FDA Label for Pilocarpine Hydrochloride
View Indications, Usage & Precautions
- DESCRIPTION
- CLINICAL PHARMACOLOGY
- OTHER
- INDICATIONS & USAGE
- GENERAL PRECAUTIONS
- INFORMATION FOR PATIENTS
- PREGNANCY: TERATOGENIC EFFECTS
- NURSING MOTHERS
- PEDIATRIC USE
- GERIATRIC USE
- ADVERSE REACTIONS
- OVERDOSAGE
- DOSAGE & ADMINISTRATION
- HOW SUPPLIED
- PACKAGE LABEL - PRINCIPAL DISPLAY PANEL - 5 MG (100 TABLETS BOTTLE)
- PACKAGE LABEL - PRINCIPAL DISPLAY PANEL - 7.5 MG (100 TABLETS BOTTLE)
Pilocarpine Hydrochloride Product Label
The following document was submitted to the FDA by the labeler of this product Northstar Rx Llc. The document includes published materials associated whith this product with the essential scientific information about this product as well as other prescribing information. Product labels may durg indications and usage, generic names, contraindications, active ingredients, strength dosage, routes of administration, appearance, warnings, inactive ingredients, etc.
Description
DESCRIPTION
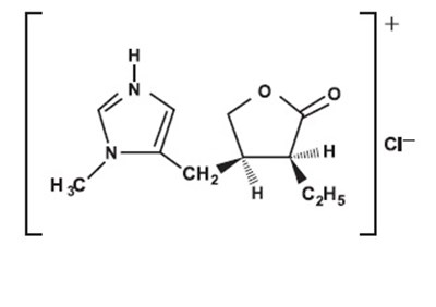
Pilocarpine hydrochloride tablets, USP contain pilocarpine hydrochloride, a cholinergic agonist for oral use. Pilocarpine hydrochloride is a white or almost white, crystalline powder or colorless crystals, hygroscopic which is very soluble in water and freely soluble in ethanol (96 percent). Pilocarpine hydrochloride, with a chemical name of (3S-cis)-2(3H)-Furanone, 3-ethyldihydro-4-[(1-methyl-1H-imidazol-5-yl)methyl] monohydrochloride, has a molecular weight of 244.72.
Each 5 mg pilocarpine hydrochloride tablet, USP for oral administration contains 5 mg of pilocarpine hydrochloride USP. Inactive ingredients in the tablet are: hypromellose, microcrystalline cellulose, polyethylene glycol, stearic acid and titanium dioxide.
Each 7.5 mg pilocarpine hydrochloride tablet, USP for oral administration contains 7.5 mg of pilocarpine hydrochloride USP. Inactive ingredients in the tablet are: FD&C blue # 2, hypromellose, microcrystalline cellulose, polyethylene glycol, stearic acid and titanium dioxide.
FDA approved dissolution test specifications differ from USP.
Clinical Pharmacology
Pharmacodynamics:
Pilocarpine is a cholinergic parasympathomimetic agent exerting a broad spectrum of pharmacologic effects with predominant muscarinic action. Pilocarpine, in appropriate dosage, can increase secretion by the exocrine glands. The sweat, salivary, lacrimal, gastric, pancreatic, and intestinal glands and the mucous cells of the respiratory tract may be stimulated. When applied topically to the eye as a single dose it causes miosis, spasm of accommodation, and may cause a transitory rise in intraocular pressure followed by a more persistent fall. Dose-related smooth muscle stimulation of the intestinal tract may cause increased tone, increased motility, spasm, and tenesmus. Bronchial smooth muscle tone may increase. The tone and motility of urinary tract, gallbladder, and biliary duct smooth muscle may be enhanced. Pilocarpine may have paradoxical effects on the cardiovascular system. The expected effect of a muscarinic agonist is vasodepression, but administration of pilocarpine may produce hypertension after a brief episode of hypotension. Bradycardia and tachycardia have both been reported with use of pilocarpine.
In a study of 12 healthy male volunteers there was a dose-related increase in unstimulated salivary flow following single 5 and 10 mg oral doses of pilocarpine hydrochloride tablets. This effect of pilocarpine on salivary flow was time-related with an onset at 20 minutes and a peak effect at 1 hour with a duration of 3 to 5 hours (See Pharmacokinetics section).
Head & Neck Cancer Patients: In a 12 week randomized, double-blind, placebo-controlled study in 207 patients (placebo, N=65; 5 mg, N=73; 10 mg, N=69), increases from baseline (means 0.072 and 0.112 mL/min, ranges -0.690 to 0.728 and -0.380 to 1.689) of whole saliva flow for the 5 mg (63%) and 10 mg (90%) tablet, respectively, were seen 1 hour after the first dose of pilocarpine hydrochloride tablets. Increases in unstimulated parotid flow were seen following the first dose (means 0.025 and 0.046 mL/min, ranges 0 to 0.414 and -0.070 to 1.002 mL/min for the 5 and 10 mg dose, respectively). In this study, no correlation existed between the amount of increase in salivary flow and the degree of symptomatic relief.
Sjogren's Syndrome Patients: In two 12 week randomized, double-blind, placebo-controlled studies in 629 patients (placebo, N=253; 2.5 mg, N=121; 5 mg, N=255; 5 to 7.5 mg, N=114), the ability of pilocarpine hydrochloride tablets to stimulate saliva production was assessed. In these trials using varying doses of pilocarpine hydrochloride tablets (2.5 to 7.5 mg), the rate of saliva production was plotted against time. An Area Under the Curve (AUC) representing the total amount of saliva produced during the observation interval was calculated. Relative to placebo, an increase in the amount of saliva being produced was observed following the first dose of pilocarpine hydrochloride tablets and was maintained throughout the duration (12 weeks) of the trials in an approximate dose response fashion (See Clinical Studies section).
Other
Pharmacokinetics:
In a multiple-dose pharmacokinetic study in male volunteers following 2 days of 5 or 10 mg of oral pilocarpine hydrochloride tablets given at 8 a.m., noontime, and 6 p.m., the mean elimination half-life was 0.76 hours for the 5 mg dose and 1.35 hours for the 10 mg dose. Tmax values were 1.25 hours and 0.85 hours. Cmax values were 15 ng/mL and 41 ng/mL. The AUC trapezoidal values were 33 h(ng/mL) and 108 h(ng/mL), respectively, for the 5 and 10 mg doses following the last 6 hour dose.
Pharmacokinetics in elderly male volunteers (N=11) were comparable to those in younger men. In five healthy elderly female volunteers, the mean Cmax and AUC were approximately twice that of elderly males and young normal male volunteers.
When taken with a high fat meal by 12 healthy male volunteers, there was a decrease in the rate of absorption of pilocarpine from pilocarpine hydrochloride tablets. Mean Tmax's were 1.47 and 0.87 hours, and mean Cmax's were 51.8 and 59.2 ng/mL for fed and fasted, respectively.
Limited information is available about the metabolism and elimination of pilocarpine in humans. Inactivation of pilocarpine is thought to occur at neuronal synapses and probably in plasma. Pilocarpine and its minimally active or inactive degradation products, including pilocarpic acid, are excreted in the urine. Pilocarpine does not bind to human or rat plasma proteins over a concentration range of 5 to 25,000 ng/mL. The effect of pilocarpine on plasma protein binding of other drugs has not been evaluated.
In patients with mild to moderate hepatic impairment (N=12), administration of a single 5 mg dose resulted in a 30% decrease in total plasma clearance and a doubling of exposure (as measured by AUC). Peak plasma levels were also increased by about 30% and half-life was increased to 2.1 hrs.
There were no significant differences in the pharmacokinetics of oral pilocarpine in volunteer subjects (N=8) with renal insufficiency (mean creatinine clearances 25.4 mL/min; range 9.8 to 40.8 mL/min) compared to the pharmacokinetics previously observed in normal volunteers.
Indications & Usage
INDICATIONS AND USAGE
Pilocarpine hydrochloride tablets are indicated for 1) the treatment of symptoms of dry mouth from salivary gland hypofunction caused by radiotherapy for cancer of the head and neck; and 2) the treatment of symptoms of dry mouth in patients with Sjogren's Syndrome.
General Precautions
General
Pilocarpine toxicity is characterized by an exaggeration of its parasympathomimetic effects. These may include: headache, visual disturbance, lacrimation, sweating, respiratory distress, gastrointestinal spasm, nausea, vomiting, diarrhea, atrioventricular block, tachycardia, bradycardia, hypotension, hypertension, shock, mental confusion, cardiac arrhythmia, and tremors.
The dose-related cardiovascular pharmacologic effects of pilocarpine include hypotension, hypertension, bradycardia, and tachycardia.
Pilocarpine should be administered with caution to patients with known or suspected cholelithiasis or biliary tract disease. Contractions of the gallbladder or biliary smooth muscle could precipitate complications including cholecystitis, cholangitis, and biliary obstruction.
Pilocarpine may increase ureteral smooth muscle tone and could theoretically precipitate renal colic (or "ureteral reflux"), particularly in patients with nephrolithiasis.
Cholinergic agonists may have dose-related central nervous system effects. This should be considered when treating patients with underlying cognitive or psychiatric disturbances.
Hepatic Insufficiency: Based on decreased plasma clearance observed in patients with moderate hepatic impairment, the starting dose in these patients should be 5 mg twice daily, followed by adjustment based on therapeutic response and tolerability. Patients with mild hepatic insufficiency (Child-Pugh score of 5 to 6) do not require dosage reductions. To date, pharmacokinetic studies in subjects with severe hepatic impairment (Child-Pugh score of 10 to 15) have not been carried out. The use of pilocarpine in these patients is not recommended.
Child-Pugh Scoring System for Hepatic Impairment
| * According to grading of Trey C, Burns D, and Saunders S. Treatment of hepatic coma by exchange blood transfusion. N Engl J Med. 1966; 274:473-481. | |||
| Clinical and Biochemical Measurements | Points Scored for Increasing Abnormality | ||
| 1 | 2 | 3 | |
| Encephalopathy (grade)* | None | 1 and 2 | 3 and 4 |
| Ascites | Absent | Slight | Moderate |
| Bilirubin (mg. per 100 mL) | 1 to 2 | 2 to 3 | >3 |
| Albumin (g. per 100 mL) | 3 to 5 | 2.8 to 3.5 | <2.8 |
| Prothrombin Time (sec. Prolonged) | 1 to 4 | 4 to 6 | >6 |
| For Primary Biliary Cirrhosis:- Bilirubin (mg. per 100 mL) | 1 to 4 | 4 to 10 | >10 |
Reference: Pugh RNH, Murray-Lyon IM, Dawson JL, Pietroni MC, Williams R. Transection of the oesophagus for bleeding oesophageal varices. Brit J Surg. 1973; 60:646-9.
Information For Patients
Information for Patients
Patients should be informed that pilocarpine may cause visual disturbances, especially at night, that could impair their ability to drive safely. If a patient sweats excessively while taking pilocarpine hydrochloride and cannot drink enough liquid, the patient should consult a physician. Dehydration may develop.
Pregnancy: Teratogenic Effects
Pilocarpine was associated with a reduction in the mean fetal body weight and an increase in the incidence of skeletal variations when given to pregnant rats at a dosage of 90 mg/kg/day (approximately 26 times the maximum recommended dose for a 50 kg human when compared on the basis of body surface area (mg/m2) estimates). These effects may have been secondary to maternal toxicity. In another study, oral administration of pilocarpine to female rats during gestation and lactation at a dosage of 36 mg/kg/day (approximately 10 times the maximum recommended dose for a 50 kg human when compared on the basis of body surface area (mg/m2) estimates) resulted in an increased incidence of stillbirths; decreased neonatal survival and reduced mean body weight of pups were observed at dosages of 18 mg/kg/day (approximately 5 times the maximum recommended dose for a 50 kg human when compared on the basis of body surface area (mg/m2) estimates) and above. There are no adequate and well-controlled studies in pregnant women. Pilocarpine hydrochloride tablets should be used during pregnancy only if the potential benefit justifies the potential risk to the fetus.
Nursing Mothers
Nursing Mothers
It is not known whether this drug is excreted in human milk. Because many drugs are excreted in human milk and because of the potential for serious adverse reactions in nursing infants from pilocarpine hydrochloride tablets, a decision should be made whether to discontinue nursing or to discontinue the drug, taking into account the importance of the drug to the mother.
Pediatric Use
Pediatric Use
Safety and effectiveness in pediatric patients have not been established.
Geriatric Use
Geriatric Use
Head & Neck Cancer Patients: In the placebo-controlled clinical trials (See Clinical Studies section) the mean age of patients was approximately 58 years (range 19 to 80). Of these patients, 97/369 (61/217 receiving pilocarpine) were over the age of 65 years. In the healthy volunteer studies, 15/150 subjects were over the age of 65 years. In both study populations, the adverse events reported by those over 65 years and those 65 years and younger were comparable. Of the 15 elderly volunteers (5 women, 10 men), the 5 women had higher Cmax's and AUC's than the men. (See Pharmacokinetics section.)
Sjogren’s Syndrome Patients: In the placebo-controlled clinical trials (See Clinical Studies section), the mean age of patients was approximately 55 years (range 21 to 85). The adverse events reported by those over 65 years and those 65 years and younger were comparable except for notable trends for urinary frequency, diarrhea, and dizziness (See ADVERSE REACTIONS section).
Adverse Reactions
Head & Neck Cancer Patients: In controlled studies, 217 patients received pilocarpine, of whom 68% were men and 32% were women. Race distribution was 91% Caucasian, 8% Black, and 1% of other origin. Mean age was approximately 58 years. The majority of patients were between 50 and 64 years (51%), 33% were 65 years and older and 16% were younger than 50 years of age. The most frequent adverse experiences associated with pilocarpine hydrochloride tablets were a consequence of the expected pharmacologic effects of pilocarpine.
| Adverse Event | Pilocarpine Hydrochloride | Placebo | |
| | 10 mg t.i.d. (30 mg/day) | 5 mg t.i.d. (15 mg/day) | (t.i.d.) |
| Sweating | N=121/68% | N=141/29% | N=152/9% |
| Nausea | 15 | 6 | 4 |
| Rhinitis | 14 | 5 | 7 |
| Diarrhea | 7 | 4 | 5 |
| Chills | 15 | 3 | <1 |
| Flushing | 13 | 8 | 3 |
| Urinary Frequency | 12 | 9 | 7 |
| Dizziness | 12 | 5 | 4 |
| Asthenia | 12 | 6 | 3 |
In addition, the following adverse events (≥3% incidence) were reported at dosages of 15 to 30 mg/day in the controlled clinical trials:
| Adverse Event | Pilocarpine Hydrochloride | Placebo |
| | 5 to10 mg t.i.d. (15 to 30 mg/day) | (t.i.d.) |
| Headache | N=212/11% | N=152/8% |
| Dyspepsia | 7 | 5 |
| Lacrimation | 6 | 8 |
| Edema | 5 | 4 |
| Abdominal Pain | 4 | 4 |
| Amblyopia | 4 | 2 |
| Vomiting | 4 | 1 |
| Pharyngitis | 3 | 8 |
| Hypertension | 3 | 1 |
The following events were reported with treated head and neck cancer patients at incidences of 1% to 2% at dosages of 7.5 to 30 mg/day: abnormal vision, conjunctivitis, dysphagia, epistaxis, myalgias, pruritus, rash, sinusitis, tachycardia, taste perversion, tremor, voice alteration.
The following events were reported rarely in treated head and neck cancer patients (<1%): Causal relation is unknown.
Body as a whole: body odor, hypothermia, mucous membrane abnormality
Cardiovascular: bradycardia, ECG abnormality, palpitations, syncope
Digestive: anorexia, increased appetite, esophagitis, gastrointestinal disorder, tongue disorder
Hematologic: leukopenia, lymphadenopathy
Nervous: anxiety, confusion, depression, abnormal dreams, hyperkinesia, hypesthesia, nervousness, paresthesias, speech disorder, twitching
Respiratory: increased sputum, stridor, yawning
Skin: seborrhea
Special senses: deafness, eye pain, glaucoma
Urogenital: dysuria, metrorrhagia, urinary impairment
In long-term treatment were two patients with underlying cardiovascular disease of whom one experienced a myocardial infarct and another an episode of syncope. The association with drug is uncertain.
Sjogren's Syndrome Patients: In controlled studies, 376 patients received pilocarpine, of whom 5% were men and 95% were women. Race distribution was 84% Caucasian, 9% Oriental, 3% Black, and 4% of other origin. Mean age was 55 years. The majority of patients were between 40 and 69 years (70%), 16% were 70 years and older and 14% were younger than 40 years of age. Of these patients, 161/629 (89/376 receiving pilocarpine) were over the age of 65 years. The adverse events reported by those over 65 years and those 65 years and younger were comparable except for notable trends for urinary frequency, diarrhea, and dizziness. The incidences of urinary frequency and diarrhea in the elderly were about double those of the non-elderly. The incidence of dizziness was about three times as high in the elderly as in the non-elderly. These adverse experiences were not considered to be serious. In the 2 placebo-controlled studies, the most common adverse events related to drug use were sweating, urinary frequency, chills, and vasodilatation (flushing). The most commonly reported reason for patient discontinuation of treatment was sweating. Expected pharmacologic effects of pilocarpine include the following adverse experiences associated with pilocarpine hydrochloride tablets:
| Adverse Event | Pilocarpine Hydrochloride | Placebo |
| 5 mg q.i.d. (20 mg/day) | (q.i.d) | |
| Sweating | N=255/40% | N=253/7% |
| Urinary Frequency | 10 | 4 |
| Nausea | 9 | 9 |
| Flushing | 9 | 2 |
| Rhinitis | 7 | 8 |
| Diarrhea | 6 | 7 |
| Chills | 4 | 2 |
| Increased Salivation | 3 | 0 |
| Asthenia | 2 | 2 |
In addition, the following adverse events (≥3% incidence) were reported at dosages of 20 mg/day in the controlled clinical trials:
| Adverse Event | Pilocarpine Hydrochloride | Placebo |
| 5 mg q.i.d. (20 mg/day) | (q.i.d) | |
| Headache | N=255/13% | N=253/19% |
| Flu Syndrome | 9 | 9 |
| Dyspepsia | 7 | 7 |
| Dizziness | 6 | 7 |
| Pain | 4 | 2 |
| Sinusitis | 4 | 5 |
| Abdominal Pain | 3 | 4 |
| Vomiting | 3 | 1 |
| Pharyngitis | 2 | 5 |
| Rash | 2 | 3 |
| Infection | 2 | 6 |
The following events were reported in Sjogren's patients at incidences of 1% to 2% at dosing of 20 mg/day: accidental injury, allergic reaction, back pain, blurred vision, constipation, increased cough, edema, epistaxis, face edema, fever, flatulence, glossitis, lab test abnormalities, including chemistry, hematology, and urinalysis, myalgia, palpitation, pruritus, somnolence, stomatitis, tachycardia, tinnitus, urinary incontinence, urinary tract infection, and vaginitis.
The following events were reported rarely in treated Sjogren's patients (<1%) at dosing of 10 to 30 mg/day: Causal relation is unknown.
Body as a whole: chest pain, cyst, death, moniliasis, neck pain, neck rigidity, photosensitivity reaction.
Cardiovascular: angina pectoris, arrhythmia, ECG abnormality, hypotension, hypertension, intracranial hemorrhage, migraine, myocardial infarction
Digestive: anorexia, bilirubinemia, cholelithiasis, colitis, dry mouth, eructation, gastritis, gastroenteritis, gastrointestinal disorder, gingivitis, hepatitis, abnormal liver function tests, melena, nausea & vomiting, pancreatitis, parotid gland enlargement, salivary gland enlargement, sputum increased, taste loss, tongue disorder, tooth disorder
Hematologic: hematuria, lymphadenopathy, abnormal platelets, thrombocythemia, thrombocytopenia, thrombosis, abnormal WBC
Metabolic and Nutritional: peripheral edema, hypoglycaemia
Musculoskeletal: arthralgia, arthritis, bone disorder, spontaneous bone fracture, pathological fracture, myasthenia, tendon disorder, tenosynovitis
Nervous: aphasia, confusion, depression, abnormal dreams, emotional lability, hyperkinesia, hypesthesia, insomnia, leg cramps, nervousness, paresthesias, abnormal thinking, tremor
Respiratory: bronchitis, dyspnea, hiccup, laryngismus, laryngitis, pneumonia, viral infection, voice alteration
Skin: alopecia, contact dermatitis, dry skin, eczema, erythema nodosum, exfoliative dermatitis, herpes simplex, skin ulcer, vesiculobullous rash
Special Senses: cataract, conjunctivitis, dry eyes, ear disorder, ear pain, eye disorder, eye hemorrhage, glaucoma, lacrimation disorder, retinal disorder, taste perversion, abnormal vision
Urogenital: breast pain, dysuria, mastitis, menorrhagia, metrorrhagia, ovarian disorder, pyuria, salpingitis, urethral pain, urinary urgency, vaginal hemorrhage, vaginal moniliasis
The following adverse experiences have been reported rarely with ocular pilocarpine: A-V block, agitation, ciliary congestion, confusion, delusion, depression, dermatitis, middle ear disturbance, eyelid twitching, malignant glaucoma, iris cysts, macular hole, shock, and visual hallucination.
Overdosage
MANAGEMENT OF OVERDOSE
Fatal overdosage with pilocarpine has been reported in the scientific literature at doses presumed to be greater than 100 mg in two hospitalized patients. 100 mg of pilocarpine is considered potentially fatal. Overdosage should be treated with atropine titration (0.5 mg to 1 mg given subcutaneously or intravenously) and supportive measures to maintain respiration and circulation. Epinephrine (0.3 mg to 1 mg, subcutaneously or intramuscularly) may also be of value in the presence of severe cardiovascular depression or bronchoconstriction. It is not known if pilocarpine is dialyzable.
Dosage & Administration
DOSAGE AND ADMINISTRATION
Regardless of the indication, the starting dose in patients with moderate hepatic impairment should be 5 mg twice daily, followed by adjustment based on therapeutic response and tolerability. Patients with mild hepatic insufficiency do not require dosage reductions. The use of pilocarpine in patients with severe hepatic insufficiency is not recommended. If needed, refer to the Hepatic Insufficiency subsection of the Precautions section of this label for definitions of mild, moderate and severe hepatic impairment.
Head & Neck Cancer Patients: The recommended initial dose of pilocarpine hydrochloride tablets is 5 mg taken three times a day. Dosage should be titrated according to therapeutic response and tolerance. The usual dosage range is up to 15 to 30 mg per day. (Not to exceed 10 mg per dose.) Although early improvement may be realized, at least 12 weeks of uninterrupted therapy with pilocarpine hydrochloride tablets may be necessary to assess whether a beneficial response will be achieved. The incidence of the most common adverse events increases with dose. The lowest dose that is tolerated and effective should be used for maintenance.
Sjogren's Syndrome Patients: The recommended dose of pilocarpine hydrochloride tablets is 5 mg taken four times a day. Efficacy was established by 6 weeks of use.
How Supplied
Pilocarpine Hydrochloride Tablets, USP 5 mg are off white to white colour, biconvex round shaped film-coated tablet debossed with “PIL” on one side and “5” on the other side. Each tablet contains 5 mg pilocarpine hydrochloride USP. They are supplied as follows:
Bottles of 100 NDC 16714-121-01
Pilocarpine Hydrochloride Tablets, USP 7.5 mg are light blue to blue colour, biconvex round shaped film-coated tablet debossed with “PIL” on one side and “7.5” on the other side. Each tablet contains 7.5 mg pilocarpine hydrochloride USP. They are supplied as follows:
Bottles of 100 NDC 16714-122-01
Store at 20o to 25oC (68o to 77oF) [see USP Controlled Room Temperature].
Manufactured for:
Northstar Rx LLC
Memphis, TN 38141.
Toll number : 1-800-206-7821
Manufactured by:
Aurobindo Pharma Limited
Unit-X (MP SEZ)
Nellore (Dt)-524421, India.
M.L.No.: 04/NLR/AP/2016/F/G
Issued: 10/2019
Package Label - Principal Display Panel - 5 Mg (100 Tablets Bottle)
Rx only
NDC 16714-121-01
Pilocarpine Hydrochloride
Tablets, USP
5 mg
100 Tablets
NorthStarX®
Package Label - Principal Display Panel - 7.5 Mg (100 Tablets Bottle)
Rx only
NDC 16714-122-01
Pilocarpine Hydrochloride
Tablets, USP
7.5 mg
100 Tablets
NorthStarX®
* Please review the disclaimer below.


