be excluded.
When immediate-release oral morphine or Morphine Sulfate Extended-Release Tablets is given on a fixed dosing regimen, steady-state is achieved in about a day.
For a given dose and dosing interval, the AUC and average blood concentration of morphine at steady-state (Css) will be independent of the specific type of oral formulation administered so long as the formulations have the same absolute bioavailability. The absorption rate of a formulation will, however, affect the maximum (Cmax) and minimum (Cmin) blood levels and the times of their occurrence.
Absorption
Following the administration of immediate-release oral morphine products, approximately fifty percent of the morphine that will reach the central compartment intact reaches it within 30 minutes. Following the administration of an equal amount of Morphine Sulfate Extended-Release Tablets to normal volunteers, however, this extent of absorption occurs, on average, after 1.5 hours.
Food Effects
The possible effect of food upon the systemic bioavailability of Morphine Sulfate Extended-Release Tablets has not been systematically evaluated for all strengths. One study, conducted with the 30 mg Morphine Sulfate Extended-Release Tablets, showed no significant differences in Cmax and AUC (0-24h) values, whether the tablet was taken while fasting or with a high-fat breakfast.
Distribution
The volume of distribution (Vd) for morphine is approximately 4 liters per kilogram. Once absorbed, morphine is distributed to skeletal muscle, kidneys, liver, intestinal tract, lungs, spleen, and brain. Morphine also crosses the placental membranes and has been found in breast milk.
Metabolism
Although a small fraction (less than 5%) of morphine is demethylated, for all practical purposes, virtually all morphine is converted to the 3- and 6- (M3G and M6G) glucuronide metabolites. M3G is present in the highest plasma concentration following oral administration and possesses no significant analgesic activity. M6G, while possessing analgesic activity, is present in the plasma in low concentrations.
Excretion
The elimination of morphine occurs primarily as renal excretion of morphine-3- glucuronide and its terminal elimination half-life after intravenous administration is normally 2 to 4 hours. In some studies involving longer periods of plasma sampling, a longer terminal half-life of about 15 hours was reported. A small amount of the glucuronide conjugate is excreted in the bile, and there is some minor enterohepatic recycling. As with any drug, caution should be taken to guard against unanticipated accumulation if renal and/or hepatic function is seriously impaired.
Renal Impairment
Morphine pharmacokinetics are altered in patients with renal failure. Clearance is decreased and the metabolites, M3G and M6G, may accumulate to much higher plasma levels in these patients as compared to patients with normal renal function.
Drug-Drug Interactions
Known drug-drug interactions involving morphine are pharmacodynamic not pharmacokinetic.
Indications And Usage
Morphine Sulfate Extended-Release Tablets are an extended-release oral formulation of morphine sulfate indicated for the management of moderate to severe pain when a continuous, around-the-clock opioid analgesic is needed for an extended period of time.
Morphine Sulfate Extended-Release Tablets are NOT intended for use as a prn analgesic.
The Morphine Sulfate Extended-Release Tablets 100 and 200 mg tablet strengths are high dose, extended-release, oral morphine formulations indicated for the relief of pain in opioid-tolerant patients only.
Morphine Sulfate Extended-Release Tablets are not indicated for pain in the immediate postoperative period (the first 12-24 hours following surgery) for patients not previously taking the drug, because its safety in this setting has not been established.
Morphine Sulfate Extended-Release Tablets are not indicated for pain in the postoperative period if the pain is mild, or not expected to persist for an extended period of time.
Morphine Sulfate Extended-Release Tablets are only indicated for postoperative use if the patient is already receiving the drug prior to surgery or if the postoperative pain is expected to be moderate to severe and persist for an extended period of time. Physicians should individualize treatment, moving from parenteral to oral analgesics as appropriate. (see American Pain Society guidelines.)
Contraindications
Morphine Sulfate Extended-Release Tablets are contraindicated in patients with known hypersensitivity to morphine or in any situation where opioids are contraindicated. This includes patients with respiratory depression (in the absence of resuscitative equipment or in unmonitored settings), and in patients with acute or severe bronchial asthma or hypercarbia.
Morphine Sulfate Extended-Release Tablets are contraindicated in any patient who has or is suspected of having a paralytic ileus.
Warnings
(see also:CLINICAL PHARMACOLOGY)
MORPHINE SULFATE EXTENDED-RELEASE TABLETS ARE TO BE SWALLOWED WHOLE AND ARE NOT TO BE BROKEN, CHEWED, DISSOLVED, OR CRUSHED. TAKING BROKEN, CHEWED, DISSOLVED, OR CRUSHED MORPHINE SULFATE EXTENDED-RELEASE TABLETS LEADS TO RAPID RELEASE AND ABSORPTION OF A POTENTIALLY FATAL DOSE OF MORPHINE.
Morphine Sulfate Extended-Release 100 AND 200 mg Tablets ARE FOR USE IN OPIOID-TOLERANT PATIENTS ONLY. These tablet strengths may cause fatal respiratory depression when administered to patients not previously exposed to opioids.
Morphine Sulfate Extended-Release 100 AND 200 mg Tablets are for use only in opioid-tolerant patients requiring daily morphine equivalent dosages of 200 mg or more for the 100 mg tablet and 400 mg or more for the 200 mg tablet. Care should be taken in the prescribing of these tablet strengths. Patients should be instructed against use by individuals other than the patient for whom it was prescribed, as such inappropriate use may have severe medical consequences, including death.
Misuse, Abuse And Diversion Of Opioids
Morphine is an opioid agonist and a Schedule II controlled substance. Such drugs are sought by drug abusers and people with addiction disorders and are subject to criminal diversion.
Morphine can be abused in a manner similar to other opioid agonists, legal or illicit. This should be considered when prescribing or dispensing Morphine Sulfate Extended-Release Tablets in situations where the physician or pharmacist is concerned about an increased risk of misuse, abuse, or diversion.
Morphine Sulfate Extended-Release Tablets can be abused by crushing, chewing, snorting or injecting the dissolved product. These practices will result in the uncontrolled delivery of the opioid and pose a significant risk to the abuser that could result in overdose and death (see WARNINGS: Drug Abuse and Addiction).
Concerns about abuse, addiction, and diversion should not prevent the proper management of pain.
Healthcare professionals should contact their State Professional Licensing Board, or State Controlled Substances Authority for information on how to prevent and detect abuse or diversion of this product.
Interactions With Alcohol And Drugs Of Abuse
Morphine may be expected to have additive effects when used in conjunction with alcohol, other opioids, or illicit drugs that cause central nervous system depression because respiratory depression, hypotension, and profound sedation or coma may result. (see WARNINGS: Interactions with other CNS Depressants)
Drug Abuse And Addiction
Morphine Sulfate Extended-Release Tablets are a mu-agonist opioid with an abuse liability similar to other opioid agonists and is a Schedule II controlled substance. Morphine Sulfate Extended-Release Tablets and other opioids used in analgesia, can be abused and are subject to criminal diversion.
Drug addiction is characterized by compulsive use, use for non-medical purposes, and continued use despite harm or risk of harm. Drug addiction is a treatable disease, utilizing a multi-disciplinary approach, but relapse is common.
“Drug-seeking” behavior is very common in addicts and drug abusers. Drug-seeking tactics include emergency calls or visits near the end of office hours, refusal to undergo appropriate examination, testing or referral, repeated “loss” of prescriptions, tampering with prescriptions and reluctance to provide prior medical records or contact information for other treating physician(s). “Doctor shopping” to obtain additional prescriptions is common among drug abusers and people suffering from untreated addiction.
Abuse and addiction are separate and distinct from physical dependence and tolerance. Physicians should be aware that addiction may not be accompanied by concurrent tolerance and symptoms of physical dependence in all addicts. In addition, abuse of opioids can occur in the absence of true addiction and is characterized by misuse for non-medical purposes, often in combination with other psychoactive substances. Morphine Sulfate Extended-Release Tablets, like other opioids, has been diverted for non-medical use. Careful record keeping of prescribing information, including quantity, frequency, and renewal requests is strongly advised.
Proper assessment of the patient, proper prescribing practices, periodic re-evaluation of therapy, and proper dispensing and storage are appropriate measures that help to limit abuse of opioid drugs.
Morphine Sulfate Extended-Release Tablets are intended for oral use only as an intact tablet. Abuse of the crushed tablet poses a hazard of overdose and death. This risk is increased with concurrent abuse of alcohol and other substances. Due to the presence of talc as one of the excipients in tablets, parenteral abuse can be expected to result in local tissue necrosis, infection, pulmonary granulomas, and increased risk of endocarditis and valvular heart injury. Parenteral drug abuse is commonly associated with transmission of infectious diseases such as hepatitis and HIV.
Respiratory Depression
Respiratory depression is the chief hazard of all morphine preparations. Respiratory depression occurs most frequently in the elderly and debilitated patients as well as in those suffering from conditions accompanied by hypoxia or hypercapnia when even moderate therapeutic doses may dangerously decrease pulmonary ventilation.
Morphine should be used with extreme caution in patients with chronic obstructive pulmonary disease or cor pulmonale, and in patients having a substantially decreased respiratory reserve, hypoxia, hypercapnia, or pre-existing respiratory depression. In such patients, even usual therapeutic doses of morphine may decrease respiratory drive while simultaneously increasing airway resistance to the point of apnea.
Head Injury And Increased Intracranial Pressure
The respiratory depressant effects of morphine with carbon dioxide retention and secondary elevation of cerebrospinal fluid pressure may be markedly exaggerated in the presence of head injury, other intracranial lesions, or pre-existing increase in intracranial pressure. Morphine produces effects which may obscure neurologic signs of further increases in pressure in patients with head injuries.
Hypotensive Effect
Morphine Sulfate Extended-Release Tablets, like all opioid analgesics, may cause severe hypotension in an individual whose ability to maintain his blood pressure has already been compromised by a depleted blood volume, or a concurrent administration of drugs such as phenothiazines or general anesthetics. Morphine Sulfate Extended-Release Tablets may produce orthostatic hypotension in ambulatory patients.
Morphine Sulfate Extended-Release Tablets, like all opioid analgesics, should be administered with caution to patients in circulatory shock, since vasodilation produced by the drug may further reduce cardiac output and blood pressure.
Interactions With Other Cns Depressants
Morphine Sulfate Extended-Release Tablets, like all opioid analgesics, should be used with great caution and in reduced dosage in patients who are concurrently receiving other central nervous system depressants including sedatives or hypnotics, general anesthetics, phenothiazines, other tranquilizers, and alcohol because respiratory depression, hypotension, and profound sedation or coma may result.
Other
Although extremely rare, cases of anaphylaxis have been reported.
Precautions
(see also: CLINICAL PHARMACOLOGY)
Special precautions regarding Morphine Sulfate Extended-Release 100 mg and 200 mg Tablets.
Morphine Sulfate Extended-Release 100 mg and 200 mg Tablets are for use only in opioid-tolerant patients requiring daily morphine equivalent dosages of 200 or more for the 100 mg tablet and 400 mg or more for the 200 mg tablet. Care should be taken in its prescription and patients should be instructed against use by individuals other than the patient for whom it was prescribed, as this may have severe medical consequences for that individual.
General
Morphine Sulfate Extended-Release Tablets are an extended-release oral formulation of morphine sulfate indicated for the management of moderate to severe pain when a continuous, around-the-clock analgesic is needed for an extended period of time. Morphine Sulfate Extended-Release Tablets do not release morphine continuously over the course of a dosing interval. The administration of single doses of Morphine Sulfate Extended-Release Tablets on a q12h dosing schedule will result in higher peak and lower trough plasma levels than those that occur when an identical daily dose of morphine is administered using conventional oral formulations on a q4h regimen. The clinical significance of greater fluctuations in morphine plasma level has not been systematically evaluated. (see DOSAGE AND ADMINISTRATION)
Selection of patients for treatment with Morphine Sulfate Extended-Release Tablets should be governed by the same principles that apply to the use of morphine or other potent opioid analgesics. Specifically, the increased risks associated with its use in the following populations should be considered: the elderly or debilitated and those with severe impairment of hepatic, pulmonary, or renal function; myxedema or hypothyroidism; adrenocortical insufficiency (e.g., Addison's Disease); CNS depression or coma; toxic psychosis; prostatic hypertrophy or urethral stricture; acute alcoholism; delirium tremens; kyphoscoliosis or inability to swallow.
The administration of morphine, like all opioid analgesics, may obscure the diagnosis or clinical course in patients with acute abdominal conditions.
Morphine may aggravate convulsions in patients with convulsive disorders, and all opioids may induce or aggravate seizures in some clinical settings.
Interactions With Mixed Agonist/Antagonist Opioid Analgesics
Agonist/antagonist analgesics (i.e., pentazocine, nalbuphine, and butorphanol) should be administered with caution to a patient who has received or is receiving a course of therapy with a pure opioid agonist analgesic such as morphine sulfate. In this situation, mixed agonist/antagonist analgesics may reduce the analgesic effect of morphine sulfate and/or may precipitate withdrawal symptoms in these patients.
Use In Pancreatic/Biliary Tract Disease
Morphine should be used with caution in patients about to undergo surgery of the biliary tract since it may cause spasm of the sphincter of Oddi. Similarly, morphine should be used with caution in patients with acute pancreatitis secondary to biliary tract disease.
Tolerance
Tolerance is a state of adaptation in which exposure to a drug induces changes that result in a diminution of one or more of the drug’s effects over time. Tolerance may occur to both the desired and undesired effects of drugs, and may develop at different rates for different effects.
Physical Dependence
Physical dependence is a state of adaptation that is manifested by an opioid specific withdrawal syndrome that can be produced by abrupt cessation, rapid dose reduction, decreasing blood level of the drug, and/or administration of an antagonist.
The opioid abstinence or withdrawal syndrome is characterized by some or all of the following: restlessness, lacrimation, rhinorrhea, yawning, perspiration, chills, piloerection, myalgia, mydriasis, irritability, anxiety, backache, joint pain, weakness, abdominal cramps, insomnia, nausea, anorexia, vomiting, diarrhea, or increased blood pressure, respiratory rate, or heart rate.
In general, opioids should not be abruptly discontinued (see DOSAGE AND ADMINISTRATION: Cessation of Therapy).
Information For Patients/Caregivers
If clinically advisable, patients receiving Morphine Sulfate Extended-Release Tablets or their caregivers should be given the following information by the physician, nurse, or pharmacist:
- Patients should be advised that Morphine Sulfate Extended-Release Tablets contain morphine and should be taken only as directed.
- Patients should be advised that Morphine Sulfate Extended-Release Tablets were designed to work properly only if swallowed whole. Morphine Sulfate Extended-Release Tablets will release all of their morphine if split, divided, broken, chewed, dissolved, or crushed resulting in the risk of a fatal overdose.
- Patients should be advised not to change the dose of Morphine Sulfate Extended-Release Tablets without consulting their physician.
- Patients should be advised to report episodes of breakthrough pain and adverse experiences occurring during therapy. Individualization of dosage is essential to make optimal use of this medication.
- Morphine Sulfate Extended-Release Tablets may impair mental and/or physical ability required for the performance of potentially hazardous tasks (e.g., driving, operating machinery). Patients started on Morphine Sulfate Extended-Release Tablets or whose dose has been changed should refrain from dangerous activity until it is established that they are not adversely affected.
- Morphine Sulfate Extended-Release Tablets should not be taken with alcohol or other CNS depressants (sleep aids, tranquilizers) except by the orders of the prescribing physician because dangerous additive effects may occur resulting in serious injury or death.
- Women of childbearing potential who become or are planning to become pregnant should be advised to consult their physician regarding the effects of analgesics and other drug use during pregnancy on themselves and their unborn child.
- Patients should be advised that if they have been receiving treatment with Morphine Sulfate Extended-Release Tablets for more than a few weeks and cessation of therapy is indicated, it may be appropriate to taper the Morphine Sulfate Extended-Release Tablets dose, rather than abruptly discontinue it, due to the risk of precipitating withdrawal symptoms. Their physician can provide a dose schedule to accomplish a gradual discontinuation of the medication.
- Morphine Sulfate Extended-Release 100 mg and 200 mg Tablets are for use only in opioid-tolerant patients requiring daily morphine equivalent dosages of 200 mg or more for the 100 mg tablet and 400 mg or more for the 200 mg tablet. Special care must be taken to avoid accidental ingestion or the use by individuals (including children) other than the patient for whom it was originally prescribed, as such unsupervised use may have severe, even fatal, consequences.
- Patients should be advised that Morphine Sulfate Extended-Release Tablets are a potential drug of abuse. They should protect it from theft, and it should never be given to anyone other than the individual for whom it was prescribed.
- Patients should be advised that they may pass empty matrix "ghosts" (tablets) via colostomy or in the stool, and that this is of no concern since the active medication has already been absorbed.
- Patients should be instructed to keep Morphine Sulfate Extended-Release Tablets in a secure place out of the reach of children. When Morphine Sulfate Extended-Release Tablets are no longer needed, the unused tablets should be destroyed by flushing down the toilet.
Use In Drug And Alcohol Addiction
Morphine Sulfate Extended-Release Tablets are an opioid with no approved use in the management of addiction disorders. Its proper usage in individuals with drug or alcohol dependence, either active or in remission, is for the management of pain requiring opioid analgesia.
Drug Interactions
(see also: WARNINGS)
Use With Cns Depressants
The concomitant use of other central nervous system depressants including sedatives or hypnotics, general anesthetics, phenothiazines, tranquilizers, and alcohol may produce additive depressant effects. Respiratory depression, hypotension, and profound sedation or coma may occur. When such combined therapy is contemplated, the dose of one or both agents should be reduced. Opioid analgesics, including Morphine Sulfate Extended-Release Tablets, may enhance the neuromuscular blocking action of skeletal muscle relaxants and produce an increased degree of respiratory depression.
Carcinogenesis, Mutagenesis, Impairment Of Fertility
Studies of morphine sulfate in animals to evaluate the drug's carcinogenic and mutagenic potential or the effect on fertility have not been conducted.
Teratogenic Effects – Category C
Adequate animal studies on reproduction have not been performed to determine whether morphine affects fertility in males or females. There are no well-controlled studies in women, but marketing experience does not include any evidence of adverse effects on the fetus following routine (short-term) clinical use of morphine sulfate products. Although there is no clearly defined risk, such experience cannot exclude the possibility of infrequent or subtle damage to the human fetus.
Morphine Sulfate Extended-Release Tablets should be used in pregnant women only if the need for strong opioid analgesia clearly outweighs the potential risk to the fetus. (see also: PRECAUTIONS: Labor and Delivery, and WARNINGS: Drug Abuse and Addiction)
Labor And Delivery
Morphine Sulfate Extended-Release Tablets are not recommended for use in women during and immediately prior to labor. Occasionally, opioid analgesics may prolong labor through actions which temporarily reduce the strength, duration, and frequency of uterine contractions. However, this effect is not consistent and may be offset by an increased rate of cervical dilatation which tends to shorten labor.
Neonates whose mothers received opioid analgesics during labor should be observed closely for signs of respiratory depression. A specific narcotic antagonist, naloxone, should be available for reversal of narcotic-induced respiratory depression in the neonate.
Neonatal Withdrawal Syndrome
Chronic maternal use of opioids during pregnancy can affect the fetus with subsequent withdrawal symptoms. Neonatal withdrawal syndrome presents as irritability, hyperactivity and abnormal sleep pattern, abnormal crying, tremor, vomiting, diarrhea and subsequent weight loss or failure to gain weight, and may result in death. The onset, duration and severity of neonatal withdrawal syndrome varies based on the drug used, duration of use, the and dose of last maternal use, and rate of elimination by the newborn. Use standard care as medically appropriate.
Nursing Mothers
Low levels of morphine have been detected in the breast milk. Withdrawal symptoms can occur in breast-feeding infants when maternal administration of morphine sulfate is stopped. Ordinarily, nursing should not be undertaken while a patient is receiving Morphine Sulfate Extended-Release Tablets since morphine may be excreted in the milk.
Pediatric Use
Safety and effectiveness in pediatric patients have not been established.
Morphine Sulfate Extended-Release Tablets are not to be chewed, crushed, dissolved or divided for administration.
Geriatric Use
Clinical studies of Morphine Sulfate Extended-Release Tablets did not include sufficient numbers of subjects aged 65 and over to determine whether they respond differently from younger subjects. Other reported clinical experience has not identified differences in responses between the elderly and younger patients. In general, dose selection for an elderly patient should be cautious, usually starting at the low end of the dosing range, reflecting the greater frequency of decreased hepatic, renal, or cardiac function, and of concomitant disease or other drug therapy.
Adverse Reactions
The adverse reactions caused by morphine are essentially those observed with other opioid analgesics. They include the following major hazards: respiratory depression, apnea, and to a lesser degree, circulatory depression, respiratory arrest, shock, and cardiac arrest.
Most Frequently Observed
Constipation, lightheadedness, dizziness, sedation, nausea, vomiting, sweating, dysphoria, and euphoria.
Some of these effects seem to be more prominent in ambulatory patients and in those not experiencing severe pain. Some adverse reactions in ambulatory patients may be alleviated if the patient lies down.
Less Frequently Observed Reactions
Central Nervous System: Weakness, headache, agitation, tremor, uncoordinated muscle movements, seizure, alterations of mood (nervousness, apprehension, depression, floating feelings), dreams, muscle rigidity, transient hallucinations and disorientation, visual disturbances, insomnia, increased intracranial pressure
Gastrointestinal: Dry mouth, biliary tract spasm, laryngospasm, anorexia, diarrhea, cramps, taste alteration, constipation, ileus, intestinal obstruction, dyspepsia, increases in hepatic enzymes
Cardiovascular: Flushing of the face, chills, tachycardia, bradycardia, palpitation, faintness, syncope, hypotension, hypertension
Genitourinary: Urine retention or hesitance, amenorrhea, reduced libido and/or potency
Dermatologic: Pruritus, urticaria, other skin rashes, edema, diaphoresis
Other: Antidiuretic effect, paresthesia, bronchospasm, muscle tremor, blurred vision, nystagmus, diplopia, miosis, anaphylaxis, malaise, thinking disturbances, vertigo
Overdosage
Acute overdosage with morphine can be manifested by respiratory depression, somnolence progressing to stupor or coma, skeletal muscle flaccidity, cold and clammy skin, constricted pupils, rhabdomyolysis progressing to renal failure, and, sometimes, bradycardia, hypotension and death.
The nature of the extended-release morphine should also be taken into account when treating the overdose. Even in the face of improvement, continued medical monitoring is required because of the possibility of extended effects. Deaths due to overdose may occur with abuse and misuse of Morphine Sulfate Extended-Release Tablets.
In the treatment of morphine overdosage, primary attention should be given to the re-establishment of a patent airway and institution of assisted or controlled ventilation. Supportive measures (including oxygen, vasopressors) should be employed in the management of circulatory shock and pulmonary edema accompanying overdose as indicated. Cardiac arrest or arrhythmias may require cardiac massage or defibrillation.
The pure opioid antagonists, such as naloxone, are specific antidotes against respiratory depression which results from opioid overdose. Naloxone should be administered intravenously; however, because its duration of action is relatively short, the patient must be carefully monitored until spontaneous respiration is reliably re-established. If the response to naloxone is suboptimal or not sustained, additional naloxone may be administered, as needed, or given by continuous infusion to maintain alertness and respiratory function; however, there is no information available about the cumulative dose of naloxone that may be safely administered.
Opioid antagonists should not be administered in the absence of clinically significant respiratory or circulatory depression secondary to morphine overdose. Such agents should be administered cautiously to persons who are known, or suspected to be physically-dependent on Morphine Sulfate Extended-Release Tablets. In such cases, an abrupt or complete reversal of opioid effects may precipitate an acute abstinence syndrome.
Note: In an individual physically dependent on opioids, administration of the usual dose of the antagonist will precipitate an acute withdrawal syndrome. The severity of the withdrawal syndrome produced will depend on the degree of physical dependence and the dose of the antagonist administered. Use of an opioid antagonist in such a person should be avoided. If necessary to treat serious respiratory depression in the physically dependent patient, the antagonist should be administered with care and by titration with smaller than usual doses of the antagonist.
Dosage And Administration
(SEE ALSO: CLINICAL PHARMACOLOGY, WARNINGS, AND PRECAUTIONS SECTIONS)
MORPHINE SULFATE EXTENDED-RELEASE TABLETS ARE AN OPIOID AGONIST AND A SCHEDULE II CONTROLLED SUBSTANCE WITH AN ABUSE LIABILITY SIMILAR TO OTHER OPIOID AGONISTS. MORPHINE AND OTHER OPIOIDS USED IN ANALGESIA CAN BE ABUSED AND ARE SUBJECT TO CRIMINAL DIVERSION.
MORPHINE SULFATE EXTENDED-RELEASE TABLETS ARE TO BE SWALLOWED WHOLE, AND ARE NOT TO BE BROKEN, CHEWED, DISSOLVED OR CRUSHED. TAKING BROKEN, CHEWED, DISSOLVED, OR CRUSHED MORPHINE SULFATE EXTENDED-RELEASE TABLETS LEADS TO RAPID RELEASE AND ABSORPTION OF A POTENTIALLY FATAL DOSE OF MORPHINE.
Physicians should individualize treatment in every case, initiating therapy at the appropriate point along a progression from non-opioid analgesics, such as non-steroidal anti-inflammatory drugs and acetaminophen to opioids in a plan of pain management such as those outlined by the World Health Organization, the Federation of State Medical Boards Model Guidelines, or the American Pain Society. Healthcare professionals should follow appropriate pain management principles of careful assessment and ongoing monitoring (see BOXED WARNING).
Morphine Sulfate Extended-Release Tablets are an extended-release oral formulation of morphine sulfate indicated for the management of moderate to severe pain when a continuous, around-the-clock analgesic is needed for an extended period of time. The extended-release nature of the formulation allows it to be administered on a more convenient schedule than conventional immediate-release oral morphine products. (see CLINICAL PHARMACOLOGY; Pharmacokinetics and Metabolism) However, Morphine Sulfate Extended-Release Tablets do not release morphine continuously over the course of a dosing interval. The administration of single doses of Morphine Sulfate Extended-Release Tablets on a q12h dosing schedule will result in higher peak and lower trough plasma levels than those that occur when an identical daily dose of morphine is administered using conventional oral formulations on a q4h regimen. The clinical significance of greater fluctuations in morphine plasma level has not been systematically evaluated.
As with any potent opioid drug product, it is critical to adjust the dosing regimen for each patient individually, taking into account the patient's prior opioid and non-opioid analgesic treatment experience. Although it is clearly impossible to enumerate every consideration that is important to the selection of initial dose and dosing interval Morphine Sulfate Extended-Release Tablets, attention should be given to 1) the daily dose, potency, and precise characteristics of the opioid the patient has been taking previously (e.g., whether it is a pure agonist or mixed agonist/antagonist), 2) the reliability of the relative potency estimate used to calculate the dose of morphine needed [N.B. potency estimates may vary with the route of administration], 3) the degree of opioid tolerance, if any, and 4) the general condition and medical status of the patient.
The following dosing recommendations, therefore, can only be considered suggested approaches to what is actually a series of clinical decisions in the management of the pain of an individual patient.
During periods of changing analgesic requirements including initial titration, frequent contact is recommended between physician, other members of the healthcare team, the patient, and the caregiver/family.
Conversion from Immediate-Release Oral Morphine to Morphine Sulfate Extended-Release Tablets
A patient's daily morphine requirement is established using immediate-release oral morphine (dosing every 4 to 6 hours). The patient is then converted to Morphine Sulfate Extended-Release Tablets in either of two ways: 1) by administering one-half of the patient's 24-hour requirement as Morphine Sulfate Extended-Release Tablets on an every 12-hour schedule; or, 2) by administering one-third of the patient's daily requirement as Morphine Sulfate Extended-Release Tablets on an every eight hour schedule. With either method, dose and dosing interval is then adjusted as needed (see discussion below). The 15 mg tablet should be used for initial conversion for patients whose total daily requirement is expected to be less than 60 mg. The 30 mg tablet strength is recommended for patients with a daily morphine requirement of 60 to 120 mg. When the total daily dose is expected to be greater than 120 mg, the appropriate combination of tablet strengths should be employed.
Conversion from Parenteral Morphine or Other Opioids (Parenteral or Oral) to Morphine Sulfate Extended-Release Tablets
Morphine Sulfate Extended-Release Tablets can be administered as the initial oral morphine drug product; in this case, however, particular care must be exercised in the conversion process. Because of uncertainty about, and intersubject variation in, relative estimates of opioid potency and cross tolerance, initial dosing regimens should be conservative. It is better to underestimate the 24-hour oral morphine requirement than to overestimate. To this end, initial individual doses of Morphine Sulfate Extended-Release Tablets should be estimated conservatively. In patients whose daily morphine requirements are expected to be less than or equal to 120 mg per day, the 30 mg tablet strength is recommended for the initial titration period. Once a stable dose regimen is reached, the patient can be converted to the 60 mg or 100 mg tablet strength, or an appropriate combination of tablet strengths, if desired.
Estimates of the relative potency of opioids are only approximate and are influenced by route of administration, individual patient differences, and possibly, by an individual's medical condition. Consequently, it is difficult to recommend any fixed rule for converting a patient to Morphine Sulfate Extended-Release Tablets directly. The following general points should be considered, however.
- Parenteral to oral morphine ratio: Estimates of the oral to parenteral potency of morphine vary. Some authorities suggest that a dose of oral morphine only three times the daily parenteral morphine requirement may be sufficient in chronic use settings.
- Other parenteral or oral opioids to oral morphine: Because there is lack of systematic evidence bearing on these types of analgesic substitutions, specific recommendations are not possible.
Physicians are advised to refer to published relative potency data, keeping in mind that such ratios are only approximate. In general, it is safer to underestimate the daily dose of Morphine Sulfate Extended-Release Tablets required and rely upon ad hoc supplementation to deal with inadequate analgesia. (See discussion which follows.)
Use of Morphine Sulfate Extended-Release Tablets as the First Opioid Analgesic
There has been no systematic evaluation of Morphine Sulfate Extended-Release Tablets as an initial opioid analgesic in the management of pain. Because it may be more difficult to titrate a patient using an extended-release morphine, it is ordinarily advisable to begin treatment using an immediate-release formulation. (see Special Instructions for Morphine Sulfate Extended-Release 100 and 200 mg Tablets)
Considerations in the Adjustment of Dosing Regimens
Whatever the approach, if signs of excessive opioid effects are observed early in a dosing interval, the next dose should be reduced. If this adjustment leads to inadequate analgesia, that is, "breakthrough" pain occurs late in the dosing interval, the dosing interval may be shortened. Alternatively, a supplemental dose of a short-acting analgesic may be given. As experience is gained, adjustments can be made to obtain an appropriate balance between pain relief, opioid side effects, and the convenience of the dosing schedule.
In adjusting dosing requirements, it is recommended that the dosing interval never be extended beyond 12 hours because the administration of very large single doses may lead to acute overdose. (N.B. Morphine Sulfate Extended-Release Tablets is an extended-release formulation; it does not release morphine continuously over the dosing interval.)
For patients with low daily morphine requirements, the 15 mg tablet should be used.
Special Instructions for Morphine Sulfate Extended-Release 100 and 200 mg Tablets
(For use in opioid-tolerant patients only.)
Morphine Sulfate Extended-Release 100 mg and 200 mg Tablets are for use only in opioid-tolerant patients requiring daily morphine equivalent dosages of 200 mg or more for the 100 mg tablet and 400 mg or more for the 200 mg tablet. It is recommended that these strengths be reserved for patients that have already been titrated to a stable analgesic regimen using lower strengths of Morphine Sulfate Extended-Release Tablets or other opioids.
Supplemental Analgesia
Most patients given around-the-clock therapy with controlled-release opioids may need to have immediate-release medication available for exacerbations of pain or to prevent pain that occurs predictably during certain patient activities (including incident pain).
Continuation of Therapy
The intent of the titration period is to establish a patient-specific daily dose that will provide adequate analgesia with acceptable side effects and minimal rescue doses (2 or less) for as long as pain relief is necessary. Should pain recur, the dose can be increased to re-establish pain control as outlined above. During chronic, around-the-clock opioid therapy, especially for non-cancer pain syndromes, the continued need for around-the-clock opioid therapy should be reassessed periodically (e.g., every 6 to 12 months) as appropriate.
Cessation of Therapy
When the patient no longer requires therapy with Morphine Sulfate Extended-Release Tablets, doses should be tapered gradually to prevent signs and symptoms of withdrawal in the physically dependent patient.
Conversion from Morphine Sulfate Extended-Release Tablets to Parenteral Opioids
When converting a patient from Morphine Sulfate Extended-Release Tablets to parenteral opioids, it is best to assume that the parenteral to oral potency is high. NOTE THAT THIS IS THE CONVERSE OF THE STRATEGY USED WHEN THE DIRECTION OF CONVERSION IS FROM THE PARENTERAL TO ORAL FORMULATIONS. IN BOTH CASES, HOWEVER, THE AIM IS TO ESTIMATE THE NEW DOSE CONSERVATIVELY. For example, to estimate the required 24-hour dose of morphine for IM use, one could employ a conversion of 1 mg of morphine IM for every 6 mg of morphine as Morphine Sulfate Extended-Release Tablets. The IM 24-hour dose would have to be divided by six and administered on a q4h regimen. This approach is recommended because it is least likely to cause overdose.
SAFETY AND HANDLING
Morphine Sulfate Extended-Release Tablets contain morphine sulfate which is a controlled substance under Schedule II of the Controlled Substances Act. Morphine, like all opioids, is liable to diversion and misuse and should be handled accordingly. Patients and their families should be instructed to flush any unneeded Morphine Sulfate Extended-Release Tablets down the toilet.
Morphine Sulfate Extended-Release Tablets may be targeted for theft and diversion by criminals. Healthcare professionals should contact their State Professional Licensing Board or State Controlled Substances Authority for information on how to prevent and detect abuse or diversion of this product.
MORPHINE SULFATE EXTENDED-RELEASE TABLETS ARE TO BE SWALLOWED WHOLE, AND ARE NOT TO BE BROKEN, CHEWED, DISSOLVED, OR CRUSHED. TAKING BROKEN, CHEWED, DISSOLVED, OR CRUSHED MORPHIN SULFATE EXTENDED-RELEASE TABLETS LEADS TO RAPID RELEASE AND ABSORPTION OF A POTENTIALLY FATAL DOSE OF MORPHINE.
Morphine Sulfate Extended-Release 100 mg and 200 mg Tablets are for use only in opioid-tolerant patients requiring daily morphine equivalent dosages of 200 mg or more for the 100 mg tablet and 400 mg or more for the 200 mg tablet. This strength is potentially fatal if accidentally ingested and patients and their families should be instructed to take special care to avoid accidental or intentional ingestion by individuals other than those for whom the medication was originally prescribed.
How Supplied
Morphine Sulfate Extended-Release Tablets 15 mg are round, blue-colored, film-coated tablets bearing the symbol ABG on one side and 15 on the other. They are supplied as follows:
Bottles of 30 - NDC 16590-966-30
Bottles of 60 - NDC 16590-966-60
Bottles of 90 - NDC 16590-966-90
Dispense in a tight, light-resistant container.
Healthcare professionals can telephone Rhodes Pharmaceuticals at 1-888-827-0616 for information on this product.
CAUTION
DEA Order Form Required.
Distributed By:
Rhodes Pharmaceuticals L.P.
Coventry, RI 02816
Manufactured By:
Purdue Pharmaceuticals L.P.
Wilson, NC 27893
Component No: 302567-0A
Rev. 08/10
Relabeling and Repackaging by:
STAT Rx USA LLC
Gainesville, GA 30501
Package Label - Morphine Sulfate Er C-Ii - 15Mg Tablets
Rx Only
* Please review the disclaimer below.
