Product Images Carbidopa

View Photos of Packaging, Labels & Appearance

Product Label Images

The following 2 images provide visual information about the product associated with Carbidopa NDC 16714-067 by Northstar Rx Llc, such as packaging, labeling, and the appearance of the drug itself. This resource could be helpful for medical professionals, pharmacists, and patients seeking to verify medication information and ensure they have the correct product.

figure 1 - carbidopa fig1

figure 1 - carbidopa fig1

This is a description of Carbidopa tablets, containing 25 mg of anhydrous Carbidopa USP. They are intended for use with Carbidopa-Levodopa or Levodopa in the treatment of Parkinson's disease. The package is a bulk container and not intended for dispensing. The recommended adult dosage and storage instructions are provided on the accompanying circular. The tablets should be kept out of reach of children. The product is manufactured by APL Healthcare Limited in Andhra Pradesh, India and distributed by Northstar R LLC in Memphis, TN. The NDC number is 16714-067-01. The document is revised on 04/2021 with M.L No.:04/NLR/AP/2016/F/CC.*

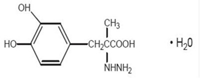
chemical structure - carbidopa str

chemical structure - carbidopa str

* The product label images have been analyzed using a combination of traditional computing and machine learning techniques. It should be noted that the descriptions provided may not be entirely accurate as they are experimental in nature. Use the information in this page at your own discretion and risk.